Meat and some meat products are highly perishable due to their high-water content, pH, and high content of nutrients. Therefore, spoilage control in these products is one of the critical challenges in the food industry. On the other hand, the increasing widespread awareness about the undesirable effects of synthetic preservatives has promoted the breakthrough of the use of natural compounds or bio-preservation technology. Bio-preservation implies the application of microorganisms or their metabolites to extend the shelf life of food products. In this regard, according to the ancient and safe use of fermentation by lactic acid bacteria (LAB), their application in the bio-preservation of meat and meat products is gaining more attention.
1. Introduction
Meat and meat products are rich sources of nutrients for humans due to their high content of vitamin B groups, protein, essential amino acids, and minerals. Also, they provide a favorable environment for the growth of several microorganisms due to their ideal pH, nutrient factors, and high water activity
[1]. The main bacteria involved in meat spoilage include the genera
Brochothrix,
Enterobacter,
Acinetobacter,
Moraxella,
Pseudomonas,
Leuconostoc, and
Proteus, meanwhile some of them (i.e., Enterobacter, Pseudomonas) secrete biogenic amines, which might cause food safety issues
[2]. Furthermore, meat and meat products may be contaminated by pathogenic microorganisms such as
Campylobacter jejuni,
Clostridium botulinum,
Escherichia coli,
Bacillus cereus,
Listeria monocytogenes,
Clostridium perfringens,
Salmonella spp.,
Yersinia enterocolitica, and
Staphylococcus aureus [3][4][3,4].
One of the main concern for the meat industry is the spoilage of fresh meat and meat products caused by microbial contamination
[5]. The meat industry applies different techniques to inhibit microbial growth and the production safe products with the suitable and desired shelf life
[6]. Accordingly, the most common applied techniques include physical (e.g., drying, freezing, heat treatment, packaging, and curing) and especially chemical (e.g., use of synthetic preservative compounds) methods
[7]. Nevertheless, chemical additives have many disadvantages such as the alteration of the nutritional and organoleptic properties of foods
[8][9][8,9]. Also, the carcinogenicity and toxicity of many chemicals such as nitrates have been proven. Nitrates are the most common chemicals used in the meat industry for the inhibition of microbial growth, retardation of lipid oxidation, development of better flavor, taste, and aroma, and preserve the color of the meat. In fermented sausages, their conversion into nitrites by microbial nitrate reductases can inhibit the growth of spoilage bacteria such as
Clostridium spp.
[10]. It has been reported that their excess consumption can have dangerous effects on consumer health due to the formation of carcinogenic nitrosamines
[11]. For example, nitrates can generate nitric oxide by nitrosation reactions, which can undergo a reaction with secondary amines and form N-nitrosamines
[12][13][12,13]. So, the increasingly negative perceptions of synthetic preservative chemicals, the greater attention of consumers towards food quality, and increasing demand for high nutritional and synthetic chemical-free products has promoted the food industry to replace traditional preservation methods with green techniques, such as active packaging, modified atmosphere packaging, high hydrostatic pressure, pulsed electric fields, and bio-preservation
[14][15][16][17][14,15,16,17]. In this field, bio-preservation is the most reliable and potent technique closely related to “from farm to fork” strategy. Bio-preservation is considered a method to extend the shelf life of food products using compounds derived from plants, animals, bacteria, or fungi
[18]. However, most researchers focus on bio-preservation by using beneficial microorganisms and/or their antimicrobial compounds
[19].
In this context, lactic acid bacteria (LAB) have attracted more attention than other bio-preservative microorganisms due to different reasons such as their encapsulation capability by extrusion during the production of the antimicrobial film
[20] and their GRAS status approved by the U.S. Food and Drug Administration (FDA) as a preservative in some food
[3][21][3,21]. On the other hand, increasing the demand for natural preservative methods in line with environmental protection led to an increase in researchers’ interest in finding efficient and sustainable preservative methods. In this regard, bio-preservation with LAB bacteria has no negative effects on consumers’ health and environment and have recently gained more attention as a useful and sustainable approach for the production of functional foods that lead to the sustainability of the consumers’ health
[22][23][22,23]. So, the use of LAB and/or their metabolites, either alone or in combination with a low amount of natural or synthetic preservatives and moderate physicochemical treatments, may be an efficient solution to extend the shelf life and enhanced food safety (e.g., dairy products, fermented meat, and meat products) without negative effects on their nutritional quality
[24]. Accordingly in the last two decades, intensive investigations have been focused on LAB and their antimicrobial metabolites to discover new LAB strains with food preservation potential to be used in sustainable preservative methods
[25].
