| Version | Summary | Created by | Modification | Content Size | Created at | Operation |
|---|---|---|---|---|---|---|
| 1 | Orchidea Maria Lecian | -- | 5066 | 2025-12-29 06:51:16 | | | |
| 2 | Catherine Yang | Meta information modification | 5066 | 2025-12-29 07:00:14 | | |
The shape of General-Relativistic viscous accretion objects in Kerr blackhole spacetimes are demonstrated to be induced after the electro-magnetic potential. The analysis is relevant for cylindrical plasma accretion objects and for gaseousmaterial cylindrical accretion objects. Entropy variation at the horizon from the gravitational torque in the Kerr spacetimes surrounded of plasma in the ZAMO (zero-angular momentum of the observer) reference frame is calculated in the general case; it is reconducted to the variation of the heat transfer in the isoentropic instance. The speed of sound is calculated after the entropy- the supercritical solution follows from the new analysis of the flow beyond the Alfv´en point.
Non-Relativistic steady-state shockwave trapping is newly studied from [1]: the study of the density surfaces allows one to apply the hydromagnetic Lentovich-Kadomtsev theory in order to newly prove that the shape of the accretion objects is determined after the electro-magnetic potential, the gravitational potential and the density surfaces which are dictated after the thermodynamical properties of the medium- the procedure and the results do not match those proposed in [2].
The transonic behaviour is newly related to the newly-defined properties. The entropy variation originating after the imposition of the gravitational torque on the horizon of a blackhole spacetime surrounded of medium is calculated after the interrogation of [3]; in the case of a Kerr blackhole spacetime surrounded of media and endowed with winds the entropy variation is newly taken into account after the questions raised from [4] and from [5] after the analysis of [6].
The transonic behaviours as depending on the thermodynamical properties of the accretion object are newly written. The flow beyond he Alfv´en point is here newly investigated. The further inquiry is here newly solved, which was posed in [4], to calculate a new critical point, which is here newly analytically calculated after the configuration corresponding to the toroidal field at infinity, which here newly follows from the newly-found definition of the poloidal 4-velocity in the requested reference frame- the preferred
plasma reference frame (i.e. one from [7]).
From [8], the trapped oscillations in the accretion discs of Dwarf-Novae are calculated. The assumptions are taken, that inviscid adiabatic behaviour is followed, and that the fundamental modes of oscillations are in the vertical direction. The flows are considered as horizontal.
The following characterization of the radial velocity is chosen
![]()
with the specifications

In the adiabatic process, the coefficient
is calculated as

and the speed of sound b is calculated as
![]()
i.e. it depends on the initial conditions o on which the adiabatic-perturbation formalism is imposed.
The consequences induced after temperature and after viscosity are examined in [9]. GLobal trapped oscillation in the Relativistic framework are studied in [10].
In [1], the resonances of oscillations of shock waves are written from the non-Relativistic equations for accretion discs onto compact objects.
From [1], the cooling effect is taken into account after a power law as ![]()
it is my aim to express the power law as a function of time as well- the results of [11] from the thermal equations will be applied from [12] and form [13]. The energy equation is written as
![]()
The momentum equation in the radial direction is spelled as
![]()
The continuity equation is calculated as
![]()
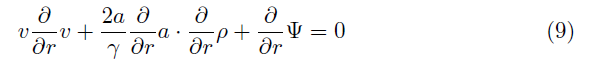
The contribution of o(p) in the r derivative of Eq. (5) will be taken into account, as well as the related quantities.
The steady state is now newly examined from

and the related simplification is written as

The gravitational potential is therefore newly calculated.
The steady-state equation relating the velocity with the density is now newly studied as

