| Version | Summary | Created by | Modification | Content Size | Created at | Operation |
|---|---|---|---|---|---|---|
| 1 | In Hwan Jung | -- | 2220 | 2024-01-17 06:48:13 | | | |
| 2 | Lindsay Dong | Meta information modification | 2220 | 2024-01-19 01:42:58 | | |
Ever since self-assembled monolayers (SAMs) were adopted as hole-transporting layers (HTL) for perovskite solar cells (PSCs), numerous SAMs for HTL have been synthesized and reported. SAMs offer several unique advantages including relatively simple synthesis, straightforward molecular engineering, effective surface modification using small amounts of molecules, and suitability for large-area device fabrication.


| HTM | Device Structure | VOC [V] |
JSC [mA/cm−2] |
FF [%] |
PCE [%] |
Device Stability a |
Refs. |
|---|---|---|---|---|---|---|---|
| V1036 | ITO/V1036/C4/Cs0.05(MA0.17FA0.83)0.95Pb(I0.83Br0.17)3/C60/BCP/Cu | 1.09 | 21.9 | 81.0 | 17.8 | ~94%, 180 d, RT b,f | [54] |
| MeO-2PACz | ITO/MeO–2PACz/Cs0.05(MA0.17FA0.83)0.95Pb(I0.83Br0.17)3/C60/BCP/Cu | 1.144 | 22.2 | 79.3 | 19.2 | >97%, 11 h, ~40 °C c,f | [55] |
| 2PACz | ITO/2PACz/C4/Cs0.05(MA0.17FA0.83)0.95Pb(I0.83Br0.17)3/C60/BCP/Cu | 1.188 | 21.9 | 80.2 | 20.9 | ~97%, 11 h, ~40 °C c,f | |
| Me-4PACz | ITO/Me-4PACz/Cs0.05(FA0.77MA0.23)0.95Pb(I0.77Br0.23)3/C60/SnO2/Ag | 1.15 | 20.3 | 84 | 20.0 | 95.5%, 300 h, RT c,d,g | [56] |
| Br-2EPT | ITO/Br–2EPT/Cs0.05(FA0.92MA0.08)0.95Pb(I0.92Br0.08)3/C60/BCP/Cu | 1.09 | 25.11 | 82.0 | 22.44 | 107.4%, 100 h, RT c,e,g | [57] |
| BCBBr-C4PA | ITO/BCBBr-C4PA/FA0.8Cs0.2Pb(I0.6Br0.4)3/C60/ALD-SnO2/Cu | 1.286 | 17.54 | 82.61 | 18.63 | >90%, 250 h c,f | [58] |
| CbzPh | ITO/CbzPh/Cs0.05MA0.15FA0.80PbI3/C60/BCP/Ag | 1.17 | 23.43 | 73.06 | 19.2 | 91%, 120 h c,f | [59] |
| CbzNaph | ITO/CbzNaph/Cs0.05MA0.15FA0.80PbI3/C60/BCP/Ag | 1.17 | 24.69 | 83.39 | 24.1 | 97%, 120 h c,f | |
| 4PACz | ITO/4PACz/Cs0.05MA0.15FA0.80PbI3/C60/BCP/Ag | 1.07 | 23.20 | 58.43 | 14.5 | 88%, 120 h c,f | |
| TPT-P6 | ITO/TPT-P6/Cs0.05MA0.12FA0.83Pb(I0.85Br0.15)3/C60/BCP/Ag | 1.125 | 23.20 | 80.38 | 20.77 | >90%, 200 h c,d,g | [60] |
| MPA-CPA | ITO/MPA-CPA/Cs0.05(FA0.95MA0.05)0.95Pb(I0.95Br0.05)3/C60/BCP/Ag | 1.20 | 24.8 | 84.5 | 25.16 | >90%, 2000 h, ~45 °C c,d,g | [61] |