2. Fermented Meat Products and Their Health-Beneficial Properties
In the past, different techniques were used and developed for the preservation of meat and meat products, starting with adding some ingredients, such as salt and sugar to reduce microorganisms without an exact understanding of their preservative mechanisms. But today, the use of microorganisms in terms of fermentation of meat and meat products is known as an effective preservation method
[5]. Microbial enzymatic activities during fermentation leads to various physicochemical and microbial changes based on the meat components (natural or added components)
[26]. Fermentation can occur by two pathways: (1) the use of natural microflora of meat or (2) the use of starter cultures such as lactic acid bacteria and micrococci. Lactic acid bacteria breakdown the carbohydrates and micrococci reduce nitrates and nitrites to nitric oxide that leads to production of volatile and nonvolatile compounds and flavor and odor changes of the product
[27]. Also, fermentation causes different health-beneficial properties in fermented meat products in comparison to non-fermented ones such as antioxidant, antimicrobial, anti-hypertensive, and antithrombotic
[28][29][28,29]. Furthermore, some nutritional components are produced during fermentation that have the potential to prevent diabetes, cancers, and allergic sensitization
[30]. More studies are needed to discover other health-beneficial potentials of these products and their exact mechanisms. Also, these products should be evaluated in terms of food safety.
3. A Brief Overview on LAB
LAB are part of the natural microbial flora of fermented meats and the intestinal microbiota of humans. These aerotolerant bacteria are mainly non-sporing, Gram-positive, Catalase-negative, and have either a spherical-shaped or rod-shaped cell (
Figure 1)
[31]. LAB are microaerophilic organisms and preferably require anaerobic conditions for growth. They play an important role in food fermentations; in fact, LAB can ferment carbohydrates to high amounts of lactic acid as the final product (homofermentative bacteria); in addition to lactic acid, heterofermentative bacteria produce acetic acid, carbon dioxide, and ethanol, as by-products
[32]. These organisms are acidophilus with the optimum acidic pH values of 5.5–6.2, but few can tolerate pH as low as 3.0
[33]. LAB are Generally Regarded As Safe (GRAS) according to the FDA and the European Food Safety Authority (EFSA) that have granted many LAB species Qualified Presumption of Safety status (QPS)
[25][34][35][25,34,35]. Lactic acid bacteria possess considerable bioactive properties such as cholesterol reduction and antimicrobial properties, which has led to an increased interest in their effective role as preservatives in innovative food preservation technology, much more than their application in traditional fermentation
[36][37][38][36,37,38]. The antibacterial activity of LAB strains has been proven in different studies
[39]. It has been reported that different LAB strains secrete various compounds that inhibit bacterial growth such as diacetyl, phenyl-lactate, organic acids, hydroxy fatty acid, hydroxy phenyl-lactate, hydrogen peroxide, propionate, and cyclic dipeptides. These bacteria also secrete biosurfactants, bacteriocins (i.e., acidophilin, lactacin, bifidocin, helveticin, plantarim, pediocin, bulgaricin, diplococcin, and nisin), and bacteriocin-like inhibitory substances
[40][41][40,41].
Figure 1.
Schematic of properties of lactic acid bacteria.
3.1. LAB Strains Involved in Fermented Meat Products
The technological characterization of LAB strains involved in the fermentation process of meat is essential to select the best strain to be utilized as starter cultures
[42]. The genera
Lactobacillus,
Carnobacterium,
Weissella,
Pediococcus,
Enterococcus, and
Leuconostoc are the main LAB that play crucial role in the fermentation
[42][43][42,43]. The list of some of GRAS LAB that are most commonly used in bio-preservation of meat and meat products are mentioned in
Table 1. Members of the genus
Lactobacillus are usually the dominant species in most fermented meat products, but in some slightly acidified sausages, both
Enterococcus and
Lactobacillus are present in similar amounts
[43]; nevertheless,
Lactobacillus plantarum and
Lactobacillus curvatus are the most common LAB species in fermented sausages
[26]. It has been reported that in many fermented sausages,
Lactobacillus sakei has the most adaptability due to a higher maximum growth rate, higher final cell density, and a shorter lag phase
[44][45][44,45]. It should be noted that in Southern European sausages, the most and least common species are
Lactobacillus sakei and
Pediococci spp., respectively
[46]. Also, molds, such as
Penicillium chrysogenum and
Penicillium nalgiovense, are commonly used for sausage ripening in Southern Europe
[47]. In artisan sausages from Southern Europe, a strain of
Enterococcus faecium grows increasingly during the early stages of fermentation, producing a bacteriocin
[48]. It has been reported that yeast genera, especially
Debaryomyces hansenii, can be found in fermented meat products with appropriate organoleptic characteristics
[49][50][49,50].