Eq. (10) is newly straightforward integrated as
![]()
being r0 the initial condition chosen as r0 = RS, and, therefore v0 ≡ v(r0) and ρ0 ≡ ρ(r0) the suitable integration constant. The choice of the initial condition on r0 is equivalent as imposing the gravitational torque.
Furthermore, the results are now newly matched with the continuity equation in the steady state, i.e. Eq. (7) calculated for the steady state. More in detail, it is here recalled that, for this specification, the accretion rate of the celestial object ˙M is for the moment considered as negligible during the time instant of formation of the shock wave.
As a first result, one notices that, after straightforward integration of Eq. (7) in the steady state
![]()
one finds that
![]()
The possibilities implied after Eq. (11) and after Eq. (13) are now newly scrutinized.
The case
![]()
implies that
![]()
The initial condition rhoo implies after the choice of R0 = RS defines a family of hypersurfaces, whose role has to be further investigated, on which the shock lives.
The further peculiar case v = const is also studied; more in detail, the implication of

is of fundamental importance. Indeed, given
![]()
one has that
![]()
from this result, one calculated that
![]()
where the density is defined uniquely as a function of the radial variable only; and one also has that

the new result Eq. (20) tells one that the radial range available for the shock wave is determined, i.e. the trapping region is determined according to the initial condition ro. In particular, it can be evaluated also as starting from RS.
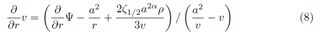
The radial momentum equation Eq. (6) is now studied in the steady state-the results are of direct application for the calculation of the speed of sound in both the linearized regime and n the non-linearized one, and for the determination of the gravitational potential of the disc.
After neglecting do(p)/dr, one discover that
![]()
which specifies the effective potential ψ and where the initial conditions are induced.
The speed of sound is now calculated as
![]()
in the non-linearized regime.
The equations for the gravitational potential follow from

From [14], unstable standing shock waves are studied. Within this context, the specific entropy s conservation is requested as

The angular momentum is defined as
the angular-momentum conservation is written as

The General-Relativistic specific angular momentum l of a steady flow is defined as
![]()
The shockwave is described as located at ![]()
The wind equation is further considered as
![]()
where, for spherically-symmetric non-rotating spacetimes, the expression of G is
![]()
It is possible to consider ![]()
as negligible in order to obtain the condition on the 4-velocity as
![]()
The advantage(s) of considering uphi as negligible also in the non adiabatic description is that it is possible to impose
![]()
also in the non-adiabatic description as well-posed.
Afterwords, it is possible to study the adiabatic expression of the speed of sound in the conserved-specific-entropy description (a specification of the isoentropic condition) as

So far, the perturbations can be studied under the hypotheses:
(i) perturbations which are initially superposed (in the pre-shock region) move to the post-shock region within a finite time; and
(ii) the angular momentum distribution is not changed within the shock process
![]()
It is here calculated that, in the non-isoentropic processes, the specific entropy variation undergoes the new result
![]()
The result is therefore newly applied to adiabatic perturbations of the velocities

It is here newly appreciated that it is therefore possible to obtain a vanishing General-Relativistic angular momentum l from Eq. (26) or a negligible (nextorder) one with the vanishing
as well-posed with Eq. (34a).
More in particular, the instance in which ![]()
be negligible will be studied.
The case in which
is not negligible was studied in [12] and in [13].
After [15], the shock solution(s) can be newly provided after complete General-Relativistic description of the accretion object onto a non-rotating blackhole. In particular, the calculation is done for

where the negligible ![]()
is well-posed. The properties of the General-Relativistic angular momentum l are therefore new to be investigated. The ’jump condition’ from [14] can now be analyzed. They are reported for a jump as
![]()
i.e. a description in which the shock front deviates form the equilibrium is described, which phenomenon implies that the model of the ’steady state’ is now newly modified, i.e. the trapping region Eq. (20) will be different, as well as the family of hypersurfaces on which the shock can take place Eq. (19).
The ingredients are now prepared for the equation of the linearized jump condition: it is expressed as
![]()
in E.q (37), the pedex + refers to the post-shock-condition,while the pedex − refers to the pre-shock condition.
It is here newly considered that the addend ![]()
from Eq.(37) is vanishing as
![]()
for the definition of the adiabatic condition ut ≡ 0. Moreover, the change in the ut in the post-shock condition is due to the deviation of the shock front from the equilibrium configuration obtained int he steady-state description. The change in ut notwithstanding is here newly discovered to not change the isoentropic condition regardless to he specific-entropy requirements of [14].
It is now worth remarking that the resulting change in ut from a vanishing value in the pre-shock time to a non-vanishing value in the post-shock time is compatible with the expression that the shock modifies the flow, i.e. also in the case of a stationary pre-shock flow, the post-shock flow can become nonstationary.
More in detail, the condition of vanishing post-shock ut implies a vanishing value of ur.
Differently, one has that, for Ur the radial velocity not modified within the shock process, the post shock value of Ut, denoted as Ut+ , is here newly found as

