Your browser does not fully support modern features. Please upgrade for a smoother experience.
L-Dopa Extraction and Analytical Determination in Plant Matrices: Comparison
Please note this is a comparison between Version 2 by Peter Tang and Version 1 by Rosanna Ciriello.

L-dopa is a precursor of dopamine used as the most effective symptomatic drug treatment for Parkinson’s disease. Most of the L-dopa isolated is either synthesized chemically or from natural sources, but only some plants belonging to the Fabaceae family contain significant amounts of L-dopa. Due to its low stability, the unambiguous determination of L-dopa in plant matrices requires appropriate technologies. Several analytical methods have been developed for the determination of L-dopa in different plants. The most used for quantification of L-dopa are mainly based on capillary electrophoresis or chromatographic methods, i.e., high-performance liquid chromatography (HPLC), coupled to ultraviolet-visible or mass spectrometric detection. HPLC is most often used. 

  • levodopa
  • plant matrices
  • extraction
  • chromatographic methods

1. Introduction

L-Dopa or levodopa (LD) is an amino acid analogue belonging to the class of catecholamine compounds. It is a precursor of dopamine (DP) and norepinephrine that act as neurotransmitters in brain areas related to psychomotor and emotional functions. LD is currently considered the most effective oral dopaminergic treatment for the main motor symptoms of Parkinson’s disease (PD). This latter is the most widespread neurodegenerative movement disorder in the world: only Europe has a prevalence rate of around 108–257/100,000 and an incidence rate of 11–19/100,000 per year [1,2][1][2]. PD arises when the substantia nigra neuronal cells die and cannot biosynthesize dopamine (DA), a fundamental neurotransmitter, as it plays an essential role in physiological motor control. The symptoms of PD can be kept under control with strategies to replace or improve dopamine [1]. The LD pharmacological treatment is based on its replacement for DP to increase its bioavailability at the peripheral synaptic level, where the LD is decarboxylated to DP because of the amino acid aromatic decarboxylase (AADC) enzyme [3]. The pharmacological efficacy decreases after a certain period of intake; serious side effects such as motor fluctuations (commonly called on-off phenomenon), orthostatic hypotension, hallucinations and dyskinesias occur after a half-life time t1/2 of 50 to 90 min. These reasons led to the development of extended-release LD formulations, combined with other drugs, to extend the half-life and bioavailability and reduce side effects [2,4,5,6,7,8][2][4][5][6][7][8].
The LD drug is chemically synthesized through a process that requires a costly metal catalyst and advanced technologies [9]. There are also natural sources, and the production of LD from different plants has advantages compared to chemical methods, such as a pure enantiomerically compound and low-cost approach. LD from natural sources also reduces the secondary effects and helps slow the disease’s progression. Some plants belonging to the Fabaceae family naturally contain significant amounts of LD [10]. Among these, the genus Mucuna includes the highest concentration of LD, which explains its widespread use in the management of Parkinson disease. The Mucuna pruriens is the most considered, containing up to 10% of LD in its seeds [11,12][11][12]. However, the seeds are covered by stinging hairs, and the beans contain elevated levels of tryptamines which may cause hallucinations in humans, so other plant matrices as a natural source of LD are also investigated. The control of crucial human body functions can be affected by a lack or excess of LD and its metabolites. Consequently, it is necessary to monitor the concentration of LD in all plant matrices destined for human consumption.
LD’s low molecular weight and polar nature generally make its determination by reversed phase liquid chromatography challenging. A possible solution is to use an ion pair reagent to increase retention time. In general, it is necessary to work below the pKa of the compound, where it will be protonated and not charged, and to decrease the organic content of the mobile phase [13]. In addition, LD aqueous solutions are unstable and degrade naturally over time, so the extraction procedure also requires special attention [13].

1.1. Chemical and Physical Properties

LD structure is characterized by the catechol moiety bonded to the amino acid functionality (-CH2NH2COOH) in -meta and -para positions to the hydroxyl groups in positions 3 and 4, respectively (Figure 1). The main chemical and physical properties are summarized in Figure 1.
Figure 1.
L-Dopa, (3,4-dihydroxyphenyl)-L-alanine, structure and its chemical and physical properties.
Furthermore, LD has three ionizable groups (Figure 2). When the pH value is on average between pKa1 = 2.3 and pKa2 = 8.11, LD is present as zwitterion that forms a network of intermolecular bonds where the protonated amine groups and the deprotonated carboxylic acid groups are linked. For this reason, LD is not very soluble in this pH range (LD solubility in water is 3.3 g/L), and acids are required to prepare aqueous solutions. This point is especially crucial regarding LD pharmacological bioavailability along the gastrointestinal lumen as well [14,15][14][15].
Figure 2.
Ionization of L-Dopa at various pH values.