Table 1.
Some of LAB species that are most commonly used in meat preservation.
|
| Genus |
|
| Species |
|
| Genus |
|
| Species |
|
114]. Also, freezing temperatures and modified atmosphere packaging (MAP) in combination with LAB and their metabolites can be used in hurdles technology approaches
[55][115]. Different studies have evaluated the effect of different LAB in combination with various bio-preservatives on the microbial quality of meat and fermented meat products (summarized in
Table 25).
Table 25.
The antibacterial effect of LAB or their metabolites in combination with other preservative agents in meat and meat products.
|
| Product |
|
| Bio-Preservative Agent |
|
| Results |
|
| References |
|
|
| Lactobacillus |
|
| Lactobacillus delbrueckii |
|
| Lacticaseibacillus |
|
| Lacticaseibacillus paracasei |
|
|
| Ground beef |
|
| L. reuteri or L. plantarum in combination with garlic extract |
|
| 1.4 and 1.5 log reduction of L. monocytogenes by using L. reuteri or L. plantarum in combination with 1% of garlic extract |
|
[56]
|
[116]
|
|
| Lactobacillus bulgaricus |
|
| Lacticaseibacillus rhamnosus |
|
|
| Beef sausage |
|
| Bacteriocinogenic Enterococcus mundtii and 0.0075% ascorbic acid, 3% NaCl, 0.02% NaNO2, 0.75% glucose and 0.75% sucrose |
|
| >2 log cfu/g reduction of L. monocytogenes |
|
[57]
|
[117]
|
| Lactobacillus gallinarum |
|
| Lacticaseibacillus casei |
|
|
| Lactobacillus gasseri |
|
| Sliced beef |
|
| Bacteriocin from C. maltaromaticum combined with steam and chitosan |
|
| No synergistic effect 2 log reduction of S. typhimurium, E. coli and S. typhimurium |
|
[58]
|
[118]
|
|
|
|
| Minced beef meat |
| Pediococcus |
|
| Pediococcus acidilactici |
|
|
| Mentha piperita essential oil with semipurified bacteriocin |
|
| Reduction in Enterobacteriaceae |
|
[59]
|
[119]
|
| Lactobacillus lactis |
|
|
| Frozen ground beef patties |
| Pediococcus pentosaceus |
|
|
| Bacteriocin-producing L. curvatus and L. lactis in combination with Na2EDTA |
|
| 1 log reduction of E. coli |
|
[60]
|
[120]
|
| Lactobacillus helveticus |
|
|
| Fresh chicken meat burger |
| Pediococcus parvulus |
|
|
| L. pseudomesenteroides combined with MAP (50% CO2 and 50% O2) |
|
| Reduction in L. monocytogenes and C. jejuni |
|
[55]
|
[115]
|
| Lactobacillus reuteri |
|
| Leuconostoc |
|
|
| Fresh pork sausage |
|
| Combination of essential oils, nisin, nitrite, and organic acid salts, encapsulated |
| Leuconostoc mesenteroides |
|
|
|
| Reduction in L. monocytogenes |
|
[61]
|
[121]
|
| Lactobacillus acidophilus |
|
| Leuconostoc citreum |
|
|
| Alheira paste |
|
| L. sakei and L. plantarum, vacuum packed or packed under MAP (20% CO2, 80% N2) |
|
| 2 log reduction in L. monocytogenes by L. sakei. No significant differences between vacuum or MAP |
|
[62]
|
[122]
|
| Lactobacillus curvatus |
|
| Leuconostoc pseudomesenteroides |
|
|
| Sliced lombo |
|
| Combination of Bacteriocin from P. acidilactici with HPP |
|
| Reduction in L. innocua |
|
[63]
|
[123] |
| Lactobacillus sakei |
|
| Leuconostoc carnosum |
|
|
| Lactobacillusalivarius |
|
|
| Lactiplantibacillus |
|
| Lactiplantibacillus pentosus |
|
| Latilactobacillus |
|
| Latilactobacillus sakei |
|
|
| Lactiplantibacillus plantarum |
|
| Latilactobacillus curvatus |
|
|
| Lactiplantibacillus brevis |
|
| Limosilactobacillus |
|
| Limosilactobacillus fermentum |
|
|
| Lactiplantibacillus casei |
|
| Limosilactobacillus reuteri |
|
3.2. Bio-Preservation of Meat and Meat Products by LAB and Their Metabolites
As mentioned above, bio-preservation strategies are based on the application of natural compounds derived from microorganisms, plants, or animals for extending the shelf life of food products
[18]. But most studies circumscribe the bio-preservation concept to the application of microorganisms such as LAB or their metabolites to enhance food safety and extend the shelf life of food products. Generally, the most important approach is to use of microorganisms or their metabolites with antimicrobial activity against food spoilage bacteria and especially foodborne pathogens
[25]. A desirable bio-preservation compound should only show antimicrobial activity against the targeted spoilage or pathogenic microorganisms and should not adversely affect the intestinal microbial flora of consumers
[18].