i.e. the new velocity Ut+ depends on the time variation of ¯R in a very non-trivial manner.
These results do not coincide nor anticipate those found in [15].
The results can be confronted to the most general paradigm implemented in [16]. Indeed, ibidem, the paradigm is developed in a way in which the specification is difficult about whether the angular velocity ![]()
is vanishing or constant; the investigation was conducted in [12] and in [13], in which the vanishing of the angular velocity
is discussed according to the vanishing of its derivatives with respect to the angular variables or with respect to the z direction: as an explanation, the different instabilities were understood as originating from the different mathematical aspects, and could be resolved.
From [17], the method of particle hydrodynamics is here not followed, because the Einstein plasma solutions does not admit the ’small-particle limit’ in the description of accretion processes, because such a limit implies a vanishing differential enthalpy in the isoentropic process; it is here remarked, nevertheless, that the description is apt for the non-Relativistic studies.
It is briefly noticed that the consideration of [18], according to which the model dependence of the shockwaves description is one which relies on the change of polytropic constant, can be in the present analyses fully utilised, i.e. in order for the results to be applied to the different accretion objects (of different shapes).
In [15], inviscid axisymmetric flow on the equatorial plane is considered. The continuity equation is written as
![]()
with the dimensionless quantity X defined as
![]()
being rg the gravitational radius of the blackhole object bh written as
![]()
A velocity u is denoted for
![]()
The stationary shock is defined for nu ≡ 0 being n the baryonic number. The shock condition is most generally described as

from which it newly follows directly that the stationary shocks in Schwarzschild spacetimes happen only on the Schwarzschild radius rS independently of the speed of sound, of the enthalpy and of the pressure.
Furthermore, for the same phenomenon, the stationary shock is independent of ![]()
i.e. it is independent of the angular-momentum quantities and of the angular velocities.
A velocity v is defined as
![]()
The ratio B is named after the definition
![]()
with W the enthalpy, and w the enthalpy per unit proper volume, n the particle number density, and p the gas pressure (in the frame where the reference fluid is at rest). The isothermal behaviour is studied after the limitation
![]()
The ratio B is studied as constant when the temperature is (kept) constant; the process is studied within a limited time scale in which the rate m˙ bh is considered as dotmbh ∼ 0.
This way, the jump condition is modified after the General-Relativistic forces when the speed of sound approaches the speed of light in a comparable manner; only one shock is demonstrated to be stable.
The analysis applies to the data from Cygnus X-1.
The model studied in [2] is here implemented, from which forces the new properties are learnt.
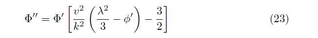
The polytropic description is considered ![]()
For axisymmetric accretion objects in the case of adiabatic perturbations of the pressure, the corresponding perturbations of the density is implied as from [19], which is developped after [16] and after [20]. From [21], the speed of sound b is worked out as a function of the gravitational potential ψ of the gravitating accretion object b(ψ) as

