| Version | Summary | Created by | Modification | Content Size | Created at | Operation |
|---|---|---|---|---|---|---|
| 1 | yuanyuan huang | + 3434 word(s) | 3434 | 2021-08-03 04:48:07 | | | |
| 2 | Bruce Ren | -21 word(s) | 3413 | 2021-08-05 03:06:00 | | | | |
| 3 | Bruce Ren | + 3511 word(s) | 6924 | 2021-08-09 05:36:07 | | |
The genus Maytenus is a member of the Celastraceae family, of which several species have long been used in traditional medicine. Between 1976 and 2021, nearly 270 new compounds have been isolated and elucidated from the genus Maytenus. Among these, maytansine and its homologues are extremely rare in nature. Owing to its unique skeleton and remarkable bioactivities, maytansine has attracted many synthetic endeavors in order to construct its core structure.

| No. | Name | R1 | R2 | R3 | R4 | R5 | R6 | R7 | R8 | Type | Ref. |
|---|---|---|---|---|---|---|---|---|---|---|---|
| 1 | Pristimerin | H | H | COOMe | H | H | - | - | - | A1 | [16] |
| 2 | 15α-hydroxy-21-keto-pristimerine | α-OH | H | COOMe | =O | H | - | - | - | A1 | [17] |
| 3 | 2,3,22β-trihydroxy-24,29-dinor-1,3,5(10),7-friedelatetraene-6,21-dione-23-al | OH | OH | CHO | H | =O | β-OH | - | - | A2 | [18] |
| 4 | 2,22β-dihydroxyl-3-methoxy-24,29-dinor-1,3,5(10),7-friedelatetraene-6,21-dione | OH | OH | CH3 | H | =O | β-OH | - | - | A2 | [18] |
| 5 | 2,3,22β-triihydroxy-23,24,29-trinor-1,3,5(10),7-friedelatetr aene-6,21-dione | OH | OH | H | H | =O | β-OH | - | - | A2 | [18] |
| 6 | 2,22β-dihydroxyl-3-methoxy-24,29-dinor-1,3,5(10),7-friedelatetraene-6,21-dione | OH | OCH3 | CH3 | H | =O | β-OH | - | - | A2 | [18] |
| 7 | 2,3,22β-trihydroxy-24,29-dinor-1,3,5(10)–friedelatetraene -6,21-dione | OH | CH3 | =O | H | H | H | =O | β-OH | A3 | [18] |
| 8 | 2,15α,22β-trihydroxy-3-methoxy-24,29-dinor-1,3, 5(10)-friedelatriene-21-one | OCH3 | CH3 | H | H | α-OH | H | =O | β-OH | A3 | [18] |
| 9 | 3,22β-dihydroxy-24,29-dinor-l(10)-3,5-friedelatriene-2,7,21-trione | =O | β-OH | =O | H | - | - | - | - | A4 | [18] |
| 10 | 3,22β-dihydroxy-24,29-dinor-l(10),3,5–friedelatriene-21-one | H | β-OH | =O | H | - | - | - | - | A4 | [18] |
| 11 | 2,3,22β-trihydroxy-24,29-dinor-25(9→8)-1,3,5(10),7-friedelatetraene-21-one-23-al | β-OH | - | - | - | - | - | - | - | A5 | [18] |
| 12 | 23-oxo-iso-tingenone | H | - | - | - | - | - | - | - | A5 | [19] |
| 13 | (8S)-7,8-dihydro-7-oxo-tingenoe | =O | H | =O | H | - | - | - | - | A4 | [19] |
| 14 | (7S, 8S)-7-hydroxy-7,8-dihydro-tingenone | α-OH | H | =O | H | - | - | - | - | A4 | [19] |
| 15 | (8S)-7,8-dihydro-6-oxo-tingenol | OH | CH3 | =O | H | H | H | =O | H | A3 | [19] |
| 16 | 23-nor-6-oxo-tingenol | OH | OH | H | H | =O | H | - | - | A2 | [19] |
| 17 | 28-hydroxy-friedelane-1,3-dione | =O | H | H | H | CH2OH | CH3 | CH3 | - | A6 | [20] |
| 18 | Macrocarpin A | OH | CHO | =O | H | H | COOMe | H | H | A3 | [21] |
| 19 | Macrocarpin B | OH | OH | COOH | H | =O | β-OH | - | - | A2 | [21] |
| 20 | Macrocarpin C | OH | OCH3 | COOH | H | =O | β-OH | - | - | A2 | [21] |
| 21 | Macrocarpin D | α-OH | β-OH | =O | H | - | - | - | - | A4 | [21] |
| 22 | Maytenfolone | - | - | - | - | - | - | - | - | A7 | [22] |
| 23 | 6-oxo-iguesterol | - | - | - | - | - | - | - | - | A8 | [12] |
| 24 | 6-oxo-tingenol | OH | OH | CH3 | H | =O | H | - | - | A2 | [12] |
| 25 | 3-O-methoxy-6-oxo-tingenol | OH | OCH3 | CH3 | H | =O | H | - | - | A2 | [12] |
| 26 | Blepharotriol | OH | OH | OH | COOMe | H | H | - | - | A2 | [23] |
| 27 | 6-deoxoblepharodol | OH | CH3 | H | H | H | COOMe | H | H | A3 | [23] |
| 28 | Isoblepharodol | OH | CH3 | H | =O | H | COOMe | H | H | A3 | [23] |