1.2. Biosynthesis and Conversion Routes of Levodopa in Plants

Plants produce hundreds of non-protein amino acids, among which LD, a secondary metabolite belonging to the class of catecholamines. Metabolism refers to the whole regulatory aspects implied in the biosynthesis of functional compounds, generally called metabolites. Metabolism in plants can be primary or secondary: primary metabolism generates all the essential compounds for the organism’s growth (primary metabolites); secondary metabolism produces all compounds that are considered not essential for the organism’s growth (secondary metabolites) but are equally important since directly involved in the interaction with the external environment [16,17][16][17]. Among catecholamines, norepinephrine (NE), epinephrine (EP), dopamine (DP) and normetanephrine (NMP) are other secondary metabolites whose structures are shown in Figure 3.
Figure 3.
Norepinephrine (NE), epinephrine (EP), dopamine (DP) and normetanephrine (NMP) structures.
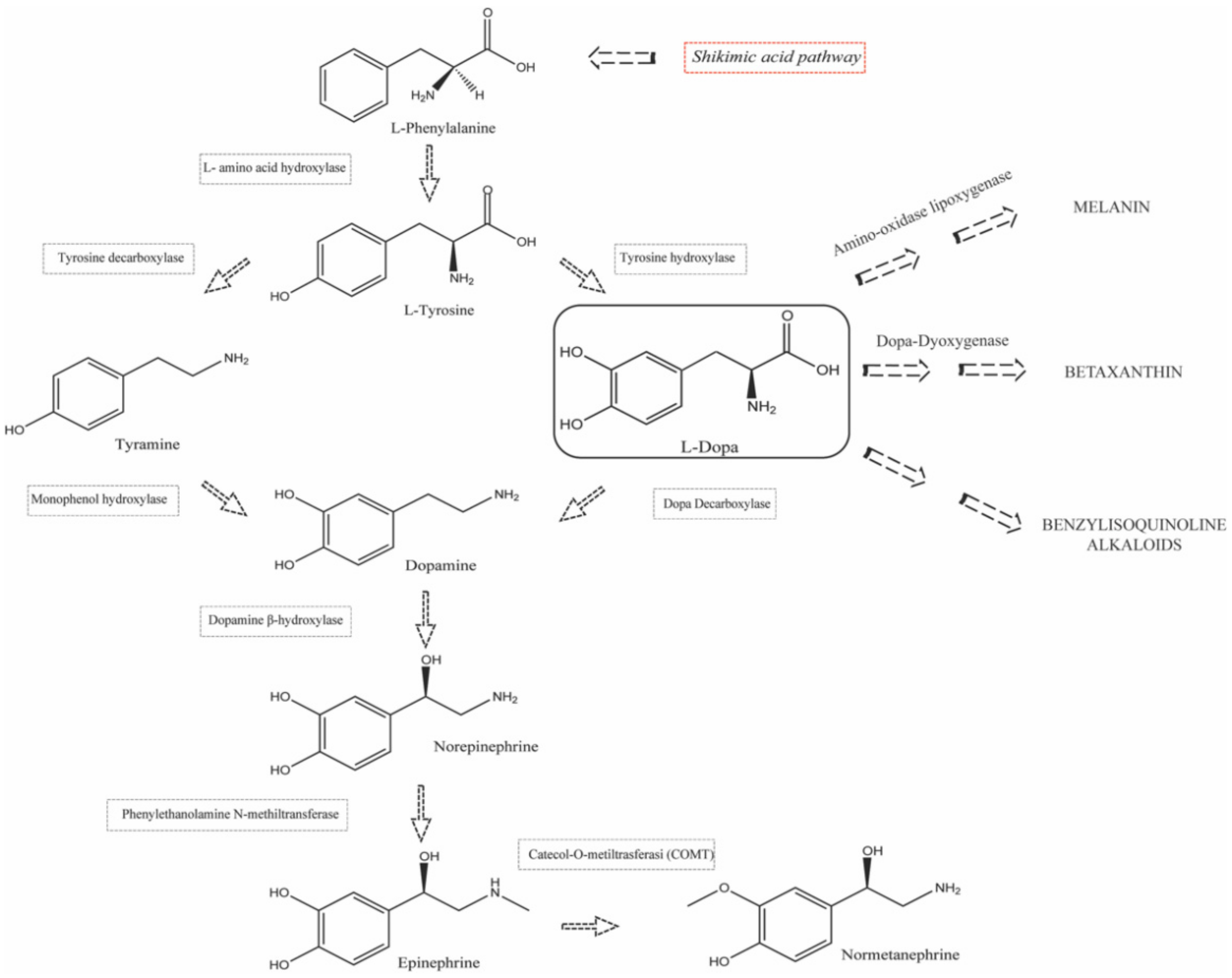
Shikimic acid pathway is the most important metabolic pathway of secondary metabolites in plants, and it represents the plant’s biosynthetic key for L-tyrosine [16,18][16][18]. Like in mammals, L-tyrosine is involved in plants as a precursor for the catecholamines’ biosynthetic pathway.
L-tyrosine can be converted into LD by tyrosine hydroxylase, or in tyramine upon decarboxylation of the same substrate. DP can derive both from tyramine hydroxylation and L-dopa decarboxylation (Figure 4) [16,19][16][19]. This last synthetic route has been reported in plants such as Cytisus scoparius Scottish broom, Monostroma fuscum marine alga, Lophophora williamsii peyote cactus and Portulaca callus [19,20][19][20].
Figure 4.
Plant catecholamine synthesis pathway.
In plant organisms, LD plays an important role as a precursor for other classes of compounds. LD can be converted by 4,5-DOPA dioxygenase into betalamic acid, which is a key compound in the biosynthesis of betalaines, red-purple and yellow pigments found in plants of the order Caryophyllales and two genera of fungi: Amanita and Hygrocybe [21,22,23][21][22][23]. Furthermore, it can be oxidized toward melanin: at first, LD is oxidized to dopaquinone by the enzyme polyphenol oxidase (PPO), and then it is metabolized to melanin by the plant lipoxygenase [18,19,24][18][19][24]. LD also represents a key precursor in the biosynthesis of benzylisoquinoline alkaloids, involved in specific plants (like basal eudicots in the order Ranunculales) for defense against herbivores and pathogens [21]. As far as the defense is concerned, in some legumes (e.g., Mucuna pruriens), LD plays an important role as an allelopathic compound that is exuded from the roots in order to inhibit the growth of surrounding plants [18,21,24,25][18][21][24][25]. The catecholamines catabolism in some plant species also involves their methylation: this is the case of the peyote cactus, Lophophora williamsii, in which LD is decarboxylated to dopamine and subsequently leads to the biosynthesis of mescaline, a hallucinogenic alkaloid, through the key compound 4-hydroxy-3-methoxyphenethylamine [26].