where the apex ′ indicates (ordinary) derivative with respect to the radial variable. The ’vertical thickness of the flow’ h(r) is expressed from [2] as
![]()
from which the function F(r) is defined from Eq. (48) and from Eq. (49). The radial momentum balance is taken from the rr component of the EFE’s (as from [22]) as from the Trr component as
![]()
and the mass conservation equation is written as
![]()
In the adiabatic case, Eq. (51) is specified as
![]()
where the constant C1 is negative in the case of infall.The sonic points are those points after which the total r derivative of Eq. (50) and Eq. (51) vanish with q = 2n + 1: differently from [2], the derivative db/dr is not eliminated as
![]()
where Ur is the adiabatic radial component of the velocity as ur ≡ 0 + δur ≡ 0 + Ur, where the adiabatic perturbations are defined.
In the adiabatic case, the component ut can be taken as vanishing: in the adiabatic description, the tide forces are absent.
From this new paradigm, one sees that the assumption of vertical equilibrium fixes the shape of the flow and therefore that of the accretion object. From the properties of the accretion object, it is newly learnt that the speed of sound in an axisymmetric adiabatic accretion cylinder depends on the gravitational potential ψ and on its r ordinary derivatives; differently, the location of the shock point(s) depends also on the gravitational potential of the celestial body
![]()
The thermodynamical properties follow the derivation of the isoentropic cylinder.
Eq. (52) is reconducted to the stationary case with u˙r ≡ 0. In the adiabatic stationary case, the radial momentum equation is given as

and the mass conservation is calculated as
![]()
In [23], the formation of isothermal shock during accretion is studied in the non-equatorial regions for Kerr blackhole spacetimes.
The relativistic enthalpy y is defined as
![]()
and is further characterized as
![]()
The total energy ε is discussed as
![]()
and the axial angular momentum L is
![]()
and is conserved along the path of the fluid which does not comprehend the shock.
The global shock induces a flow of the fluid of velocity Vr defined as

In this notation, the definition of the Mach number M agrees with
![]()
According to the speed of sound, the Relativistic enthalpy y is
![]()
The total pressure p in Eq. (56) obeys the polytropic equation as
![]()
The local temperature T of the flow is specified as
![]()
according to the local density of the flow

The normalized quantities are introduced for the study as the normalized temperature ˆ T as

and the mass density

Stationary isothermal shocks are studied for accretion flows around Kerr blackholes.
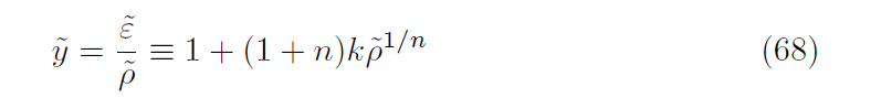
It is her newly observed that stationary shocks in Kerr spacetimes are defined for matter with vanishing pressure, i.e. dust, rarefied perfect fluid and gaseous materials with adiabatic perturbations of the pressure. The enthalpy is newly reconducted to the new expression ˜y as

The speed of sound in this new case ˜cs is newly calculated as

The local density of the flow is therefore newly found to be constant.
The radial competent of the velocity ur is newly calculated from

Therefore, u0 is dictated after ˙M (after the condition on the 4-velocity).
The stationary isothermal shocks of accretion flows in Kerr spacetimes are thus isoentropic processes; the vanishing differential enthalpy allows only for the inviscid flow without vorticity. The presence of tide forces (i.e. also with a phase shift) acting on the flow is then newly predicted. Application to the investigation of winds and jets form radio AGN id proposed in [24]. Implications for the study of magnetospheres of accreting AGN’s are presented in [25].
From [26], a slowly-rotating magnetosphere is considered for a stationary, axisymmetric black hole spacetime for which the vacuum Maxwell equations are solved on the Schwarzschild background. The discussion of [27] is developped in order to obtain closed field lines which stay regular at the event horizon.
The angular momentum transfer is motivated in [26] and the rerlated items of bibliography after the inward winds arising from and forming the disc. The accretion of the disc plasma is found to be a radial one.
The plasma accretion is characterized after the poloida inward velocity that is higher than the magnetosonic speed near the horizon; for these reasons, no items of information can be grasped as propagating outward across a critical surface to be defined after [28]. Indeed, the blackholes-driven winds which obey the description
![]()
(with ωF the angular velocity of the open field lines, and ωbh the angular velocity of the blackhole) were analyzed in [4], where the winds are apt to extract energy and to cause an immediate transport of magnetic free-energy.
The description of a force-free magnetosphere is due to [29], for which the Shafranov-Kruskal criterion can be decided about to be applied i.e. for a cylindrical magnetic field as commented in [30].
The repertoire of situations is now readily complied for the study of hydromagnetic instabilities of unstable standing waves perturbations after applying the methods from [30] to the results now originating from Eq. (19) here newly found after the review of [14].
The analysis is relevant for cylindrical plasma accretion objects and for gaseousmaterial cylindrical accretion objects.
The Lentovich-Shafranov stabilizing effect of a magnetic field was studied in [31] as far as the stabilizing properties of a longitudinal magnetic field for the flow [31][32][33].
The focus of the analysis is here based on the study of hydrodynamical instabilities, i.e. which imply displacements of a plasma in space (from the equilibrium configuration denoted after the pedex E).
The analysis is now ready to study the thermodynamical characterization of the instabilities.
The linearized equations of magnetohydrodynamics are considered, i.e. as from [30] for the equilibrium condition E to write the boundary conditions for the equilibrium boundary C0 between the plasma and the vacuum, i.e. to shape the cylinder.
Furthermore,
![]()
with the total pressure pT as
![]()
requested to be continuous across the surface C0.
The total pressure being solved after Eq. (72), the speed of sound can be written.
The total energy E is written as the sum of the Kinetic energy E, the potential energy W(ρE, pE; γ;Aμ) and the gravitational potential energy Egrav. The kinetic energy is spelled as a function of the density according to the properties of the Eulerian displacements