| 3PATAT-C3 | ITO/3PATAT-C3/Cs0.05FA0.80MA0.15PbI2.75Br0.25/EDAI2/C60/BCP/Ag | 1.13 | 24.5 | 83 | 23.0 | ~100%, 2000 h, RT b,f | [62] |
| 2PATAT-C3 | ITO/2PATAT-C3/Cs0.05FA0.80MA0.15PbI2.75Br0.25/EDAI2/C60/BCP/Ag | 1.14 | 23.3 | 83 | 22.2 | - | |
| 1PATAT-C3 | ITO/1PATAT-C3/Cs0.05FA0.80MA0.15PbI2.75Br0.25/EDAI2/C60/BCP/Ag | 1.06 | 24.0 | 82 | 21.1 | - | |
| 3PATAT-C4 | ITO/3PATAT-C4/Cs0.05FA0.80MA0.15PbI2.75Br0.25/EDAI2/C60/BCP/Ag | 1.14 | 23.3 | 83 | 22.1 | - |

| HTM | Device Structure | VOC [V] |
JSC [mA/cm−2] |
FF [%] |
PCE [%] |
Device Stability a |
Refs. |
|---|---|---|---|---|---|---|---|
| MC-43 | ITO/MC-43/Cs0.05(MA0.17FA0.83)0.95Pb(I0.83Br0.17)3/PCBM/Ag | 1.07 | 20.3 | 80.0 | 17.3 | 90%, 20 d b | [67] |
| EA-41 | ITO/EA-41/MAPbI3/PCBM/Ca/Ag | 1.019 | 17.33 | 69.86 | 11.89 | - | [65] |
| EA-46 | ITO/EA-46/MAPbI3/PCBM/Ca/Ag | 1.006 | 15.70 | 62.18 | 10.24 | - | |
| EA-49 | ITO/EA-49/MAPbI3/PCBM/Ca/Ag | 1.024 | 17.95 | 68.15 | 12.03 | - | |
| EA-50 | ITO/EA-50/MAPbI3/PCBM/Ca/Ag | 1.035 | 16.91 | 56.30 | 9.09 | - | |
| EA-56 | ITO/EA-56/MAPbI3/PCBM/Ca/Ag | 1.023 | 15.70 | 56.56 | 8.71 | - | |
| TPA-PT-C6 | ITO/co-assembled TPA-PT-C-6/MAPbI3/PCBM/BCP/Ag | 1.04 | 21.8 | 77.4 | 17.19 | 89%, 120 d c,e,g | [68] |
| EADR03 | ITO/EADR03/Cs0.05FA0.79MA0.16Pb(I0.84Br0.16)3 /LiF/C60/BCP/NaF/Cu | 1.156 | 22.9 | 80.0 | 21.2 | ~95%, 250 h, RT c,f | [69] |
| EADR04 | TO/EADR04/Cs0.05FA0.79MA0.16Pb(I0.84Br0.16)3/ LiF/C60/BCP/NaF/Cu | 1.164 | 22.6 | 80.0 | 21.0 | ~91%, 250 h, RT c,f | |
| RC-24 | ITO/RC-24/CsFAMA/C60/BCP/Cu | 1.12 | 22.3 | 79 | 19.8 | ~97%, 120 s | [70] |
| RC-25 | ITO/RC-25/CsFAMA/C60/BCP/Cu | 1.12 | 22.1 | 79 | 19.6 | ~96%, 120 s | |
| RC-.34 | ITO/RC-34/CsFAMA/C60/BCP/Cu | 1.11 | 22.5 | 79 | 19.7 | ~95%, 120 s | |
| TPT-C6 | ITO/TPT-C6/Cs0.05MA0.12FA0.83Pb(I0.85Br0.15)3/ C60/BCP/Ag | 1.042 | 23.14 | 74.16 | 18.87 | [60] | |
| AC-1 | ITO/AC-1/CsFAMAPb/PCBM/BCP/Ag | 1.084 | 18.83 | 80.49 | 16.43 | 85%, 30 d, RT b,d,g |
[71] |
| AC-3 | ITO/AC-3/CsFAMAPb/PCBM/BCP/Ag | 1.108 | 24.27 | 82.56 | 22.20 | 90%, 30 d, RT b,d,g |
|
| AC-5 | ITO/AC-5/CsFAMAPb/PCBM/BCP/Ag | 1.130 | 24.42 | 84.05 | 23.19 | 91%, 30 d, RT b,d,g |
|
| Spiro-Acid | ITO/Spiro-Acid/Cs0.05(FA0.85MA0.15)0.95Pb(I0.85Br0.15)3 | 0.990 | 22.20 | 82.6 | 18.15 | ≈100%,100 h c,f | [72] |
