All fossil combustible materials, such as coal and crude oil, contain radioactive elements, which origin from the natural decay series of uranium and thorium. The basic material for the synthesis of plastics is crude oil. Therefore, plastics may contain radionuclides. The gamma ray analysis of different rubbish bags used in the city of Basel show a clear contamination with uranium, radium (226Ra and 228Ra) and lead (210Pb), resulting in a yearly charge of 300, 300, 150 and 3,000 MBq each. In comparison with the contamination level of the burning ashes, these charges are not relevant (less than 1% of the content in the slags from the waste incineration). Nonetheless, we note a permanent displacement of long-lived natural radionuclides to landfill-sites.
All fossil combustible materials, such as coal and crude oil, contain radioactive elements origin from the natural decay series of uranium and thorium. The basic material for the synthesis of plastics is crude oil. Therefore, such materials may contain radionuclides.
We were interested in analysing rubbish sacks made of plastics for traces of radioactivity. The City of Basel’s waste incineration plant (KVA Basel) burns about 2.8 million tons of waste per year (about 700 kg per person and year), collected in the city of Basel and surrounding villages. At least, part of the inherent radioactive material enters the burning cycle and ends bound in the neutralized burning ashes on landfill sites. Water-soluble residues are concentrated in the washing waters of the air filters of KVA. This wastewater is pre-cleaned at the plant-site and finally emitted directly to the Rhine River.
The wastes resulting from the wastewater treatment of the washing waters from wet scrubbing of the fire gasses and the ashes from the electro-filters could not be analysed for radioactive contamination.
Plastic sacks for the collection of rubbish in households were collected from five local food distributors. All materials were made of recycling, high-density polyethylene.
|
sample |
A |
B |
C |
D |
E |
|
Origin of production |
Germany |
Thailand |
Germany |
Germany |
? |
|
|
80% recycling PE |
Not declared |
80% recycling PE |
80% recycling PE |
Not declared |
Table 1 Origin of the rubbish sacks available in Basel. E: Bebby Sagg – the official rubbish sack of the city of Basel.
The plastic bags were cut and filled tightly into Marinelli 1L-beakers. The samples were counted with high-resolution germanium detectors for at least 48 hours. We used the following gamma emission energies (with emission probability in %) for identification and quantification of the radionuclides: 234Th: 63.3 keV (4.47), 92.4 keV (2.6) and 92.80 keV (2.56), 234mPa: 1001.03 keV 0.84), 214Bi: 609.3 keV (44.6), 1120.3 keV (14.7) and 1764.5 keV (15.1), 214Pb: 295.2 keV (18.7) and 351.9 keV (35.8), 228Ac: 911.2 keV (26.2) and 969.0 keV (16.2), 224Ra: 241.0 keV (4.1), 208Tl: 583.2 keV (30.4) and 860.6 keV (4.5), 210Pb: 46.5 keV (4.25), 235U: 143.77 keV (10.94), 163.36 keV (5.08), 185.72 keV (57.0), 219Rn: 271.2 keV (10.8) and 401.8 keV (6.6). The following mother-daughter nuclides were supposed to be in secular equilibrium (The plastic material has to be older than the sevenfold half-life of the daughter-nuclide).
The daughters of 238U and 234U, 234Th rsp. 234mPa, were in equilibrium with their mother nuclides (the plastic material was older than 6 months). In addition, the daughters 214Bi and 214Pb were in equilibrium with 226Ra (after sealing the samples airtight for more than 20 days before analysis). 228Ra was in equilibrium with its daughter 228Ac after two days.
The gamma spectrometers were calibrated for efficiency using a certified 241Am/252Eu-source from the Czech Metrology Institute at Prague (1L-Marinelli geometry). In addition, a careful correction of the density of the samples was necessary (to eliminate attenuation effects).
