| Version | Summary | Created by | Modification | Content Size | Created at | Operation |
|---|---|---|---|---|---|---|
| 1 | Muhammed Alkali | -- | 1433 | 2023-06-07 12:29:21 | | | |
| 2 | Jessie Wu | Meta information modification | 1433 | 2023-06-08 02:40:46 | | | | |
| 3 | Muhammed Alkali | + 2244 word(s) | 3677 | 2023-06-15 16:10:59 | | | | |
| 4 | Muhammed Alkali | -87 word(s) | 2984 | 2023-07-28 10:31:47 | | |
This paper provides insight into the various studies that have already been carried out on liquid crystalline materials based on copper(I) complexes. Even though the study of copper(I) complexes with respect to their liquid crystalline property is quite few, metallomesogens prepared with different structural components and ligands from groups such as aza macrocycles, alkyl thiolates, ethers, isocyanides, phenanthroline, Schiff bases, pyrazoles, phosphine, biquinoline, and benzoyl thiourea have been reported. A special section is dedicated to the discussion of the emission properties of copper(I) metallomesogens.
Liquid crystals are generally referred to as substances that blend the structure and properties of solid and liquid states, they share with liquids, the ability to flow but also exhibit some structural arrangement similarities with the solids. This intriguing combination of both the properties of the liquid and solid states gives liquid crystals the ability to induce certain properties that have gained useful applications in the displays of devices such as wristwatches, calculators, portable computers, and flat-screen televisions as well as in sensors, smart windows, optical switches, etc.[1].
With so many compounds synthesized, liquid crystals containing metals, also known as metallomesogens, have become a major subject of study [2]. Incorporation of the metal into the organic matrix enhances and induces unique magnetic, spectroscopic, and redox properties of the resulting materials [3–9]. At least one liquid-crystalline complex has been reported in the literature for most of the metals. However, issues often encountered with these complexes are those relating to the high transition temperatures usually >100 C, and the low thermal stability associated with the metallomesogens at elevated temperatures, which are major drawbacks that hinder the study of the physical properties of these materials. Consequently, the preceding challenges make it puzzling to observe light emission (luminescence) at elevated temperatures due to the strong tendencies of the excited states to undergo de-activation through nonradiative transitions. Therefore, luminescence studies on metallomesogens in many cases were performed on samples in the solid state or those dissolved in organic solvents [10].
A series of cationic macrocyclic copper(I) complexes based on non-mesogenic bis[4-(n-alkyloxy) benzamide derivatives of 1,10-diaza-4,7,13,16-tetrathiacyclooctadecane were reported in 1994 by Ghedini et al. [11]. The complexes studied had transition temperatures from the solid to liquid crystalline states ranging from 93-123oC. XRD measurements for Complex 1 (Figure 1) in the series and the study revealed an X-ray diffraction pattern consistent with a disordered layered structure associated with a smectic phase of A or C type.

Figure 1: Copper(I) complexes from azamacrocycle derivative ligand. Transition temps. are in (OC) [11]
Another class in the Sulphur containing ligand group is the benzoyl thiourea. An important class of copper(I) metallomesogens based on copper(I) halide complexes with thiourea-based ligands having long chain alkoxy groups and a perfluorooctyl group was reported in 2018 by Ilis and Circu [12] (Figure 2). They found no liquid crystalline property for the ligand but observed a hexagonal columnar phase for both complexes 2a and 2b over a high temperature above 100 C via a combination study of POM, DSC, and XRD, while the thermal stability studied by TGA indicated a higher stability (160oC) for the corresponding copper(I) complexes compared to that of the BTU (180oC) ligand.

Figure 2: Copper(I) complexes with benzoyl thiourea ligand. Transition temperatures are in (OC) [12].
Copper(I) metallomesogens with three-coordinate geometry were first reported by Lin et al. in 2001 [13]. The complexes were derived from bis{2-[3’-(3’’,4’’-dialkoxyphenyl)-5’-methyl-1’-pyrazolyl]ethyl} ethers and from bis{2-[3’-(3’’,4’,5’-trialkoxyphenyl)-5’-methyl-1’-pyrazolyl]ethyl} ethers. These novel complexes were obtained by complexing the ethers with [Cu(MeCN)4]BF4. An example (complex 3) is given in Figure 3.

Figure 3. Copper(I) complex with ether-type ligand. All temperatures are in (oC) [13]
Many copper(I) complexes with N-donor ligands in the form of Schiff bases are known. These compounds show varying liquid crystalline properties with modification of their structural units. Although non mesogenic, the free ligands L4, upon complexation with copper(I) showed mesogenic character as described by the DSC and POM experiments. The results indicated that complex 4 showed high stability after several heating cycles as against those for some of the other Schiff base complexes, this attribute is explained to be due to the lack of substituents at position 6 (as seen in figure 3). In addition, the optical textures observed for complex 4 during slow cooling from the isotropic melt are typical of a columnar phase (with pseudo-focal-conic textures [14].

