| Version | Summary | Created by | Modification | Content Size | Created at | Operation |
|---|---|---|---|---|---|---|
| 1 | Orchidea Maria Lecian | -- | 2353 | 2026-01-19 03:04:26 |
Generalized-Fridman-Robertson-Walker spacetimes are newly analyzed. The locally-conformal flatness of generalized Fridman-Robertson-Walker spacetimes is discussed within the framework of the study of the constant-ness of the sectional curvature. The cases of vanishing mean curvature are taken into account. The methodology to apply the results and the new prospective studies to weighted manifolds is introduced. The total-umbilicity condition(s) are examined. The application of the strong energy condition is followed after the definition of maximal spacelike hypersurfaces, which are spelled out to constitute a solution of the Ricci flow which obeys the Einstein-Field Equations.
The product manifold is considered I ×M, with Lorentzian metric originated from the warping function k as
![]()
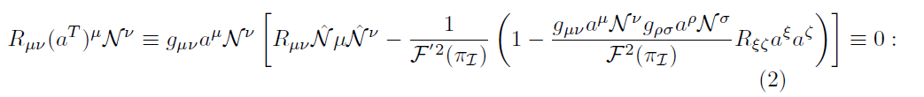
being pi the projections of the tensors on I and on M, and, from [1], eq. 10 from ibidem is newly stated as

therefore one can take
![]()
In vacuum, one has that Rtt ≡ 0 and thus the vector aμ is the velocity vector calculated from the configuration of the observer solidal with the photon; this way,
![]()
as
![]()
i.e. the tangentiality condition of aμ is implied straightforward; indeed, the position is a concurrent vector field in GR.
More in detail, the tangentiality condition is obtained for the velocity vector field, to which the (aT )μ’s are now made to coincide.
It is our aim to prove that the vanishing of the mean curvature is independent of the compact-ness of the spacetime.
Moreover, it is here understood that and
![]()
in manifolds (i.e., also, weighted manifolds) from General Relativity Theory.
One newly finds that πI is constant on hypersurfaces independently from the compact-ness as the position is a concurrent vector field.
Furthermore, the corresponding submersion which is Riemannian implies the umbilicity condition directly after the study of the pull-back (of the submersion) of the metric.
The results from ibidem are now stated for static FRW spacetimes.
The generalizations should be obtained for static deSitter and anti-deSitter 4-dimensional Einsteinian spacetimes; they can be obtained after applying Theorem T1 to the methodologies explicated in [2] and in [3] in the upgrades to the Einsteinian 4-manifolds, to which the description of weighted surfaces can be extended.
In the work of Latorre et al. [4], generalized-FRW spacetimes are considered as far as the spacelike hypersurfaces of constant mean curvature are concerned.
In the present paper, the vanishing-means curvature generalized FRW spacetimes in vacuum are considered, when the spacetime symmetries are applied from [5] in order for the Ricci flow to be realized in obeyance of the EFE’s for distributional-functional manifolds whose weights are attributed to respect the Rotational ansatz when the Bernstein-Choquet-Bruhat problem is spelled as the ∇μu gradients are specified as in the following.
The application of the Nishikawa Theorems are now discussed starting from upgrading the results from [6].
The sectional curvature of the curvature is newly proven in a straightforward manner to be positive.
Thus, the result that there exist and are unique the complete maximal hypersurfaces implies the unique-ness of the static FRW spacetime.
In the static FRW spacetime, the only complete maximal hypersurfaces are the totally-geodesics ones.
The time evolution of weighted manifolds of spherically-symmetric weight f is investigated after studying the rescalings of f(t) and those of f(t, r).
From proposition 3.3 from [1], the following Theorem is now proven
Theorem T1:
The fiber of the generalized static FRW spacetimes in vacuum is simply connected.
Proof P1:
As 
Furthermore
Theorem T2:
The hypersurfaces corresponding to those found from Theorem T1 are complete and spacelike.
Moreover the new following Theorem is established,
Theorem T3:
The spacelike hypersurfaces of the generalized static FFRW spacetimes are maximal.
Proof P3:
Every tangent vector is spacelike; the restriction of the ambient metric on the tangent plane is positive-definite: as the mean curvature H vanishes.
The solution of the Bernstein problem of vanishing mean curvature is confirmed after the specification of the Choquet-Bruhat construction [7] after the choice of the velocity vector fields. It is found that when the smooth function u is bounded from below in the vanishing-curvature Choquet-Bruat formulation of the Bernstein problem, then the u are constant; and that, if k(u) exists, it is unique [8][9][10].