| 29 | 7-oxo-blepharodol | OH | CH3 | =O | =O | H | COOMe | H | H | A3 | [23] |
| 30 | 15α-hydroxy-tingenone | α-OH | H | H | =O | H | - | - | - | A1 | [24] |
| 31 | 15-dihydro-pristimerin | - | - | - | - | - | - | - | - | A9 | [24] |
| 32 | Vitideasin | α-COOCH3 | H | - | - | - | - | - | - | A10 | [24] |
| 33 | 20β-hydroxy-scutione | α-OH | =O | - | - | - | - | - | - | A10 | [24] |
| 34 | 7-oxo-7,8-dihydro-scutione | - | - | - | - | - | - | - | - | A11 | [25] |
| 35 | 6,23-dioxo-7,8-dihydro-pristimerol-23-oic Acid | OH | COOH | =O | H | H | COOMe | H | H | A3 | [25] |
| 36 | 23-nor-blepharodol | OH | H | =O | H | H | COOMe | H | H | A3 | [25] |
| 37 | 3-methoxy-6-oxo-tingenol-23-oic Acid | OH | OCH3 | COOH | H | =O | H | - | - | A2 | [25] |
| 38 | Retusonine | - | - | - | - | - | - | - | - | A12 | [25] |
| 39 | 21-Oxopristimerine | H | H | COOMe | =O | H | - | - | - | A1 | [25] |
| 40 | 3-O-methyl-6-oxo-pristimerol | OH | OCH3 | CH3 | COOMe | H | H | - | - | A2 | [26] |
| 41 | 3β,24-epoxy-2α,3α-dihydroxy-D:A-friedooleanan-29-oic acid methyl ester | OH | OH | H | - | - | - | - | - | A13 | [27] |
| 42 | 2α-acetoxy-3β,24-epoxy-3α-hydroxy- D:A-friedooleanan-29-oic acid methyl ester | OAc | OH | H | - | - | - | - | - | A13 | [27] |
| 43 | 3α-hydroxy- D:A-friedooleanan-28-oic acid | α-OH | H | H | COOH | H | - | - | - | A14 | [27] |
| 44 | 3-oxo-D:A-friedooleanan-28,30-olide | - | - | - | - | - | - | - | - | A15 | [27] |
| 45 | 3β,11β-dihydroxyfriedelane | β-OH | β-OH | H | CH3 | H | - | - | - | A14 | [28] |
| 46 | 3,4-seco-friedelan-3,11β-olide | - | - | - | - | - | - | - | - | A16 | [28] |
| 47 | (16β)-16-hydroxy-pristimerin | H | β-OH | COOMe | H | H | - | - | - | A1 | [29] |
| 48 | 12,16-dihydroxyfriedelan-3-one | H | H | α-OH | β-OH | CH3 | CH3 | CH3 | - | A6 | [30] |
| 49 | 3β,24β-epoxy-29-methoxy-2α,3α,6α-trihydroxy-D:A-friedelane | OH | OH | β-OH | - | - | - | - | - | A13 | [31] |
| 49a | 3β,24β-epoxy-29-methoxy-2α,3α,6α-triacetoxy-D:A-friedelane | OAc | OAc | β-OAc | - | - | - | - | - | A13 | [31] |
| 50 | Friedel-1-en-3,16-dione | - | - | - | - | - | - | - | - | A17 | [32] |
| 51 | 1α,29-dihydroxyfriedelan-3-one | α-OH | H | H | H | CH3 | CH3 | CH2OH | - | A6 | [32] |
| 52 | 16β,28,29-trihydroxyfriedelan-3-one | H | H | H | β-OH | CH2OH | CH3 | CH2OH | - | A6 | [32] |
| 53 | Dispemroquinone | =O | H | H | COOMe | - | - | - | - | A5 | [33] |
| 54 | Scutione | H | =O | - | - | - | - | - | - | A10 | [34] |
| 55 | Zeylasterone | OH | OH | COOH | COOMe | H | H | - | - | A2 | [35] |
| 56 | Demethylzeylasterone | OH | OH | COOH | COOH | H | H | - | - | A2 | [35] |
| 57 | 3,15-dioxo-21-hydroxy friedelane | =O | H | =O | CH3 | α-OH | - | - | - | A14 | [36] |
| 58 | Maytenfoliol | H | H | H | H | CH2OH | CH2OH | CH3 | - | A6 | [37] |
| 59 | Cangorosin A | H | - | - | - | - | - | - | - | A18 | [38] |
| 60 | Atropcangorosin A | H(atropisomer of 7-bu) | - | - | - | - | - | - | - | A18 | [38] |
| 61 | Dihydroatropcangorosin A | 6′,7′-dihydro derivative of 8-BU | - | - | - | - | - | - | - | A18 | [38] |
| 62 | Cangorosin B | - | - | - | - | - | - | - | - | A19 | [38] |
| 63 | Umbellatin α | α-Me | - | - | - | - | - | - | - | A20 | [39] |
| 64 | Umbeilatin β | β-Me | - | - | - | - | - | - | - | A20 | [39] |
| 65 | Tiscutin A | - | - | - | - | - | - | - | - | A21 | [40] |
| 66 | Triscutin B | - | - | - | - | - | - | - | - | A22 | [40] |
| 67 | Xuxuarine Eα | - | - | - | - | - | - | - | - | A23 | [41] |
| 68 | Scutionin αB | - | - | - | - | - | - | - | - | A24 | [42] |
| 69 | 6′,7′-dihydro-scutionin αB | H | - | - | - | - | - | - | - | A25 | [42] |