Figure 4: Copper(I) metallomesogens with Schiff base. All transition temperatures are in (oC) [14].
A study by Ziessel et al. (2004) [15] presented mesomorphic materials based on copper(I) complexes with phenanthroline-based ligands. The study aimed to engineer a structural framework with additional supramolecular binding factors (hydrogen bonding) so as to stabilize the mesophase both as a free ligand and within the complex. The thermotropic properties of the ligands and complexes of the phenanthroline derivatives were investigated via a combination of POM, DSC, and XRD. The ligand used for the complexes showed distinct cubic and disordered lamellar mesophases at the related copper(I) complexes with longer chains showing mesomorphic behaviors displaying mesophases characteristic of the oblique columnar phase. An example of such compounds is described in Figure 5.

Figure 5: Copper(I) complex with phenanthroline-based ligand. Temperatures are in (OC) [15]
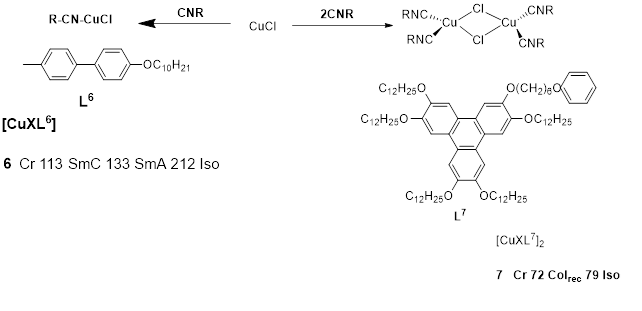
The reaction of isocyanides with CuX (X is halide) gives a mononuclear complex but, on the contrary, the reaction of two equivalents of the isocyanide derivatives with CuX yields binuclear copper(I) complexes, an example of metallomesogens from the aforementioned ligand is shown in Figures 6.

Figure 6: Mononuclear and dinuclear copper(I) Isocyanide complexes. Transition temperatures are in bracket (OC) [16] [17]
The first set of liquid crystals based on copper(I) isocyanide complexes was reported in 2001 by Benouazzane et al [16]. Some of the isocyanide ligands were reported to display nematic and/or smectic A phases. The mononuclear copper complex 6 (figure 6) shows SmA and SmC mesophases.
Chico et al. [17] reported two isocyanate-triphenylene copper(I) complexes both of which display good thermal stability in the range of study. The free isocyanide ligand appeared not to be mesomorphic as observed by POM. The identification of the columnar mesophase for the dinuclear complex 7 (figure 6) was achieved by small-angle X-ray scattering on powder samples which was measured as a function of temperature, consistent with the DSC and POM experiments. Furthermore, the columnar mesophase was stable in the temperature range of 46 to 79OC.
A major drawback in the study of the physical properties of metallomesogens is mostly due to issues relating to their high transition temperature and stability at those elevated temperatures. It becomes increasingly difficult to study the emissions at those temperatures due to the strong tendencies of the excited electrons to undergo deactivation via nonradiative transitions [10]. Few attempts have been made in this regard and interesting findings have been made.
Kishimura et al. were the first to describe the emission properties of copper(I) complexes in their liquid crystalline phase [18] in 2005. They reported a number of dendritic Cu(I) pyrazolate complexes which were used to produce some thermally rewritable phosphorescent papers useful for security purposes.

Figure 7: Ligands and representative structure of the copper pyrazole trinuclear complex 7 & 8 reported in [18] [19]
The luminescence investigation of complexes from the pyrazole ligand [18] revealed dichroism at room temperature for the solid of complex 7. Cooling of the hot melt (which emitted a red luminescence at λmax650 nm) naturally or by slow cooling leads to blue shift emission at 640 or 610 nm respectively. In essence, the red and yellow luminescence observed for 7 could be thermally changed from one form to the other, depending on the manner and rate of cooling and this was also found to be the case for its liquid crystalline properties. Both the aged and non-aged complex 7 that was analyzed appeared to be phosphorescent which is thought to be a result of Cu(I) to Cu(I) interactions [18].
Furthermore, XRD analysis of the aged sample of complex 7 showed diffraction patterns synonymous with a one-dimensional columnar phase and the same, 7 viewed in a polarized optical microscope showed a fan-shaped texture that is characteristic of Discotic liquid crystals and on the basis of this, was concluded that aged complex 7 is composed of long-range discotic columnar assembly. XRD pattern of the non-aged complex after natural cooling also indicated the presence of a columnar structure. DSC measurements carried out on the aged and non-aged complex 7 revealed patterns, upon which it was concluded that the discotic columnar assembly which is believed to involve metallophilic interactions of the Cu(I) to Cu(I) units having long alkyl chains, is formed in the aging process at about 40–50 °C. The stability of the dichroic luminescence was therefore found to be dependent on the pyrazole ligand structure.
Building upon the aforementioned work by Kishimura and co-workers, Gimenez et al. (2020) [19] recently reported a series of liquid crystals achieved with cyclic trinuclear copper(I) complexes (the most important in the series is given in Figure 7 as complex 8), prepared using 3,5-dimethyl-4-(trialkoxyphenyl)pyrazolate ligands.
Complex 8 was reported to have orange-red colored emissions at room temperature and the photoluminescence exhibited a broad band centered at around 661-664 nm. A landmark reported in this study [19] is the high Quantum yield (QY) value of 42%, measured in the liquid crystalline state which is the highest recorded so far for any copper(I) metallomesogens. The QY obtained for complex 7 in its liquid crystalline state was higher than those obtained in the crystalline state of complexes for the rest of the series. Thus, the work carried out by Giminez et al.[19] have shown that low-temperature phosphorescent metallomesogens can be obtained from the more affordable and abundant copper metal.
Camerel et al. (2016) [20] reported a new class of copper(I) liquid crystals with a cubane core and based on phosphine ligands functionalized with pro mesogenic gallate-based moieties bearing either long alkyl chains of C8, C12, and C16 or cyanobiphenyl (CBP) fragments. The copper(I) cubanes have already been known for being able to display both luminescence mechanochromism and thermochromism behavior [21–25]. This study is an inventive example of integrating luminescence characteristics of copper iodide clusters [Cu4I4(L24)4] with the flexible self-assembly of liquid crystals. Only the compound functionalized with cyano biphenyl group (CBP) i.e., Complex 8 (figure 8) showed liquid crystalline behaviour displaying a Sm A from room temperature to about 1000C.