Boundary conditions: The hypersurface C0 is here defined as a surface of constant pressure and it defines the so-called ’equilibrium boundary condition’- the normal component of the magnetic field being vanishing on C0 as
![]()
The normal component of the magnetic field must vanish at C0.
The total pressure Eq. (72) is continuous across C0.
The magnetic field ~BE int at equilibrium in the interior of the shape and the magnetic field at equilibrium in the exterior of the shape ~BE ext define the equilibrium density ρE and the pressure as
![]()
The acceleration from ∇ξ obeys the condition

such that it depends on the displacement ξ and on the derivative, where
![]()
where the normal N of C0 is defined.
The conductivity boundary condition is derived after the hypothesis of infinite conductivity of the plasma. A (preferred) coordinate system is fixed in the
plasma, according to which the lines of force are ’blocked’.
The continuity of the tangential component of the external electric ~E tang field is requested as
![]()
At the unperturbed boundary
![]()
because the quantities are first-order in ξ.
Transonic behaviour: The total pressure pT is calculated in Eq. (72).
In the case of non-gravitating accretion object, the speed of sound is calculated after the pressure P in Eq. (75)- the total energy being the sum of the kinetic energy plus the potential energy W.
In the case of gravitating accretion objects, the following specifications are applied.
The complete transonic behaviour is described after the speed of sound from the gradient of the dynamical flow velocity du/dr, i.e. as from [21], as

with the gravitational energy Egrav as
![]()
with ![]()
In the example of the Schwarzschild spacetime in cylindrical coordinates,

where the derivative dP/dr is calculated as in the following.
So far, the pinch with no longitudinal field can be considered: a plasma cylinder whose confinement is due to ’flowing within the plasma itself’. The analysis of the stability in the interior region of the cylinder can be performed. In the absence of a longitudinal magnetic field, the equilibrium equation holds
![]()
Perturbations independent of the azimuthal angle Perturbations independent of the azimuthal angle φ can be added to the equilibrium configuration.
The stability condition is
![]()
with
![]()
The stability condition Eq. (84) is solved as
![]()
where the integration constant r0 and p0 have been introduce, which correspond to the initial conditions were introduced; in particular, the initial conditions can be made to correspond to the shock formation process. As a result, not all the initial conditions admit stability with respect to the equilibrium configuration.
Convective instability The convective instability, also named the Rayleigh- Taylor instability, is the limiting situation in which the fluid is inhomogeneous (due to the presence of viscosity and/or vorticity) or not-uniformly heated in a gravitational field.
Plasma-field boundary instability A plasma-field boundary instability is the limiting situation of convective plasma instability in which perturbations along the force lines are named convective perturbations. The potential available for the localized perturbations Eq. (84) is determined only for the points in the vicinity of the initial point R0. Convective instability can take place.
Eq. (84) implies that the pressure of the plasma ought not to decrease too quickly with respect to the augmentation of r.
After the use of Eq. (83), Eq. (84) is rewritten as
![]()
Eq. (87) is solved as
![]()
after the consideration of the initial configuration of the shock formation process; from Eq. (87) therefore selects the possible value(s) of the pressure at which the plasma i at equilibrium.
Azimuthal perturbations The azimuthal perturbations are written for the displacements of the equilibrium position ξ as