| 70 | 6′β-methoxy-6′,7′dihydro-scutionin αB | OCH3 | - | - | - | - | - | - | - | A25 | [42] |

| No. | Name | R1 | R2 | R3 | R4 | R5 | R6 | R7 | R8 | R9 | Type | Ref |
|---|---|---|---|---|---|---|---|---|---|---|---|---|
| 71 | 3β,28,30-Lup-20(29)-ene triol | H | H | OH | CH3 | H | H | H | CH2OH | CH2OH | B1 | [43] |
| 72 | 28,30-Dihyroxylup-20(29)-ene-3-one | H | H | =O | CH3 | H | H | H | CH2OH | CH2OH | B1 | [43] |
| 73 | Maytefolins A | H | α-OH | =O | CH3 | H | H | H | CH2OH | CH3 | B1 | [44] |
| 74 | 3-oxolup-20(29)-en-30-al | H | H | =O | CH3 | H | H | H | CH3 | CHO | B1 | [45] |
| 75 | 30-hydroxylup-20(29)-en-3-one | H | H | =O | CH3 | H | H | H | CH3 | CH2OH | B1 | [45] |
| 76 | (11α)-11-hydroxylup-20(29)-en-3-one | H | H | =O | CH3 | H | α-OH | H | CH3 | CH3 | B1 | [45] |
| 77 | (3β)-lup-20(30)-ene-3,29-diol | H | H | β-OH | CH3 | H | H | H | CH3 | CH2OH | B1 | [45] |
| 78 | 11α-hydroxy-epi-betuin | H | H | α-OH | CH3 | H | α-OH | H | CH2OH | CH3 | B1 | [46] |
| 79 | 6β-hydroxybetulin | H | H | β-OH | CH3 | β-OH | H | H | CH2OH | CH3 | B1 | [46] |
| 80 | 24-hydroxybetulin | H | H | =O | CH2OH | H | H | H | CH2OH | CH3 | B1 | [46] |
| 81 | Rigidenol-28-aldehyde | H | H | =O | CH3 | H | α-OH | H | CHO | CH3 | B1 | [46] |
| 82 | 28-hydroxyglochidone | H | CH2OH | - | - | - | - | - | - | - | B2 | [46] |
| 83 | 11α-hydroxy-glochidone | α-OH | CH3 | - | - | - | - | - | - | - | B2 | [47] |
| 84 | 3-epi-nepeticin | H | H | α-OH | CH3 | H | α-OH | H | CH3 | CH3 | B1 | [47] |
| 85 | 3-epi-calenduladiol | H | H | α-OH | CH3 | H | H | H | OH | CH3 | B1 | [47] |
| 86 | 3α,16β,28-Trihydroxylup-20(29)-ene | H | H | α-OH | CH3 | H | H | β-OH | CH2OH | CH3 | B1 | [48] |
| 87 | 3α,16β-dihydroxylup-12-ene | α-OH | β-OH | - | - | - | - | - | - | - | B3 | [48] |
| 88 | 3β,16β-dihydroxylup-12-ene | β-OH | β-OH | - | - | - | - | - | - | - | B3 | [48] |
| 89 | 16β-3,4-secolup-20(29)-en-3-oic acid | - | - | - | - | - | - | - | - | - | B4 | [48] |
| 90 | 3-(E)-β-coumaroylnepeticin | H | H | ![]() |
CH3 | H | α-OH | H | CH3 | CH3 | B1 | [25] |
| 91 | 3,4-seco-lupa-4(23):20(29)-diene-3,28-dioicacid 28-methyl ester | - | - | - | - | - | - | - | - | - | B5 | [26] |
| 92 | 1β-Hydroxy-3β-caffeate lup-20(29)-ene | β-OH | H | OCaf | CH3 | H | H | H | CH3 | CH3 | B1 | [49] |
| 93 | 3-oxo-21β-H-hop-22(29)-ene | =O | - | - | - | - | - | - | - | - | B6 | [28] |
| 94 | 3β-hydroxy-21β-H-hop-22(29)-ene | β-OH | - | - | - | - | - | - | - | - | B6 | [28] |
| 95 | 3,4-seco-21β-H-hop-22(29)-en-3-oic acid | - | - | - | - | - | - | - | - | - | B7 | [28] |

| No. | Name | R1 | R2 | R3 | R4 | R5 | R6 | R7 | R8 | Type | Ref. |
|---|---|---|---|---|---|---|---|---|---|---|---|
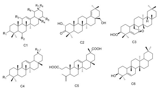
| 96 | 3β,19α-dihydroxyolean-12-en-29-oic acid | β-OH | H | H | CH3 | H | α-OH | CH3 | COOH | C1 | [14] |
| 97 | 3α,19α-dihydroxyolean-12-en-29-oic acid | α-OH | H | H | CH3 | H | α-OH | CH3 | COOH | C1 | [14] |
| 98 | 3-oxo-11α-methoxyolean-12-ene | =O | H | α-OCH3 | CH3 | H | H | CH3 | CH3 | C1 | [24] |
| 99 | 22α-hydroxy-29-methoxy-3β-tetradecanoate-olean-12-ene | β-COOC13H27 | H | H | CH3 | α-OH | H | CH3 | COOMe | C1 | [31] |
| 100 | Maytefolin B | - | - | - | - | - | - | - | - | C2 | [44] |
| 101 | 3β-peroxy-7β,25-epoxy-D:B-friedoolean-5-ene | - | - | - | - | - | - | - | - | C3 | [48] |
| 102 | 28-hydroxyolean-12-ene-3,11-dione | =O | H | =O | CH2OH | H | H | CH3 | CH3 | C1 | [50] |
| 103 | 6β,28-dihydroxyolean-12-ene-3,11-dione | =O | β-OH | =O | CH2OH | H | H | CH3 | CH3 | C1 | [50] |
| 104 | 3-oxo-11α-methoxyolean-12-ene-30-oic acid | =O | H | α-OCH3 | CH3 | H | H | COOH | CH3 | C1 | [51] |
