| Version | Summary | Created by | Modification | Content Size | Created at | Operation |
|---|---|---|---|---|---|---|
| 1 | Anita Kornicka | -- | 8131 | 2023-12-21 11:22:43 | | | |
| 2 | Lindsay Dong | -126 word(s) | 8005 | 2023-12-22 03:36:05 | | |
Umbelliferone (UMB), known as 7-hydroxycoumarin, hydrangine, or skimmetine, is a naturally occurring coumarin in the plant kingdom, mainly from the Umbelliferae family that possesses a wide variety of pharmacological properties. In addition, the use of nanoparticles containing umbelliferone may improve anti-inflammatory or anticancer therapy. Also, its derivatives are endowed with great potential for therapeutic applications due to their broad spectrum of biological activities such as anti-inflammatory, antioxidant, neuroprotective, antipsychotic, antiepileptic, antidiabetic, antimicrobial, antiviral, and antiproliferative effects.





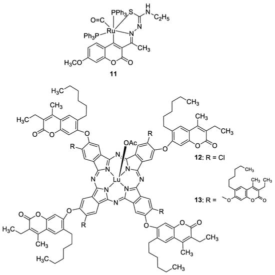
Recently, it was demonstrated that the radical scavenging ability of novel 3-acetyl-7-methoxy-4N-substituted thiosemicarbazones may be increased by ruthenium chelation [37]. The best radical scavenging properties have been shown by Ru(II) complex 11 (Figure 7), which displayed an antioxidant potency with about a fifteen-fold lower IC50 value than standard vitamin C in the DPPH model (IC50 = 5.28 µM vs. IC50 = 98.72 µM).




Recently, Seong et al. reported 6-formylumbelliferone derivative 14 and its isomeric analogue 15, presented in Figure 8, as highly selective hMAO-A inhibitors [47]. The higher selectivity and inhibitory activity towards hMAO-A exhibited 7-hydroxy-2-oxo-2H-chromene-6-carbaldehyde (14) with an IC50 value of 3.23 μM for hMAO-A and an IC50 value of 15.31 μM for hMAO-B. Enzyme kinetic studies revealed that both 6-formylumbelliferone 14 and 8-formylumbelliferone 15 are competitive hMAO inhibitors. These investigations were supported by molecular docking studies. Data revealed that compounds 14 and 15 dock well into the active sites of recombinant human monoamine oxidase A and B. The formyl group of 14 interacts strongly with substrate binding site (SBS) residues Tyr444 and Tyr197 of hMAO-A via water-mediated hydrogen bonds, whereas Phe352 and Tyr407 residues are involved in hydrophobic noncovalent π-π T-shaped (perpendicular T-shaped) and π-π stacking interactions. Hydroxycoumarin derivatives 14 and 15 demonstrated a neuroprotective effect due to their antilipid peroxidation and anti-Aβ25–35 (amyloid β self-assembly) aggregation activity in rat brain tissue.



Extracts of widely cultivated plants, such as Musa species (banana flower ethanolic extracts) containing umbelliferone, were identified as potential antidiabetic herbal remedies in the management of diabetes and associated complications. Isolated umbelliferone increased the activity of crucial enzymes involved in glucose utilization and the glycolytic activity of the liver in alloxan-induced diabetic rats [52].

The search for 7-hydroxycoumarin-based compounds as antimicrobial agents has developed due to the rapid growth of the drug resistance of microbes. The antimicrobial activity of parent 7-hydroxycoumarin—umbelliferone of various origins—was reported several times in in vitro studies [14]. Pure 7-hydroxycoumarin showed activity against Bacillus cereus with a MIC and MBC value of 62.5 µg/mL. However, this coumarin exhibited rather moderate effectiveness against other enteropathogenic bacterial species of Gram-negative Escherichia coli, Shigella sonnei, and Salmonella typhimurium, as well as Gram-positive Enterococcus faecalis and Staphylococcus aureus. In addition, high concentrations were often required to inhibit the growth of most species tested (MIC = 500–1000 µg/mL) [14].
Recently, the 7-hydroxycoumarin moiety was explored for its ability to inhibit biofilm formation by pathogenic bacterial strains. Firstly, the biofilm inhibitory properties of umbelliferone were shown at a concentration of 50 µg/mL against uropathogenic E. coli [56].





















The development of novel antitumor drugs based on the inhibition of cyclooxygenase-2 (COX-2) has been an important part of antitumor drug development, because COX has proven to be a promising target in the design of antitumor agents. There is a growing understanding that several inflammatory mediators, such as cytokines, chemokines, and growth factors, may promote cancer formation and progression by controlling the tumor microenvironment.
Similar to COX-2, lipoxygenases (LOXs) are pro-inflammatory enzymes associated with arachidonic acid (AA) cascade. In this pathway, AA is transformed into hydroxyeicosatetraenoic acids derivatives (HETEs) and leukotrienes (LTs), which play a major key role in the development and progression of human cancers as a result of LOX activation. In particular, the overexpression of 5-LOX has been shown to have significant effects on the cell cycle, preventing apoptosis and stimulating angiogenesis.
In this line, Shen et al. designed a novel COX-2 and 5-LOX dual inhibitor composed of the 1-(4-sulfamoylphenyl)-5-(3,4,5-trimethoxyphenyl)-1H-pyrazole and 7-hydroxycoumarin moieties [94]. A high selectivity level has been observed for compound 83 towards enzyme subtypes based on its IC50 values of 0.23 µM for COX-2 and 0.87 µM for 5-LOX, making the tested compound superior to celecoxib as a positive control for COX-2 (IC50 = 0.41 µM) and zileuton for 5-LOX (IC50 = 1.35 µM).
In 2018, Hua et al. described cou-platin (84, Figure 36) composed of 7-hydroxycoumarin and a platinum(IV) moiety derived from cisplatin as more potent towards a variety of cancer cells than cisplatin (IC50 = 0.08–2.46 µM vs. IC50 = 1.86–9.34 µM) [95]. The mechanistic studies with the use of human colon carcinoma HCT116 cells revealed that new Pt-binding molecule 84 is able to inhibit cancer cell growth via activation of cell apoptosis and inhibition of the ERK/MAPK signaling pathway.




Levin et al. [100] synthesized novel dyad molecule 101 shown in Figure 40 composed of two different fluorophores: 1,2,4,5-tetraarylimidazole and 8-arylazomethinocoumarin. Because of the presence of both proton (hydrogen) donating/accepting groups in the structure, the designed molecule exhibits multiple fluorescence with maxima at 450 nm and 535 nm as a result of excited-state intramolecular proton transfer (ESIPT).