Figure 8. General structure of the functionalized [Cu4I4(L24)4] copper iodide clusters with phosphine ligands [20].
All the complexes from the work by Camerel et al. [20] revealed luminescence thermochromism for all the studied compounds however, complex 8 displayed an unclassical behavior which was attributed to the intrinsic luminescence properties of the cyano biphenyl moiety itself, complex 8 displayed a dual-emissive system which presented interesting emission properties. And also, in addition to its liquid crystalline properties, the compound 8 displayed luminescence mechanochromism with a modification of the emission wavelength in response to grinding.
Cretu et al. (2018) [26] reported a new class of Cu(I) coordination complexes having 4,4’-bisubstituted-2,2’-biquinolines which shows low-temperature lamella-columnar and columnar hexagonal thermotropic liquid crystalline phases. The highest deduction from the luminescence study is the presence, at 578 and 560 nm of a medium-low intensity band, with a series of shoulders, believed to be due to metal-to-ligand charge-transfer (MLCT) electronic transitions. By heating the solid samples, they move towards the liquid-crystalline phases and still retain the luminescence displayed in the solid state but by increasing the temperature, the intensity of the luminescence band decreases, and when over 120°C, luminescence is completely quenched; but returns with subsequent cooling of the samples. This behavior is attributed to the gain of the non-radiative kinetic constants when vibrational modes are enhanced by heating the samples [26]. An example of this class’s structure is given in Figure 9.

Figure 9. Copper(I) complex with bisubstituted biquinoline ligand [26]
Conclusion
The aim of this article was to make an overview of the various liquid crystalline materials based on copper(I) complexes with an emphasis on their luminescent properties. Examples of copper(I) metallomesogens based on isocyanide ligands are by far the most prevalent. By utilizing the suitable mesogenic groups, their LC characteristics may be simply modified. While a few other isocyanides produced hexagonal and rectangular columnar phases as well as a cubic phase for the dendritic isocyanide supermolecules, the bulk of these complexes exhibit calamitic behavior with either SmA or SmC phases. The reported copper(I) complexes of Schiff base type ligands of bipyridine imine, 2-aminopyridine, and picoline substituted imino ligand and those of alkyl thiolates all displayed varying columnar mesophases with different transition temperature ranges. Both the ether type and benzoyl thiourea ligands displayed characteristics of a hexagonal columnar mesophase for the corresponding metallomesogens, while the copper(I) complexes from phenanthroline ligands had an oblique columnar mesophase. Furthermore, interesting luminescent properties in liquid crystalline states were observed for copper(I) complexes from ligands with pyrazole derivatives, phosphine ligands functionalized with copper iodide and substituted biquinoline ligands. The complex from the functionalized phosphine ligand displayed interesting mechanochromic luminescence properties. A high quantum yield of 42% in the liquid crystalline phase of the copper(I) metallomesogens from a pyrazole ligand was reported. This work provides a pillar to build on for the preparation of many more copper(I) complexes having liquid crystalline behavior with improved properties.
References
26. Cretu, C.; Andelescu, A.A.; Candreva, A.; Crispini, A.; Szerb, E.I.; la Deda, M. Bisubstituted-Biquinoline Cu(I) Complexes: Synthesis, Mesomorphism and Photophysical Studies in Solution and Condensed States. J Mater Chem C Mater 2018, 6, 10073–10082, doi:10.1039/C8TC02999G.