| 105 | 3-oxo-11α-hydroxyolean-12-ene-30-oic acid | =O | H | α-OH | CH3 | H | H | COOH | CH3 | C1 | [51] |
| 106 | 3-oxo-olean-9(11),12-diene-30-oic acid | =O | COOH | - | - | - | - | - | - | C4 | [51] |
| 107 | 3,4-seco-olean-4(23),12-diene-3,29-dioic acid | - | - | - | - | - | - | - | - | C5 | [51] |
| 108 | 3α-22β-dihydroxyolean-12-en-29-oicacid | α-OH | H | H | CH3 | β-OH | H | CH3 | COOH | C1 | [52] |
| 109 | Olean-9 (11):12-dien-3β-ol | β-OH | CH3 | - | - | - | - | - | - | C4 | [53] |
| 110 | 3β-Hydroxy-D:B-friedo-olean-5-ene | - | - | - | - | - | - | - | - | C6 | [54] |
| 111 | 19α-hydroxy-3-olean-12-en-29-oic acid | =O | H | H | CH3 | H | α-OH | CH3 | COOH | C1 | [55] |

| No. | Name | R1 | R2 | R3 | R4 | Type | Ref. |
|---|---|---|---|---|---|---|---|
| 112 | 3-Oxo-methoxyurs-12-ene | =O | H | α-OCH3 | CH3 | D1 | [24] |
| 113 | Krukovines B | =O | H | CH2OH | H | D1 | [50] |
| 114 | Krukovines D | =O | OH | CH2OH | H | D1 | [50] |
| 115 | Krukovines E | =O | H | OH | H | D1 | [50] |
| 116 | Maytefolins C | - | - | - | - | D2 | [44] |
| 117 | 28-hydroxy-12-ursene-3β-yl-caffeate | β-OCaf | H | CH2OH | H | D1 | [52] |
| 118 | 3β-stearyloxy-urs-12-ene | ![]() |
H | CH3 | H | D1 | [56] |
| 119 | 24-(E)-3-oxo-dammara-20,24-dien-26-al | - | - | - | - | D3 | [57] |
| 120 | 24-(Z)-3-oxo-dammara-20,24-dien-26-al | - | - | - | - | D3 | [57] |
| 121 | 24-(E)-3-oxo-dammara-20,24-dien-26-ol | H | H | CH3 | CH2OH | D4 | [57] |
| 122 | 24-(E)-3-oxo-dammara-23-α-hydroxy-20,24-dien-26-al | H | α-OH | CH3 | CHO | D4 | [57] |
| 123 | 24-(E)-3-oxo-dammara-23-β-hydroxy-20,24-dien-26-al | H | β-OH | CH3 | CHO | D4 | [57] |
| 124 | 24-(E)-3-oxo-dammara-6-β-hydroxy-20,24-dien-26-al | β-OH | H | CH3 | CHO | D4 | [57] |
| 125 | 24-(E)-3-oxo-dammara-6-β-hydroxy-20,24-dien-26-ol | β-OH | H | CH3 | CH2OH | D4 | [57] |
| 126 | 23-(Z)-3,25-dioxo-25-nor-dammara-20,24-diene | - | - | - | - | D5 | [57] |
| 127 | 24-(E)-3-oxo-23-methylene-dammara-20,24-dien-26-oico | - | - | - | - | D6 | [58] |
| 128 | 24(Z)-3-oxodammara20(21),24-dien-27-oic acid | H | H | COOH | CH3 | D4 | [58] |
| 129 | Octa-nor-13-hydroxydammara-1-en-3,17-dione | - | - | - | - | D7 | [58] |

| No. | Name | R1 | R2 | R3 | R4 | R5 | R6 | R7 | R8 | Type | Ref. |
|---|---|---|---|---|---|---|---|---|---|---|---|
| 130 | 1α,9α-dibenzoyloxy-6β,8α,15-triacetoxy-4β-hydroxy-dihydro-β-agarofurane | OBz | H | H | OAc | CH3 | α-OAc | α-OBz | CH2OAc | E1 | [60] |
| 131 | 1α,9α-dibenzoyloxy-2α,6β,8α,15-tetracetoxy-4β-hydroxydihydro-β-agrofurane | OBz | α-OAc | H | OAc | CH3 | α-OAc | α-OBz | CH2OAc | E1 | [60] |
| 132 | 6β,8β-15-triacetoxy-1α,9α-dibenzoyloxy-4β-hydroxy-β-dihydroagarofuran | OBz | H | H | OAc | CH3 | β-OAc | α-OBz | CH2OAc | E1 | [61] |
| 133 | 1α,6β,8β-15-tetraacetoxy-9α-benzoyloxy-4β-hydroxy-β-dihydroagarofuran | OAc | H | H | OAc | CH3 | β-OAc | α-OBz | CH2OAc | E1 | [61] |
| 134 | (1S,4S,6R,7S,8S,9R)-1,6,15- triacetoxy-8,9-dibenzoyloxy-4β-hydroxy-β-dihydroagarofuran | OAc | H | H | OAc | CH3 | α-OBz | β-OBz | CH2OAc | E1 | [61] |
| 135 | (1R,2S,4S,5S,6R,7R,9S,10S)-6,15-diacetoxy-1,2,9-tribenzoyloxy-4-hrdroxy-8-oxo-dihydro-β-agarofuran | OBz | α-OBz | H | OAc | CH3 | O | α-OBz | CH2OAc | E1 | [41] |
| 136 | 9β-cinnamoyloxy-2β,3β-diacetoxy-6β-hydroxy-lα-nicotinoyloxydihidro-β-agarofuran | ONic | β-OAc | β-OAc | OH | CH3 | H | β-OCin | CH3 | E1 | [41] |
| 137 | 1α-acetoxy-2α,6β,9β-trtifuroyloxy-4β-hydroxy-dihydro-β- agarofuran | OAc | α-OFu | H | OFu | CH3 | H | β-OFu | CH3 | E1 | [59] |
| 138 | 1α,2α-diacetoxy-6β,9β-difuroyloxy-4β-hydroxy-dihydro-β- agarofuran | OAc | α-OAc | H | OFu | CH3 | H | β-OFu | CH3 | E1 | [59] |