At m = 0, the instability is located at the peripherical zone.
At
the potential energy of the system is modified; as one of the modifications, the extra addend
![]()
is acquired. Accordingly, different specifications must be taken into account.
At m = 1, the limiting pressure distribution is unstable.
At m < 1, the new theory must be studied.
The new equilibrium condition is written
![]()
Eq. (90) is solved as
![]()
after the consideration of the initial conditions of the shock formation process.
Convective instabilities Convective instabilities occur in low-pressure plasma.
At β << 1, the perturbations begin to become negligible and the plasma can expand.
Eq. (84) is rewritten as
![]()
is solved as
![]()
The characterization holds, of a non-homogenous fluid in a gravitational field; more in detail, the plasma can be in equilibrium only when the pressure is constant along an equipotential hypersurface p ≡ p(U). The stability of this plasma state has to be studied. Indeed, (from the definition of convective displacement), the displacement does not modify the magnetic field.
As a consequence,t he relative change of volume δV is written as
![]()
The differential adiabatic change of pressure after adiabatic expansion is written as
![]()
The stability condition (names also ’magnetic trap’) is

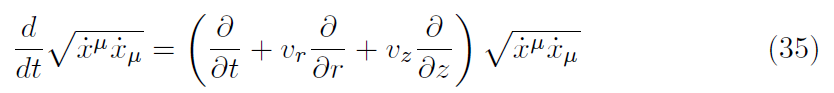
The conditions Eq. (96) can be written also as a function the velocity u; the potential energy of a cylinder containing plasma has the potential energy Wcyl which is
![]()
where dl is the line element, i.e. dl2 ≡ gμdxμdx, frm which x˙μ is calculated.
The stable states are qualified after the pressure augmenting with U not in a too-quick manner; the situation is that of a compressible gas in a gravitational
field.
It is here reminded that a compressible gas is one obtained, in the presented formalism as limn → ∞ in the polytropic equation.
From [6], the properties of protoplanetary discs with magnetically-driven winds and viscous heating are studied: after the time evolution of the surface(s) of the protoplanetary discs, the loss of mass and that of angular momentum of the disc winds are calculated. The Relativistic star is considered as surrounded of gas forming the protoplanetary disc(s). The viscous heating is one induced after magnetohydrodynamical inst instability [34]. Furthermore, the Poynting flux of the magnetohydrodynamical turbulence induces vertical outflows. The wind of the discs are calculated to reduce the angular momentum [35].
The explanation is provided with, about the fact that the low turbulence does not manage to afford a modification of the accretion rate of the Relativistic star ˙M∗, i.e. such that the protoplanetary disc(s) formation occurs: these zones are the zones of magneto-rotational-instability inactivity [36][37]. The accretion rate ˙M∗ is therefore due to the extraction of angular momentum by the wind of the disc [38][39][40][41].
The
stress is the main responsible of the magnetized mass accretion [42][43].
From [6], each anulus of the protoplanetary disc is at a radial distance r from the
Relativistic star, and it rotates with am angular velocity ![]()
from the Keplerian value as ![]()
the vertical scale-height is defined ibidem as
![]()
being μ the ’mean molecular weight, where the speed of sound of the gaseous material bs is considered for the thermodynamical purposes.
The surface density
is shaped after the magnetic fields; the time evolution of the density which is is described after the Shakura-Sunyaev parametrization [7]
for the magnetic fields as

