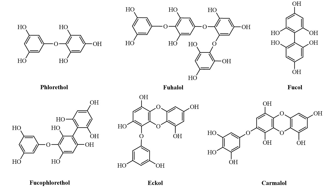
Phlorotannins represent an important group of phenolic compounds, exclusively occurring in brown algae that can form simple structures of 126 Da to very large and complex polymers. Although the biosynthetic pathway of these compounds is still not consensual, it is known that they are formed via C–C and/or C–O–C oxidative coupling of several monomeric units of phloroglucinol, which in turn is known to be biosynthesized through the acetate–malonate pathway. According to the type of linkage formed between these units and the number of hydroxyl groups, phlorotannins can be classified in four sub-classes, namely phlorethols and fuhalols (ether linkages), fucols (aryl-aryl linkages), fucophlorethols (aryl-aryl and ether linkages), and eckols and carmalols (dibenzodoxine linkage).
Phlorotannins are essentially phenolic compounds biosynthesized exclusively by brown macroalgae that serve vital roles in their physiology including structural functions and cell wall rigidification, response to biotic stress (working as herbivore deterrents, algicidals and bactericidals), and abiotic stress (as photoprotective agents against ultraviolet radiation or as heavy metals chelators). They also participate in the regulation of cell functions and survivability, acting as antioxidants, and in the algal embryogenesis contributing for the zygote’s cell walls formation and avoiding multiple fertilizations by inhibiting spermatozoid movement [1][2].
Unbound phlorotannins are known to accumulate in physodes, i.e., specialized membrane-bound vesicles of the cell cytoplasm, reaching up to concentrations of 25% of seaweed’s DW [3]. The content and profile of phlorotannins in seaweeds are, however, highly susceptible to variability. For instance, some authors demonstrated that seaweeds growing at shallower depths tend to accumulate higher phlorotannin contents than those growing at lower depths [4][5][6], while others have reported that the peak of phlorotannins accumulation in seaweeds usually occur during the spring/summer season [6][7][8]. In both scenarios the higher concentrations of phlorotannins seems to occur in seaweeds under higher solar exposure, which is in agreement with other works that reported an increase of phlorotannins accumulation in seaweeds after UV irradiation or in seaweed tissues with more light exposure [9][10][11]. Water salinity also seems to influence phlorotannins accumulation since higher concentrations of these compounds were reported on seaweeds growing on habitats with higher salinities rather than lower salinities waters [12]. Several other factors such as genetic differences, environmental conditions, nutrient availability, geographical origin, harvesting/post-harvesting/extraction conditions and others have great influence on phlorotannins accumulation, and therefore their concentration in seaweeds usually fluctuates greatly even within the same species.
During the recent years these compounds have gathered great interest due to their vast array of bioactive properties and benefits to human health showing promising effects against oxidative stress, photodamage, cancer, allergy, diabetes, obesity, inflammation, viral, fungal and microbial infections, and several others [13].
Although the exact biosynthetic pathway by which phloroglucinol gives origin to phlorotannins is not yet fully understood, it is known that this compound is biosynthesized by the acetate-malonate pathway, also known as polyketide pathway, in a process involving polyketide synthases-type enzyme complexes (Figure 1). It starts with conversion of an acetyl-CoA molecule into malonyl-CoA by the addition of a carbon dioxide molecule, changing the acetyl group into a highly reactive methylene that will allow the polymerization process to occur with low energy expenditure. The polymerization gives rise to a polyketic chain that transforms into a hexacyclic ring (triketide) via intramolecular cyclization with the concomitant loss of a water molecule. Because the triketide structure is not stable, the molecule tautomerizes into its aromatic form, which is thermodynamically more stable, giving phloroglucinol (1,3,5-trihydroxybenzene) [14]. Phloroglucinol then undergoes through oxidative coupling reactions with other phloroglucinol moieties forming polymeric structures that may range from simple molecules of 126 Da (1 phloroglucinol unit) to very large and complex polymers [15].

Figure 1. Schematic representation of the phloroglucinol biosynthetic pathway
According to the nature of the structural linkages between phloroglucinol units, they can be characterized into different subclasses namely phlorethols (containing only ether linkages), fucols (containing only C-C linkages), fucophlorethols (containing both ether and C-C linkages) and eckols (containing dibenzodioxin linkages). Within the subclass of phlorethols there are also the fuhalols which are ether-linked phlorotannins that possess at least one additional hydroxyl group. Likewise, eckols with additional hydroxyl groups are known as carmalols (Figure 2) [16].


Figure 2. Representation of the different classes of phlorotannins
The extraction of phlorotannins is a demanding task due to their chemical structure complexity, susceptibility to oxidation and interaction with other matrix components. Many factors, such as solvent composition, solvent polarity, time of extraction, temperature, solvent-solid ratio and particle size, may significantly influence the solid–liquid extraction (SLE) of phenolic compounds [17]. The protocols most commonly used for the extraction of phlorotannins are typically based on aqueous mixtures of acetone, ethanol or methanol, usually performed in acidic conditions, under nitrogen atmosphere or with solvents containing antioxidants such as K2S2O5 or ascorbic acid to prevent oxidative degradation [18]. Alternative methods such as pressurized liquid extraction (PLE), microwave-assisted extraction (MAE) or ultrasound-assisted extraction (UAE) have also been tested, although their applicability to routine isolation of phlorotannins is still not very common, due to the necessity of complex apparatus with limited capacities and/or high costs.
The purification of these compounds is usually carried out using solvent partitioning, solid-phase extraction (SPE) or column chromatography for polarity-based separation [19][20][21], or molecular size discrimination through dialysis or ultrafiltration steps [22][23][24]. Other methods have also been reported including cellulose adsorption [25], thin-layer chromatography [26] or even the combination of both polarity- and size-based approaches [23][27].
Monitorization of the total phlorotannins content in the extracts is usually carried out with the Folin-Ciocalteu method. However, even though phlorotannins are the major phenolic compounds present in brown seaweeds, several authors have reported the presence of other non-phlorotannin phenolic compounds in brown seaweeds. Therefore, this is not the most suitable approach since these minor phenolics, together with other unspecific reactions inherent to this colorimetric assay (e.g. with reducing sugars or ascorbic acid) may result in the overestimation of the phlorotannins levels. The most appropriate methodology for the specific quantification of phlorotannins is the dimethoxybenzaldehyde (DMBA) assay. In this reaction, the 2,4-dimethoxybenzaldehyde reacts specifically with the OH groups positioned at the 1,3- and 1,3,5-substituted phenols, thus being much less sensitive to the interference of other compounds. It can, however, form chromophores with some other non-polar compounds, although this issue can be easily surpassed with a defatting step prior to the DMBA assay [28].
Phlorotannins have also been closely related to the prevention of numerous inflammatory events, having the capacity to interfere with pro-inflammatory cytokines, regulate the expression and/or activity of important enzymes and even intervene in the transcriptional regulation. Many researchers have demonstrated that phlorotannins are capable of inhibiting the expression of cellular adhesion molecules, like ICAM-1 and VCAM-1 and key cytokines such as TNF-α, IL-1β and IL-6, as well as the release of NO● and PG2 and the expression of the enzymes responsible for their synthesis, i.e., iNOS and COX-2 [58][59][60][61][62]. Moreover, phlorotannins have been repeatedly shown both in vitro and in vivo to interfere with the transcriptional activity of NF-κB [63][58][64][65].
Alternatively, phlorotannins are also capable of activating the intracellular anti-inflammatory mechanisms, for example, via stimulation of the expression of IL-10, an important cytokine that is responsible for the supression of cytokines secretion [66].