| 139 | 1α-acetoxy-6β,9β-difuroyloxy-2α,4β-dihydroxy-dihydro-β-agarofuran | OAc | α-OH | H | OFu | CH3 | H | β-OFu | CH3 | E1 | [59] |
| 140 | 1α-acetoxy-2α-benzoyloxy-6β,9β-difuroyloxy-4β-dihydro-β-agarofuran | OAc | α-OBz | H | OFu | CH3 | H | β-OFu | CH3 | E1 | [59] |
| 141 | 1α-acetoxy-6β,9β-difuroyloxy-2α-propyonyloxy-4β-hydroxy-dihydro-β-agarofuran | OAc | α-OPr | H | OFu | CH3 | H | β-OFu | CH3 | E1 | [59] |
| 142 | 1α-acetoxy-6α,9β-difuroyloxy-2α-(2)-methylbutyroyloxy-4β-hydroxy-dihydro-β-agarofuran | OAc | α-OButMe | H | OFu | CH3 | H | β-OFu | CH3 | E1 | [59] |
| 143 | 1α, 2α,15-triacetoxy-6β,9β-difuroyloxy-4β- hydroxy-dihydro-β-agarofuran | OAc | α-OAc | H | OFu | CH3 | H | β-OFu | CH2OAc | E1 | [59] |
| 144 | 1α, 2α,15-triacetoxy-6β,9β-dibenzoyloxy-4β- hydroxy-dihydro-β-agarofuran | OAc | α-OAc | H | OBz | CH3 | H | β-OBz | CH2OAc | E1 | [59] |
| 145 | (1R,2R,4S,5R,7S,9S,10R)-2-acetoxy-1-benzoyloxy-9-cinnamoyloxy-4-hydroxy- dihydro-β-agarofuran | OBz | β-OAc | H | H | CH3 | H | β-OH | CH3 | E1 | [62] |
| 146 | (1R,2S,3S,5R,7R,9S,10R)-2-acetoxy-9-benzoyloxy-1-cinnamoyloxy-3-nicotinoyloxy-4-hydroxy-dihydro-β-agarofuran | OCin | β-OAc | β-ONic | H | CH3 | H | H | CH3 | E1 | [62] |
| 147 | (1R,2S,3S,4S,5S,6R,7R,9S,10R)-2,6-diacetoxy-1-benzoyloxy-9-cinnamoyloxy-3-nicotinoyloxy-4-hydroxy-dihydro-β-agarofuran | OBz | β-OAc | β-ONic | OAc | CH3 | H | β-OCin | CH3 | E1 | [62] |
| 148 | (1R,2S,3S,4S,5S,6R,7R,9S,10R)-2,6-diacetoxy-1,9-dibenzoyloxy-3-nicotinoyloxy-4-hydroxy-dihydro-β-agarofuran | OBz | β-OAc | β-ONic | H | CH3 | H | β-OBz | CH3 | E1 | [62] |
| 149 | (1R,2S,3S,4S,5R,7S,8S,9R,10R)-2,3-diacetoxy-8,9-dibenzoyloxy-1-nicotinoyloxy-4-hydroxy-dihydro-β-agarofuran | ONic | β-OAc | β-OAc | H | CH3 | β-OBz | β-OBz | CH3 | E1 | [62] |
| 150 | (1R,2S,4S,5S,6R,7R,8S,9R,10S)-6,8-diacetoxy-1,2,9-tribenzoyloxy-4-hydroxy-dihydro-β-agarofuran | OBz | α-OBz | H | OAc | CH3 | β-OAc | β-OBz | CH3 | E1 | [62] |
| 151 | (1R,2S,3S,4S,5R,7S,8S,9R,10R)-2,8-diacetoxy-3,9-dibenzoyloxy-1-nicotinoyloxy-4-hydroxy-dihydro-β-agarofuran | ONic | β-OAc | β-OBz | H | β-OAc | β-OBz | CH3 | - | E2 | [62] |
| 152 | (1R,2S,4R,5S,6R,7R,8S,9R,10S)-6,8-diacetoxy-1,9-dibenzoyloxy-2-nicotinoyloxy-dihydro-β-agarofuran | OBz | α-ONic | H | OAc | β-OAc | β-OBz | CH3 | - | E2 | [62] |
| 153 | 1α,15-diacetoxy-6β,9β-dibenzoyloxy-2α-nicotinoyloxy-dihydro-β-agarofuran | OAc | α-ONic | H | OBz | H | β-OBz | CH3 | - | E2 | [62] |
| 154 | 1α,15-diacetoxy-6β,9β-dibenzoyloxy-2α-nicotinoyloxy-4β-hydroxy-dihydro-β-agarofuran | OAc | α-ONic | H | OBz | CH3 | H | β-OBz | CH2OAc | E1 | [62] |
| 155 | (1R,2S,4S,5S,6R,7R,9S,10S)-1,2,6,9,15-pentaacetoxy-4-hydroxy-8-oxo-dihydro-β-agarofuran | OAc | α-OAc | H | OAc | CH3 | O | α-OAc | CH2OAc | E1 | [63] |
| 156 | (1R,2S,4S,5S,6R,7R,9S,10S)-1,2,9,15-taacetoxy-4,6-dihydroxy-8-oxo-dihydro-β-agarofuran | OAc | α-OAc | H | OH | CH3 | O | α-OAc | CH2OAc | E1 | [63] |
| 157 | (1R,2S,4S,5S,6R,7R,9S,10S)-1,9,15-triacetoxy-2,4,6-trihydroxy-8-oxo-dihydro-β-agarofuran | OAc | α-OH | H | OH | CH3 | O | α-OAc | CH2OAc | E1 | [63] |
| 158 | (1R,2S,3S,4S,5S,6R,7R,9S,10S)-1,2,3,6,9,12,15-heptaacetoxy-4-hydroxy-8-oxo-dihydro-β-agarofuran | OAc | α-OAc | β-OAc | OAc | CH2OAc | O | α-OAc | CH2OAc | E1 | [63] |
| 159 | 1α,2α,3β,6β,8α,9α,12,15-octaacetoxy-4β-hydroxy-dihydro-β-agarofuran | OAc | α-OAc | β-OAc | OAc | CH2OAc | α-OAc | α-OAc | CH2OAc | E1 | [63] |
| 160 | (1S,4S,5S,6R,7R,8S,9R,10R)-8-acetoxy-1,9-dibenzoyloxy-6-nicotynoyloxy-dihydro-β-agarofuran | OBz | H | H | ONic | α-OAc | α-OBz | CH3 | - | E2 | [49] |
| 161 | (1S,4R,5R,6R,7R,8S,9R,10R)-8-acetoxy-1,9-dibenzoyloxy-4-hydroxy-nicotynoyloxy-dihydro-β-agarofuran | OBz | H | H | ONic | CH3 | α-OAc | α-OBz | CH3 | E1 | [49] |