LAB can be used directly as a functional ingredient in meat and meat products or as starters in fermentation processes. When directly applied, LAB can be added in freeze-dried or fresh cultures in different ways such as addition to fresh meat, meat batter formulation, or spraying on the surface of ready-to-eat meat products or fresh meat
[25].
Traditionally, LAB have been widely used in fermentation processes, converting carbohydrates to lactic acid and producing biologically active compounds such as antibacterial and antifungal peptides, diacetyl, organic acids, and flavor precursors
[51].
3.3. LAB or Their Metabolites as a Part of Hurdle Technology
Hurdle technology refers to the combination of different preservative factors such as water activity (a
w), temperature, redox potential (Eh), and novel preservative techniques, such as gas packaging, natural extracts, essential oils, and bacteriocins, to create more selective and efficient defensive systems to overcome pathogenic and spoilage microorganisms
[52][69]. So, LAB and their metabolites can be used as a part of hurdles technology that act synergistically and inhibit food spoilage in combination with other preservative agents. In this way, less intensities of technological treatment and/or doses of preservative agents are required
[53][113]. In the application of different antimicrobial agents, it is very important to select the best combination, so that desirable preservative effects are achieved. In this regard, it has been reported that the addition of chelating agents makes the outer membranes of Gram-negative bacteria more permeable and sensitive to the hydrophobic peptides such as bacteriocins
[54][|
|
|
|
Goat meat emulsion |
|
|
|
|
Combination of Pediocin from |
P. pentosaceus |
and | Murraya koenigii berries extract |
|
| Reduction in L. innocua |
|
[64]
|
[124]
|
|
| Ready-to-eat porkham |
|
| Bacteriocin-like inhibitory substances (BLIS) from P. pentosaceus and nisin |
|
| Inhibition of growth of L. seeligeri |
|
[65]
|
[76]
|
3.4. Kinetics Models for Microbial Inactivation
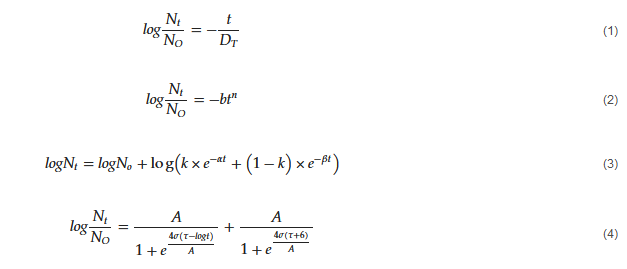
Different kinetic models have been widely used for predicting the inactivation patterns of microorganisms. In this regard, the first-order kinetic mode is employed for log-linear survival curves, while the Weibull, biphasic, and log-logistic models are used for non-log-linear inactivation patterns. The first-order kinetic mode, the Weibull, biphasic, and log-logistic are expressed by the following equations, respectively
[66][134]:

where
𝑁𝑂 and
𝑁𝑡 are the initial and surviving populations of bacteria at any time (CFU/g),
t is time (min),
𝐷𝑇 is defined as the time at which 90% of the bacterial population is inactivated,
b is the inverse of the shape factor (1/min),
𝑛 is the shape parameter (dimensionless),
𝛼 and
𝛽 are the inactivation kinetic rate constants (1/min), σ is the maximum inactivation rate (log (CFU/g)/log min),
τ is the log time to attain the maximum inactivation rate (log min),
𝐴 is the log increase in population. The statistical criteria are used to determine the goodness of fit of the kinetic models for describing the survival data.