In the following table, the radio-contaminations of five rubbish sacks are listed. The right column gives the mean value of the five samples.
|
Rubbish sack |
Measuring parameter |
A |
B |
C |
D |
E |
median |
|
238U-Series |
|
|
|
|
|
|
|
|
238U |
234Th |
8.9 ± 2.7 |
2.7 ± 2.6 |
<4 |
6.3 ± 2.6 |
<9 |
1.8 |
|
234U |
234mPa |
<6 |
11 ± 11 |
10 ± 6.8 |
3.2 ± 0.3 |
24 ± 14 |
10 |
|
226Ra |
214Bi, 214Pb |
0.9 ± 0.2 |
2.4 ± 0.3 |
1.8 ± 0.2 |
3.2 ± 0.3 |
4.2 ± 0.4 |
2.4 |
|
210Pb |
|
28 ± 2 |
45 ± 19 |
20 ± 12 |
21 ± 2 |
10 ± 5 |
21 |
|
232Th-Series |
|
|
|
|
|
|
|
|
228Ra |
228Ac |
0.5 ± 0.2 |
0.5 ± 0.4 |
0.6 ± 0.2 |
0.9± 0.3 |
1.1 ± 0.4 |
0.6 |
|
224Ra |
212Pb, 212Bi |
0.2 ± 0.1 |
0.8 ± 0.2 |
0.2 ± 0.1 |
0.4 ± 0.2 |
1.0 ± 0.4 |
0.2 |
|
208Tl |
|
<0.2 |
1.0 ± 0.2 |
0.5 ± 0.2 |
0.4 ± 0.2 |
1.0 ± 0.4 |
0.3 |
|
235U-Series |
|
|
|
|
|
|
|
|
235U |
|
0.2 ± 0.1 |
<1 |
<1 |
<1 |
<1 |
--- |
|
219Rn |
|
<0.4 |
<0.3 |
<0.4 |
0.4 ± 0.2 |
<0.8 |
--- |
Table 2
Results from gamma spectrometry of five samples of rubbish sacks. All data in Bq/kg.

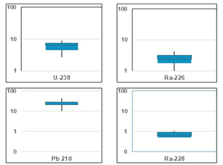
Figure 1. Scatter range of the dose-relevant radionuclides found in rubbish sacks. All data in Bq/kg plastic material (note the logarithmic scales!).The horizontal line in the box stands for the median value.
Scatter range of the dose-relevant radionuclides found in rubbish sacks. All data in Bq/kg plastic material (note the logarithmic scales!).The horizontal line in the box stands for the median value.
About 35,000 tons of basic slag are transferred to local landfill sites yearly. About 55,000 m3 of wastewater from the wet scrubbing of the fire gasses are released to the Rhine River after a wastewater cleaning in several steps.
For realistic calculations of a balance, the database is not complete. The composition of the ashes from the electro filters (about 5,500 tons/year) and the composition of the slags from the pre-treatment of the scrubbing wastewater (about 250 tons/year) are not known. Nonetheless, it is of interest to compare the charges of the burnt rubbish sacks with the charges in the total slags from the waste incineration.
|
Yearly charge |
Slag from waste incineration |
Waste water from scrubbing of fire gasses |
Rubbish bags |
|
yearly charge |
35,000 tons/y |
55,000 m3/y |
165 tons/y |
|
238U |
800,000 MBq/y |
60 MBq/y |
300 MBq/y |
|
226Ra |
700,000 MBq/y |
30 MBq/y |
300 MBq/y |
|
210Pb |
1,200 GBq/y |
0.005 GBq/y |
3 GBq/y |
|
228Ra |
700,000 MBq/y |
5 MBq/y |
150 MBq/y |
Table 3
Comparison of the different charges at KVA Basel.
As can be seen, the charges from the burning of the 165 tons of rubbish sacks is less than 1% of the total charge of the slags from the waste incineration. Therefore, we consider the additional charge with radioactivity due to the burning of rubbish sacks as negligible. Nonetheless, it should be noted that there is a permanent displacement of long-lived natural radionuclides to landfill-sites. As uranium nuclides are relatively water-soluble, a washing out of this element from landfill-sites into the ground water should be considered.