| 162 | (1R,2S,4S,5S,6R,7R,9S,10R)-1,15-diacetoxy-2,6-dibenzoyloxy-9-(3-furoyloxy)-4-hydroxy-dihydro-β-agarofuran | OAc | α-OBz | H | OBz | CH3 | H | α-OFu | CH2OAc | E1 | [64] |
| 163 | (1R,2S,4S,5S,6R,7R,9S,10R)-1,2,15-triacetoxy-6-benzoyloxy-9-(3-furoyloxy)-4-hydroxy-dihydro-β-agarofuran | OAc | α-OAc | H | OBz | CH3 | H | α-OFu | CH2OAc | E1 | [64] |
| 164 | (1R,2S,4S,5S,6R,7R,9S,10R)-1,15-diacetoxy-6-benzoyloxy-9-(3-furoyloxy)-2,4-dihydroxy-dihydro-β-agarofuran | OAc | α-OH | H | OBz | CH3 | H | α-OFu | CH2OAc | E1 | [64] |
| 165 | (1R,2S,4S,5S,6R,7R,9S,10R)-1,15-diacetoxy-6,9-dibenzoyloxy-2,4-hydroxy-dihydro-β-agarofuran | OAc | α-OH | H | OBz | CH3 | H | α-OBz | CH2OAc | E1 | [64] |
| 166 | (1R,2S,4S,5S,6R,7R,9S,10R)-1,2,6,15-tetracetoxy-9-(3-furoyloxy)-4-hydroxy-dihydro-β-agarofuran | OAc | α-OAc | H | OAc | CH3 | H | α-OFu | CH2OAc | E1 | [64] |
| 167 | (1R,2S,4S,5S,6R,7R,9S,10R)-1-Acetoxy-2,6-dibenzoyloxy-9-(3-furoyloxy)-4-hydroxy-dihydro-β-agarofuran | OAc | α-OBz | H | OBz | CH3 | H | α-OFu | CH3 | E1 | [64] |
| 168 | (1S,2S,3S,4S,5R,7R,9S,10R)-2,3-diacetoxy-9-benzoyloxy-1-(3-furoyloxy)-4-hydroxy-dihydro-β-agarofuran | OFu | β-OAc | β-OAc | H | CH3 | H | α-OBz | CH3 | E1 | [64] |
| 169 | (1S,2R,4S,5R,7R,9S,10R)-2-acetoxy-9-benzoyloxy-1-(3-furoyloxy)-4-hydroxy-dihydro-β-agarofuran | OFu | β-OAc | H | H | CH3 | H | α-OBz | CH3 | E1 | [64] |
| 170 | (1S,2R,4S,5R,7R,9S,10R)-2-Acetoxy-1,9-di-(3-furoyloxy)-4-hydroxy-dihydro-β-agarofuran | OFu | β-OAc | H | H | CH3 | H | α-OFu | CH3 | E1 | [64] |
| 171 | (1S,2R,4S,5R,7R,9S,10R)-2-Acetoxy-9-trans-cynamoiloxy-1-(3-furoyloxy)-4-hydroxy-dihydro-β-agarofuran | OFu | β-OAc | H | H | CH3 | H | α-OCin | CH3 | E1 | [64] |
| 172 | (1S,4S,5R,7R,9S,10S)-9-Benzoyloxy-1-(3-furoyloxy)-4-hydroxy-dihydro-β-agarofuran | OFu | H | H | H | CH3 | H | α-OBz | CH3 | E1 | [64] |
| 173 | (1S,2R,3R,4R,5S,7R,9S,10R)-2,3-diacetoxy-9-benzoyloxy-1-(3-furoyloxy)-dihydro-β-agarofuran | OFu | β-OAc | β-OAc | H | H | α-OBz | CH3 | - | E2 | [64] |
| 174 | (1S,2R,4R,5S,7R,9S,10R)-2-Acetoxy-9-benzoyloxy-1-(3-furoyloxy)-dihydro-β-agarofuran | OFu | β-OAc | H | H | H | α-OBz | CH3 | - | E2 | [64] |
| 175 | 1α,2α,9β,15-tetracetoxy-8β-benzoyloxy-β-dihydroagarofuran | OAc | α-OAc | H | H | β-OBz | α-OAc | CH2OAc | - | E2 | [65] |
| 176 | 1α-benzoyloxy-2α,6β,8α-triacetoxy-9α-methyllbutyroyloxy-β-dihydroagarofuran | OBz | α-OAc | H | OAc | α-OAc | α-OMeBut | CH3 | - | E2 | [65] |
| 177 | 1α,6β-diacetoxy-2α,8α,9α-tribenzoyloxy-β-dihydroagarofuran | OAc | α-OBz | H | OAc | α-OBz | α-OBz | CH3 | - | E2 | [65] |
| 178 | 1α-benzoyloxy-2α,6β,8α,9α-tetraacetoxy-β-dihydroagarofuran | OBz | α-OAc | H | OAc | α-OAc | α-OAc | CH3 | - | E2 | [65] |
| 179 | 1α,6β,8α-triacetoxy-9α-benzoyloxy-2α-hydroxy-β-dihydroagarofuran | OAc | α-OH | H | OAc | α-OAc | α-OBz | CH3 | - | E2 | [65] |
| 180 | (1R,2S,4R,5S,6R,7R,8R,9S,10S)-1,6-diacetoxy-8,9-dibenzoyloxy-2-h ydroxy-β-d ihydroagarofuran | OAc | α-OH | H | OAc | α-OBz | α-OBz | CH3 | - | E2 | [65] |
| 181 | 1α,6β,15-triacetoxy-8α-methylbutyroyloxy-9α-benzoyloxy-2α-hydroxy-β-dihydroagaro-furan | OAc | α-OH | H | OAc | α-OMeBut | α-OBz | CH2OAc | - | E2 | [65] |
| 182 | 1α,6β,15-triacetoxy-8α,9α-dibenzoyloxy-2α-hydroxy-β-dihydroagarofuran | OAc | α-OH | H | OAc | α-OBz | α-OBz | CH2OAc | - | E2 | [65] |
| 183 | 1α,6β,8β,15-tetracetoxy-2α-hydroxy-9α-benzoyloxy-β-dihydroagarofuran | OAc | α-OH | H | OAc | β-OAc | α-OBz | CH2OAc | - | E2 | [65] |
| 184 | Chiapens A | OH | α-OAc | H | OAc | α-OBz | α-OBz | CH2OAc | - | E2 | [66] |