The conditions of umbilicity are here studied after the definition of umbilicity worked out after the vector fields which are the tangent velocities vector fields vμ as
![]()
Theorem A from the work of Nishikawa [6] is now upgraded as Theorem T4:
In a generalized-FRW spacetime in vacuum, P a complete maximal spacelike hypersurface from N is geodesically complete (and with vanishing sectional cur-vature).
Form the work of Shichang [11], a connected Riemannian (n + 1)-dimensional manifold Rn+1(c) of constant sectional curvature c is considered; theorem 1.3 from ibidem is now upgraded as
Theorem T5:
Be Qn an n-dimensional complete hypersurface with
![]()
which is satisfied in vacuum ∀κ′ dimensional constants; here, I take
in order to reconduct the ’exceptional cases’ from [1] for the total umbilicity to be obtained; therefore,

and Q is not a torus; more in detail,
Theorem T6:
Qn is isometric to the geodesics spheres from the I×Qn Einsteinian generalized-FWR spacetimes.
Remark R1:
It is now remarked from Theorem T5 that these results do not hold in (1 + 1)- spacetime-dimensional models, in which the Killing vectors are trivial in the Einsteinian gravity Theory. The study of the new structures originated after the Killing vector fields is therefore newly enhanced.
The Ricci-flat manifolds, which are taken as vacuum solutions of the Einstein-Field Equations, are studied according to their holonomy groups a subgroup of SU(n).
The recent developments of the research about umbilicity conditions are inspired after the work of Abbas [12].
Umbilicity in Kenmotsu manifolds is analyzed in the work of Abass [12], which compares with the work of Al´ıas et al. [1] when the warping function k is taken as k ≡ Cet being C the dimensional constant; more in detail, the umbilicity of these manifolds is specified from [1] when the opportune component of the Lee form are made to vanish: the vanishing of these components can be demonstrated to happen identically. when the generalized FRW spacetimes are taken into account.
These definition apply therefore straightforward also to Cauchy-Riemann product manifolds M∞ ×M2, i.e. when M1 is taken as I.
The study of the weighted manifolds which obey the EFE’s is now performed after the application of the umbilicity conditions under the guidelines of the Schouten-Haantjes Theorem [13].
From the work of Latorre et al. [4], more in detail, the universal time axis is defined, and the future-oriented unit normal vector Wμ is analyzed to be at a generic angle θ with respect to it. It is my aim to prove in the following that
The spacelike hypersurfaces are proven to be maximal int he case of H = 0. Moreover, the spacelike slices are proven to be graph spacelike manifolds, which are complete manifolds and do not need to be originated as submanifolds from a ’bigger’ manifold; the accessory derivation about the ’bigger’ manifold ˜ T is now here recalled in order for the global properties to be recovered by hand.
The selection of the angle is taken to be less than 45o in order for the past-lightcones to be respected; the particular result of θ ≡ 0 issues thus a complete family of spacetimes rather than of slice-hypersurfaces claimed in [4].
Mor ein detail, from [4], the universe time axis is defined, and the future-oriented unit normal vector field Wμ is analyzed to be at an angle with respect to it.
Generalized-FRW spacetimes are recalled as Lorentzian manifolds, where the universal time direction individuated after I is taken as a base of the warped products; from this framework, further models, such as the the Einstein-deSitter and the Fridman cosmological models can be reconducted.
From [4], small deformations on the fiber of the FRWspacetimes are commented to originate ’new’ FRW spacetimes after conformal changes of the metric with a t-time-dependent conformal factor.
In comparison with some of the results from [4], it is here recalled that the conformal changes of the metric tensor are demonstrated to produce a change in the volume element, which on its turn, is proven to define the weighted manifolds; such weighted manifolds are then proven to be (reconducted to) locallyconformally-flat Ricci-flat manifolds from spacetimes which are from both the cases of Ricci-flat spacetimes and in those of non-Ricci-flat ones: the discrimination is studied after the proof of the existence and that of the uniqueness of the solutions of the EFE’s, which, on its turn, is therefore obtained i.e. after the proof that the Birkhoff Theorem should hold.
From [4], a spacelike hypersurface T is considered from the generalized-FRW spacetime ˜ T , in which the time orientation is chosen according to ∂t.
From Wμ the future-oriented unit normal vector field, and from the angle between it and the direction individuated after ∂t, the particular case of T being a spacelike slice taken at the definition t = const is requested, therefore a hypersurface ![]()
is selected. The latter property is here demonstrated to issue a complete family of spacelike hypersurfaces, being the ’exceptional cases’from [1] here newly ruled out.
