Following to a short-circuit fault in distribution networks, the fault should be located and isolated before restoring the supply. A fast and accurate fault location method can help to improve the continuity of supply considerably. In general, the distribution-network fault location methods can be categorized into impedance-based methods, state estimation-based methods, traveling wave-based methods, and artificial intelligence-based (AI-based) methods.
AI-based methods can be trained in off-line procedures to make fast online estimations of the fault location or faulted section. These methods need a considerable amount of training data which can be based on historical records or be generated in a simulation process.
2. AI-Based Methods
The application process of AI-based methods is illustrated in
Figure 1. The first step of applications is to choose the input variables which comprehend the network condition. In the second step, the features of voltage or current are adopted by using transforms such as Wavelet, Stockwell, and Fast Fourier to generate informative features. Some features are based on high-frequency spectra of signals, and some are based on the fundamental frequency spectrum of the signal such as the root mean square (RMS) value of the fundamental signal. Finally, in the last step, the main algorithm analyzes the input features and gives an estimation of the fault location as the output. In the following, some of the main algorithms employed by the AI-based fault location methods are discussed in details and discussions about each of these steps are provided in their corresponding sections.
Figure 1. The process of AI-based fault location methods.
2.1. Artificial Neural Networks (ANNs)
ANN is the most used AI-based algorithm in the field of fault location due to its flexibility and high precision
[10][16][17][18][19][20][21][22][23][24][25][26][27][28][29][30][31][32][33][34][35][36][37]. ANNs are a class of supervised regression algorithms that can be used as a prediction tool. The training procedure of ANNs is based on a series of experienced samples of the system. In a fault location method, the training samples are formed of tuples including inputs (e.g., current or voltage features) and outputs (e.g., fault distance or fault reactance). The training data is often adopted from simulations because this data is extracted from the fault condition, and it is not possible to
apply several faults on real-world systems to generate data. However, there might be a record of previous fault signals; ANN needs a large amount of data in different network conditions and fault situations, and the recorded data are often insufficient.
An ANN is simply constructed of different layers. There are three types of layers in ANNs: the first as the input layer, the last as the output layer, and hidden layers in between. The input layer connects the input variables (features) to the neurons in the first hidden layer. The hidden layers construct a network connection from the input layer to the output layer and the output layer contains a number of neurons (equal to the number of outputs) connected to the last hidden layer.
Figure 2 shows a typical example of an ANN.
Figure 2. A typical ANN showing network layers connection.
In an ANN, each neuron acts based on its activation function as Equation (1):
where
𝑦,
𝑥, and
𝑤 are the output, input, and corresponding weights of the neuron.
The activation function is dependent on the type of the ANN and most papers proposed hyperbolic tangent. The number of hidden layers and the number of neurons in each hidden layer is modified based on the experience of the designer depending on the size and complexity of the problem. After determining the type of the network and the number of neurons, the weights should be determined within a training process
[38].
There are different methods to calculate the optimized weights; Levenberg–Marquardt, backpropagation, and evolutionary algorithms (GA, PSO, ACO, etc.) are examples of these methods.
In addition to the fully connected ANNs, there are other novel neural networks such as conventional neural networks (CNNs) and recurrent neural networks (RNNs). The key components of a CNN include convolutional layers, pooling layers, and fully connected layers (basic ANN). In the convolutional layers, the network applies a set of filters to the input sample, producing a set of feature maps that highlight different aspects of the sample. The pooling layers downsample the feature maps, reducing their dimensionality and creating a more compact representation of the image. Finally, the fully connected layers use the features extracted by the convolutional and pooling layers to make predictions or classifications
[27][39][40][41]. In fault location applications, first, a signal-to-image transform is performed to create images from recorded fault data appropriate for the convolutional process, and, then, the exact fault location is investigated by the fully connected ANN
[42][43].
RNNs are a type of neural network that are designed to work with sequential data. Unlike fully connected neural networks that process inputs in a single pass, RNNs process inputs in a sequential manner, while also maintaining a hidden state that captures information from previous inputs. The key feature of RNNs is their ability to capture and learn temporal dependencies in sequential data. This is achieved by using recurrent connections that allow the network to pass information from one time step to the next. The hidden state of the network at each time step is a function of the current input and the previous hidden state, allowing the network to maintain a memory of past inputs
[44][45][46].
2.2. Support Vector Machine (SVM)
SVM is a powerful tool for handling classification and regression problems
[16]. This method determines hyperplanes for separating different classes. For example, in a two-dimension two-class problem, the SVM method determines the line separating the classes, as shown in
Figure 3 [47][48].
Figure 3. SVM method applied to a simple two-dimension two-class problem.