| 185 | Chiapens B | OAc | α-OAc | H | OAc | α-OBz | α-OBz | CH2OAc | - | E2 | [66] |
| 186 | Chiapens C | OH | H | H | OAc | α-OBz | α-OBz | CH2OAc | - | E2 | [66] |
| 187 | Chiapens D | OAc | α-OAc | H | OBut | H | α-OBz | CH2OAc | - | E2 | [66] |
| 188 | Chiapens E | OAc | α-OAc | β-OAc | OAc | O | α-OBz | CH2OAc | - | E2 | [66] |
| 189 | 1α,6β-diacetoxy-8α-hydroxy-9β-furoyloxy-β-agarofuran | OAc | H | H | OAc | α-OH | β-OFu | CH3 | - | E2 | [67] |
| 190 | 1α-acetoxy-6β,8α-dihydroxy-9β-furoyloxy-β-agarofuran | OAc | H | H | OH | α-OH | β-OFu | CH3 | - | E2 | [67] |
| 191 | 1α-benzoyloxy-2α,3β,6β,9β,14-pentaacetoxy-8-oxo-β-agarofuan | OBz | α-OAc | β-OAc | OBz | O | OAc | CH2OAc | - | E2 | [67] |
| 192 | 1α-furoyloxy-2α,3β,6β,9β,14-pentaacetoxy-8-oxo-β-agarofuan | OFu | α-OAc | β-OAc | OFu | O | OAc | CH2OAc | - | E2 | [67] |
| 193 | Bilocularins A | OAc | H | H | OAc | α-OH | α-OBz | CH2OAc | - | E2 | [68] |
| 194 | Bilocularins B | OAc | H | H | OH | α-OAc | α-OBz | CH2OAc | - | E2 | [68] |
| 195 | Bilocularins C | OAc | H | H | OAc | O | α-OBz | CH2OAc | - | E2 | [68] |
| 196 | Bilocularins D | OHAc | α-OAc | H | OAc | CH3 | H | β-OtCin | CH2OBz | E1 | [69] |
| 197 | Bilocularins E | OHAc | α-OAc | H | OAc | CH3 | H | β-OtCin | CH2OtCin | E1 | [69] |
| 198 | Bilocularins F | OHAc | α-OAc | H | OAc | CH3 | H | β-OtCin | CH2OH | E1 | [69] |
| 199 | Bilocularins G | OAc | α-OAc | H | OAc | CH3 | H | β-OtCin | CH2OAc | E1 | [69] |
| 200 | Bilocularins H | OAc | α-OH | H | OAc | CH3 | H | β-OtCin | CH2OH | E1 | [69] |
| 201 | Bilocularins I | OAc | α-OH | H | ONic | CH3 | H | β-OtCin | CH3 | E1 | [69] |
| 202 | (1S,4S,5S,6R,7R,8R,9R,10S)-6-acetoxy-4,9,10-trihydroxy-2,2,5a,9-tetramethyloctahydro-2H-3,9a-methanobenzo[b]-oxepin-5-yl furan-3-carboxylate | OAc | H | H | OH | CH3 | α-OH | β-OFu | CH3 | E1 | [70] |
| 203 | (1S,4S,5S,6R,7R,8R,9R,10S)-6-acetoxy-4,9-dihydroxy-2,2,5a,9-tetramethyloctahydro-2H-3,9a-methanobenzo[b]oxepine-5,10-diylbis(furan-3-carboxylate) | OAc | H | H | OFu | CH3 | α-OH | β-OFu | CH3 | E1 | [71] |
| 204 | (1S,4S,5S,6R,7R,9S,10S)-6-acetoxy-9-hydroxy-2,2,5a,9-tetramethyloctahydro-2H-3,9a-methanobenzo[b]oxepine-5,10-diyl bis(furan-3-carboxylate) | OAc | H | H | OFu | CH3 | H | β-OFu | CH3 | E1 | [71] |
| 205 | (1S,4S,5S,6R,7R,9S,10S)-6-acetoxy-10-(benzoyloxy)-9-hydroxy-2,2,5a,9-tetramethyloctahydro-2H-3,9a-methanobenzo[b]-oxepin-5-yl furan-3-carboxylate | OAc | H | H | OBz | CH3 | H | β-OFu | CH3 | E1 | [71] |
| 206 | 2β,6β-diacetoxy-1α,9β-dibenzoyl-3β-hydroxy-dihydro-β-agarofuran | α-OBz | β-OAc | β-OH | H | β-CH3 | - | - | - | E3 | [72] |
| 207 | 1α,2α,6β,8α-tetraacetoxy-9β-benzoyl-15-hydroxy-dihydro-β-agarofuran | α-OAc | α-OAc | H | α-OAc | α-CH2OH | - | - | - | E3 | [72] |
| 208 | 1α,2α,6β,8α,15-pentaacetoxy-9β-benzoyl-dihydro-β-agarofuran | α-OAc | α-OAc | H | α-OAc | α-CH2OAc | - | - | - | E3 | [72] |
| 209 | 1β-acetoxy-9α-benzoyloxy-2β,6α-dinicotinoyioxy-β-dihydro-agarofuran(heterophylline) | - | - | - | - | - | - | - | - | E4 | [73] |
| 210 | Boarioside | - | - | - | - | - | - | - | - | E5 | [74] |
| 211 | 4-deacetyl-10-oxo-dihydrobotrydial | - | - | - | - | - | - | - | - | E6 | [75] |
| 212 | 4β-acetoxy-9β,10β,15α-trihydroxyp robotrydial | - | - | - | - | - | - | - | - | E7 | [75] |

| No. | Name | R1 | R2 | R3 | R4 | R5 | Type | Ref. |
|---|---|---|---|---|---|---|---|---|
| 213 | Wilforine | - | - | - | - | - | F1 | [77] |
| 214 | Emarginatine-A | OAc | OAc | OAc | H | OAc | F2 | [78] |
| 215 | Emarginatine-B | OAc | Benzoate | H | OAc | OAc | F2 | [78] |
| 216 | Emarginatine-C | OAc | OH | OAc | H | OAc | F2 | [79] |
| 217 | Emarginatine-D | OA | OAc | OAc | H | OAc | F2 | [79] |