The ’exceptional cases’ are compared with the presence of tachions, which is now discarded. The presented description is consistent with that of spacelike graph manifolds, at which every tangent vector is spacelike.
Compact spacelike hypersurfaces were researched about int he Literature, and, in particular, from section 2 from [4].no compact spacelike hypersurface from a generalized-FRW space is demonstrated to be allowed unless it is spatially open.
A compact spacelike hypersurface T is then taken from [4] from a generalized-FRW spacetime; the natural generalization of it about the compact-ness of T is investigated in [4]; from ibidem, the closed-ness of such hypersurface is claimed to be necessitating of investigation after the proof of the inextendability: within the here-presented framework, the closed-ness of T is porven straightforward to be implied after the here-presented proof of the geodesics complete-ness. As direct results, no hypotheses on the compact-ness of the hypersurfaces is necessitated.
As one result, one comments that the study of compact-ness of hypersurfaces is of use in cosmological scenarios.
As a second result, one now notes that also noncompact hypersurfaces from the FRW spacetimes are geodesically-complete.
The Bernstein-Choquet-Bruhat problem is now investigated from [7] with vanishing H as spelled out in the covariant form as
![]()
It is now my aim to demonstrate that the request in the above for vanishing H induces the definition of distributional weighted manifolds of solitons. Indeed, the presence of 1/k(u) produces the definition of distributional derivative k′(u), when the new request
![]()
which is taken in the general definition of pseudo-Riemannian geometries.
The statistical submersion is therefore necessitated.
It is furthermore noted that Eq. (11) is here reported in the most general form; indeed, the aim is pursued that the description should be specified in the cases of locally-conformal flatness: the relevant cases are therefore not only those of k ≡ k(t), but also those such as k ≡ k(t, r) and k ≡ k(r).
The application of the Nichikawa Theorems in the cases of strong energy condition can now be compared with the statistical interpretation of the Perelman functional W from the work of Perelman [14], section 3 from ibidem; moreover, from section 5 from ibidem, the Perelman functional is attributed a statistical interpretation from the position as W ∼ −S being S the entropy calculated from the statistical partition functional Z, after which the energy itself is calculated.
The here-presented paradigm provides with the new understanding of the role of entropy in General Relativity Theory. It is now recalled that the generalized-FRW spacetimes defined after the spacelike hypersurfaces are globally Ricci-non-flat. The weight function as sphericallysymmetric ones are therefore chosen for locally-conformal flatness to be preserved.
The case of spherically-symmetric weight functions is therefore related to the symmetries (i.e., as those envisaged from [5]) of the spacetime when the holonomy groups are analyzed to be allowed after the EFE’s which define the weighted Yamabe flow.
The spacelike graphs are here extended from the Minkowski case studied in [15] are therefore here applied as the (portions of) spacetime volume enclosed within the (tipping) lightcones defined after the choice of
The calculation is performed after the statical submersions are proven to correspond to immersions after the study of the action on the pull-back of the metric tensor.
More in detail, the case of statistical submersions which is now issued from among all the possibilities given as the Einsteinian spacetimes are studied.
The geodesics-preserving submersions in the case of Riemannian immersions is here demonstrated to be proven directly after the discussion of the Literature presented in the modern perspective outlined in [16]. In this manner, one now works out from [14] that closed manifolds can be issued with probability measure dm ≡ udVol with u ≡ (4πτ )−n/2e−f being f the weight which defines the partition functional Z from Z(n) when the integral formula is newly solved (where the functional dependence on the number of spacetime dimensions is dictated after the metrization, and is now factorized out).
The solution is implied after corollary p. 11 from ibidem about the Hamilton convergence, after which the (subsequences of) the rescalings (of the metric tensor according to the weight function when the locally-conformal flatness is requested to be preserved): the 3-space-dimensional gij(τ ) converging to a complete solution of the Ricci flow is upgraded int he cases of EFE’s geometries to the 4-spacetime-dimensional solution of the Ricci flow defined after the EFE’s: the corresponding definition of metrizable spaces, which can be metrized according to the deSitter paradigm, is utilize in cosmological setting, being the singularity theorems controlled now not only in the case of the Big-bang model.
Indeed, locally-flatness is ensured after the here-presented analysis of the spacelike graph manifolds. The symmetries analyzed in [5] of the spacelike manifolds are here therefore newly specified to define spacetimes which are solutions of the Ricci flows which obey the EFE’s- the realization of the conformal invariance is then ensured after the specifications of the initial-value-problems.
As a result, the generalized-FRW spacetimes are here described as descending from the metrization of smooth metric spaces.