| HTM | Device Structure | VOC [V] |
JSC [mA/cm−2] |
FF [%] |
PCE [%] |
Device Stability a |
Refs. |
|---|---|---|---|---|---|---|---|
| MPA-BT-CA | ITO/MPA-BT-CA/(FA0.17MA0.94PbI3.11)0.95(PbCl2)0.05/C60/BCP/Ag | 1.13 | 22.25 | 84.8 | 21.24 | 98%, 14 d, RT e,g | [74] |
| MPA-BT-CA | ITO/MPA-BT-CA/(FA0.17MA0.94PbI3.11)0.95(PbCl2)0.05 /C60/BCP/Cu | 1.10 | 22.73 | 82.3 | 20.70 | 67%, 120 h, RT d,g | [75] |
| FMPA-BT-CA | ITO/FMPA-BT-CA/(FA0.17MA0.94PbI3.11)0.95(PbCl2)0.05/C60/BCP/Cu | 1.15 | 23.33 | 83.3 | 22.37 | ≈80%, 120 h, RT d,g | |
| 2FMPA-BT-CA | ITO/2FMPA-BT-CA/(FA0.17MA0.94PbI3.11)0.95(PbCl2)0.05/C60/BCP/Cu | 1.14 | 22.81 | 83.1 | 21.68 | >74%, 120 h, RT d,g | |
| Cz-CA | ITO/Cz-CA/Cs0.05(FA0.92MA0.08)0.95Pb(I0.92Br0.08)3/PCBM/C60/Ag | ~1.06 | ~23.2 | ~83.0 | ~20.0 | - | [76] |
| Cz-Ph-CA | ITO/MPA-Ph-CA/Cs0.05(FA0.92MA0.08)0.95Pb(I0.92Br0.08)3/PCBM/C60/Ag | ~1.11 | ~23.0 | ~83.0 | ~20.2 | - | |
| TPA-CA | ITO/TPA-CA/Cs0.05(FA0.92MA0.08)0.95Pb(I0.92Br0.08)3/PCBM/C60/Ag | ~1.06 | ~22.4 | ~81.0 | ~17.5 | - | |
| TPA-Ph-CA | ITO/TPA-Ph-CA/Cs0.05(FA0.92MA0.08)0.95Pb(I0.92Br0.08)3/PCBM/C60/Ag | ~1.12 | ~23.0 | ~82.5 | ~20.0 | -- | |
| MPA-CA | ITO/MPA-CA/Cs0.05(FA0.92MA0.08)0.95Pb(I0.92Br0.08)3 /PCBM/C60/Ag | ~1.10 | ~23.5 | ~81.0 | ~20.5 | - | |
| MPA-Ph-CA | ITO/MPA-Ph-CA/Cs0.05(FA0.92MA0.08)0.95Pb(I0.92Br0.08)3/PCBM/C60/Ag | 1.139 | 23.55 | 84.02 | 22.53 | 95%, 800 h, 45 °C c,f | |
| PQxD | ITO/PQxD/FASnI3/C60/BCP/Ag | 0.542 | 19.28 | 68.1 | 7.1 | ≈90%,1600 h b,f | [77] |
| TQxD | ITO/TQxD/FASnI3/C60/BCP/Ag | 0.574 | 21.05 | 68.8 | 8.3 | ≈90%,1600 h b,f |

| HTM | Device Structure | VOC [V] |
JSC [mA/cm−2] |
FF [%] |
PCE [%] |
Device Stability a |
Refs. |
|---|---|---|---|---|---|---|---|
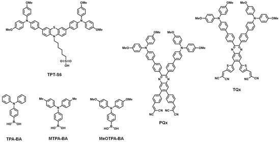
| TPT-S6 | ITO/TPT-S6/Cs0.05MA0.12FA0.83Pb(I0.85Br0.15)3/C60/BCP/Ag | 0.943 | 21.15 | 73.33 | 16.16 | 50.5~%, 80 d d,g | [60] |
| PQx | ITO/PQx/FASnI3/C60/BCP/Ag | 0.455 | 19.97 | 66.6 | 6.1 | ≈60%, 1600 h b,f | [77] |
| TQx | ITO/TQx/FASnI3/C60/BCP/Ag | 0.546 | 21.30 | 69.0 | 8.0 | ≈90%, 1600 h b,f | |
| MTPA-BA | ITO/MTPA-BA/Cs0.05(FA0.95MA0.05)0.95Pb(I0.95Br0.05)3/PCBM/C60/BCP/Ag | 1.14 | 23.24 | 85.2 | 22.62 | 90%, 20 h 40 °C c,e,g | [78] |