| 218 | Emarginatine-E | OH | OH | H | OAc | OAc | F2 | [79] |
| 219 | Emarginatine-F | ![]() |
OAc | H | OH | OAc | F2 | [11] |
| 220 | Emarginatine-G | CH3CH=CCH3OO | OAc | OAc | H | OAc | F2 | [11] |
| 221 | Emarginatine-H | OAc | OAc | OAc | H | OH | F2 | [22] |
| 222 | Emarginatinine | - | - | - | - | - | F3 | [79] |
| 223 | Ebenifoline W-I | β-OAc | OBz | OBz | OAc | - | F4 | [80] |
| 224 | Ebenifoline E-I | β-OAc | OAc | OH | OBz | OAc | F5 | [80] |
| 225 | Ebenifoline E-II | β-OAc | OBz | OAc | OBz | OAc | F5 | [80] |
| 226 | Aquifoliunine E-I | α-OBz | OAc | OAc | OAc | CH2OAc | F5 | [81] |
| 227 | Aquifoliunine E-II | α-OH | OAc | OH | OAc | CH2OAc | F5 | [81] |
| 228 | Aquifoliunine E-III | α-OH | OAc | OAc | OAc | CH2OAc | F5 | [82] |
| 229 | Aquifoliunine E-IV | α-ONic | OAc | OAc | OAc | CH2OAc | F5 | [82] |
| 230 | Ilicifoliunines A | α-OBz | OH | OAc | OAc | CH2OAc | F5 | [83] |
| 231 | Ilicifoliunines B | α-OBz | OAc | OAc | CH2OAc | - | F4 | [83] |
| 232 | Mayteine | β-OAc | OAc | OAc | OBz | CH2OAc | F5 | [83] |
| 233 | Laevisines A | β-OAc | OAc | OAc | OCOC(CH3)=CHCH3 | CH2OAc | F5 | [84] |
| 234 | Laevisines B | β-OAc | OAc | ONic | CH2OAc | - | F4 | [84] |
| 235 | Mekongensine | Ac | H | OAc | OAc | - | F6 | [85] |
| 236 | 7-epi-mekongensine | Ac | OAc | H | OAc | - | F6 | [85] |
| 237 | 1-O-benzoyl-1-deacetylmekongensine | Bz | H | OAc | OAc | - | F6 | [85] |
| 238 | 9′-deacetoxymekongensine | Ac | H | OAc | H | - | F6 | [85] |
| 239 | 1-O-benzoyl-1-deacetyl-9′-deacetoxymekongensine | Bz | H | OAc | H | - | F6 | [85] |
| 240 | 7-epi-euojaponine | Bz | Ac | H | OAc | H | F7 | [85] |
| 241 | 2-O-benzoyl-2-deacetylmayteine | Bz | Bz | Ac | H | OAc | F7 | [85] |
| 242 | 7-epi-5-O-benzoyl-5-deacetylperitassine A | - | - | - | - | - | F8 | [85] |
| 243 | 5-benzoyl-5-deacetylwilforidine | - | - | - | - | - | F9 | [86] |
| 244 | Putterines A | ![]() |
OAc | COOCH3 | COOCH3 | CH2OAc | F5 | [76] |
| 245 | Putterines B | ![]() |
OAc | COOCH(CH3)2 | COOCH3 | CH2OAc | F5 | [76] |
| 246 | 7-(acetyloxy)-O11-benzoyl-O2,11-deacetyl-7-deoxoevonine | β-OAc | OAc | OH | OAc | CH2OBz | F5 | [52] |
| 247 | Chiapenines ES-I | OBz | OBz | α-OAc | - | - | F10 | [87] |
| 248 | Chiapenines ES-II | OBz | OBz | =O | - | - | F10 | [87] |
| 249 | Chiapenines ES-III | OBz | OH | =O | - | - | F10 | [87] |
| 250 | Chiapenines ES-IV | OAc | OH | =O | - | - | F10 | [87] |
| 251 | Jelskiine | OiBut | α-OAc | OH | OAc | - | F11 | [88] |
| 252 | O9-benzoyl-O9-deacetylevonine | OBz | =O | OAc | OAc | - | F11 | [24] |
| 253 | 8β-acetoxy-O1-benzoyl- O1-deacetyl-8-deoxoevonine | OAc | β-OAc | OAc | OBz | - | F11 | [24] |
| 254 | 1α,2α,6β,8β,9α,15-hexacetoxy-4β-hydroxy-3β,13-[2′-(3-carboxybutyl)]nicotinicacid-dicarbo-lactone-β-dihydroagarofuran | - | - | - | - | - | F12 | [65] |
| 255 | 1α,2α,9α,15-tetracetoxy-4β,6β-dihydroxy-8-oxo,3β,13-[4′-(3-carboxybutyl)]nicotinicacid-dicarbolactone-β-dihydroagarofuran | =O | - | - | - | - | F13 | [65] |
| 256 | 1α,2α,9α,15-tetracetoxy-4β,6β,8β-trihydroxy-3β,13-[4′-(3-carboxybutyl)]nicotinicacid-dicarbolactone-β-dihydroagarofuran | β-OH | - | - | - | - | F13 | [65] |
| 257 | 1α,2α,8β,9α,15-pent acetoxy-4β,6β-dihydroxy-3β,13-[4′-(3-carboxybutyl)]nicotinicaciddicarbolactne-β-dihydroagarofuran | β-OAc | - | - | - | - | F13 | [65] |
| 258 | 4-deoxyalatamine | OAc | OAc | - | - | - | F14 | [31] |
| 259 | 1-O-benzoyl-1-deacetyl-4-deoxy-alatamine | OBz | OAc | - | - | - | F14 | [31] |
| 260 | 1,2-O-dibenzoyl-1,2-deacetyl-4-deoxyalatamine | OBz | OBz | - | - | - | F14 | [31] |
| 261 | 4-deoxyisowilfordine | - | - | - | - | - | F15 | [31] |