such that

and the Reynolds stress
is outlined.
The heating after viscous accretions was studied in [44] and in [45].
The consequences of the disc torque(s) is to be studied.
From [4], the models of paired winds of magnetized plasma are studied fr a rotating blackhole bh.
One type of winds is the ingoing wind which causes ˙Mbh to change. In this case, ωf the angular velocity of the field lines is much smaller than the angular velocity of the blackhole
![]()
, i.e. ωf << Omegabh; the frequency of ωf is determined after the injection of plasma into the azimuthally-symmetric magnetic flux tubes.
The frequency from ωf is considered as constant in the particle-creation zone from [25].
The other type of winds is the outgoing winds, which are magnetically slung and centrifugally slung; they are ’magnetohydrodynamics perfect minimum torque solution’.
The minimum torques are calculated as balance equations of the momenta referred to the ingoing winds and to the outgoing winds, where, in the approximation of ’cool winds’ taken in [4], the entropy per unit magnetic flux originated from the ingoing winds equals that related from the outgoing winds.
The dissipation of energy at the horizon within this framework equals the flux of energy radiated at infinity.
The dissipation forces of the ’minimum torque solution’ are interrogated from [3]. It is now here newly calculated as follows. The entropy variation δs from
Eq. (33) is extended for the considered spacetimes as

Is is calculated from the ZAMO reference frame (i.e. in the reference frame in which the observer has vanishing angular momentum) [46] 4-velocity components

where the enthalpy y is taken from Eq. (62), the mass density ˆρ is recalled from Eq. (67), Km redsh is the specific redshifted mechanical angular momentum, υ is the specific redshifted mechanical energy of the plasma, and ![]()
is the lapse time. It is remarked that the sign of | ur | is chosen as negative in the case of infall, and as positive in the case of escape.
After [5], the infinitesimal heat transfers neglected in [4] can now be taken into account.
For the locally-isothermal processes interrogated about in [5], the entropy can be written
![]()
being T the non-varying temperature at which the heat exchange
![]()
takes place; the variation q is therefore determined after Eq. (101).
The gravitational potential
which corresponds to a speed of sound Cs is calculated after the temperature T from Eq. (98) in the Keplerian case from the vertical scale H of the shape of the Keplerian object as from [18].

It is here therefore newly proven that it is possible to extract energy from the ultra-strong regime of the magnetic field int he ultra-Relativistic limit of the Kerr blackhole spacetimes; the analysis here newly presented is usefully complemented after that of [42].
The simple toymodel of a Kerr blackhole spacetime surrounded of rarefied plasma with uniform magnetic field was investigated numerically in [47], from which the interrogation was raised about the occurrence of magnetohydordynamical Penrose process. The tentative answer provided with in [48], according to which it was supposed that it could be ’almost impossible’ to extract energy from the ultra-strong magnetic fields in Kerr blackhole spacetimes, is here newly provided with the counterexample.
Comparison is useful with [49][50][51].
The factor Khorizon is calculated as a function of the gravitational potential and of the poloidal magnetic field Bp as
![]()
and it consists of the order of magnitude of the solid angle in the Boyler-Lindquist coordinates delimited after the flux tube in the vicinity of the horizon.
Analogously, kf is defined as

The configuration of Bt ≃ const of the toroidal magnetic field is known as a supercritical solution of the outgoing wind of the Blandford-Znajek theory [24]-it also implies a fixed value of Bp.
Differently, here et rp be the poloidal 3-velocity; the limit at space infinity (asymptotically) is defined as
![]()
The new limit rp∞ fixes the asymptotic Mach number which is consistent with a supercritical solution.
The location of the Alfv´en point is calculated after the effective poloidal coordinate ![]()
in the flux tube.
The rt ≡ ut component of the poloidal 4-velocity is here newly found from Eq.
(67) in Eq. (102a).
The ’fast critical point condition at asymptotic infinity of the cold minimum torque’ is a critical point; it is here newly found after imposing
![]()
from Eq. (102a) In [4], the critical point is individuated from Bt∞, and the new interrogation is posed, which is here newly calculated as it corresponds to the configuration in which the ’mechanical angular momentum flux’ of the in the ingoing wind is greater than the mechanical angular momentum flux of the outgoing wind at infinity (asymptotically): it si calculated from rt when
![]()