For more complex systems, SVM adds an extra feature to the samples (maps the problem into a higher dimensional space) and proposes a hyperplane in the D-dimensional space
[49]. In fault location applications, SVM is used as a regression tool to estimate the output value (fault location here). While SVM is a tool for linear systems, however, it can be applied to nonlinear problems using the kernel trick
[24]. SVM maps inputs to outputs using the following equation:
where
𝑦 is the output,
𝑥 is the input,
is the weight vector and
is the basis function.
To solve the problem, a loss function
is defined as below.
where
𝜀 is a threshold for the loss function and
𝛽 is the target value of the training sample
𝑥. Minimizing Equation (4) is the main task of the SVM can be handled using different optimization methods.
where
𝑁 is the number of the training samples.
2.3. K-Nearest Neighbor
KNN is a simple supervised machine-learning algorithm for both objectives of regression and classification. In fault location applications, KNN is used for both classification and regression purposes, faulted line section and fault type detection are of the classification applications, and determination of fault location is of the regression applications
[50][51]. In this method, the test sample is assigned to the nearest classes depending on the value of K, e.g., if K equals to 1, the sample will be assigned to the first nearest neighbor and if the K equals to 3, the sample will be assigned to the class that is more repeated in the three closest neighbors.
Figure 4 shows an example to assign a sample (green square) into two classes; if k equals to 1 (dashed red circle) the sample assigns to class 2 (blue triangles) and if k equals to 3, (solid red circle) the sample assigns to class 1 (orange circles). In some applications, the sample is assigned using weights based on the distance of the sample to the class samples.
Figure 4. A typical example of the KNN classification method (the green square is the test data, and the red line shows the neighboring area).
The main disadvantage of KNN is its slow response in high-dimension problems. To overcome this issue, the research used KNN in conjunction with ANNs
[23][33]. In these methods, KNN processes the outputs of ANN to improve efficiency and the precision of ANN. Furthermore, this technique reduces the number of KNN input variables that are independent of the network structure and size.
2.4. Deep Reinforcement Learning
Deep learning is inspired by the evolution of mammals’ brains. In this method, an agent is trained based on its experiences where actions with rewards registered as good choices and actions with harm registered as unfavorable choices and the agent chooses its next action trying to maximize its reward. Favorable or unfavorable conditions are determined depending on the agent and the environment, e.g., for a mammal, finding food is a favorable situation, and falling from a cliff is unfavorable. In optimization or classification applications, favorability is determined by the operator. For example, for a can gatherer robot, finding new cans is a situation with pleasure, and losing battery is not encouraging.
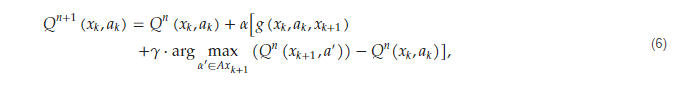
The fundamentals of deep learning are based on reinforcement Q-learning. Q-learning is an efficient optimization tool for solving multistage problems. In each stage of the problem, the next stage (state) is a function of the present stage and the chosen action is based on the following:
where
𝑥𝑘 is the present state,
𝑎𝑘 is the chosen action, and
𝑥𝑘+1 is the next state.
In this method, each state-action tuple
(𝑥𝑘,𝑎𝑘)has a related Q-value and the agent in each state chooses the action with maximum Q-value and reaches the next state. The Q-values are in relation to rewards or penalties the agent gained during its training process (experiences). Q-value for each state action is dependent on its immediate reward and those it might gain in the following next states based on the following equation:

where
𝑛 is the number of the training iteration,
is the immediate reward,
𝛼 is the training rate, and
𝛾 is the discount factor.
is dependent to the situation of the next state representing what the agent will experience.
Due to the curse of dimensionality, determining is not an easy job in high dimension or continuous problems and needs high calculation efforts. To cope with this problem, deep neural networks are hired as a regression tool to estimate for each state-action tuple. The training procedure of DNNs can be performed by using batch-constrained sets of data, including agent experiences, that simulate the behavior of the agent and responses of the environment.
In fault location applications, the agent should be able to classify the fault type and determine the fault location. Hence, the agent should be trained as a tool for regression and classification applications. The input variables can be voltage or current features and the output variables are fault type (e.g., the line to ground (LG), line to line (LL), line to line to ground (LLG), three phase (LLL)), and fault location (a continuous value).
In [52], the authors developed a deep neural network-based (DNN-based) method for fault location and identification in low-voltage grids that is topology independent and can also localize high-impedance faults. In [28], the authors presented a DRL algorithm for fault diagnosis applications that is goal-oriented and independent of a large amount of labelled data.