2. Levodopa Extraction Techniques

As it was previously outlined, extraction from natural products is nowadays considered the method of choice for providing LD over chemical synthesis which is time consuming, requires expensive and harmful chemicals and generates a racemic mixture of LD. This justifies the growing interest in developing an extraction protocol to ensure LD recoveries are as high as possible, to remove interfering endogenous compounds and to be quick, easy and cheap.
In a general workflow, analytes are extracted directly from the plant matrices after undergoing simple pre-treatment steps consisting of homogenization and freeze drying. Homogenization, in particular, was found to be effective in increasing LD concentration in extracts from Mucuna pruriens seeds with respect to the extract obtained without any pre-conditioning (151.5 ± 5.1 µg/g dw vs. 146.0 ± 4.5 µg/g dw) [15].
Typical steps within food sample preparation after pre-treatment and extraction generally include clean-up and concentration. To this regard, literature data show that in the case of plant matrices, LD pre-concentration and clean-up steps are rarely provided. In contrast, for biological samples (e.g., plasma, blood, animal tissues or urine), a sample pre-concentration step or solid phase extraction (SPE) is always required. Such a distinction in sample preparation may be ascribed to the different content of LD in biological and plant samples. For samples containing low levels of LD, like biological ones, pre-concentration and SPE are essential in order to guarantee the minimum levels for analyte detection and quantification [27,28,29,30,31,32,33,34][27][28][29][30][31][32][33][34]. On the other hand, plant samples mainly involved in LD extraction studies, e.g., different varieties of Mucuna pruriens seeds and Vicia faba broad beans, are rich in this analyte. To get an idea of the LD content in plants, an average concentration of 4.96 and 4.39 g/100 g were estimated, respectively, in white and black variety of Mucuna pruriens seeds [35], whereas an average concentration of 7.68 mg/g dw was found in Vicia faba seeds [36]).
The extraction techniques used for LD, whose specifications are reported in Table 1, range from the traditional liquid–solid extraction (LSE), Soxhlet extraction, maceration extraction and reflux extraction to the latest and less used microwave-assisted extraction (MAE) and ultrasound-assisted extraction (UAE). The last two techniques involve substantial improvements in terms of automation and solvent consumption so to be referred as green techniques.
Regardless of the particular extraction technique used, in all cases the transferring of LD from the solid plant matrix into the extracting liquid phase revealed to be highly dependent on the pH: the extracting solutions used are all acidic in order to inhibit the LD oxidation process and avoid the formation of its zwitterionic form, which is poorly soluble. Controversies arise about the appropriateness of using solutions slightly acidified with acid acetic/formic acid or strongly acidified with hydrochloric/perchloric acid. The use of mineral or concentrated organic acids for L-dopa extraction is surely efficient but it is limited by the requirement of costly and energy-demanding downstream processes. The potential degradation of L-dopa in a strongly acidic environment is also to be considered. Acids of moderate strength meet the need to find more sustainable solvents even if they could be less efficient in preserving LD stability towards oxidation or formation of aggregated structures.
While the pH strongly influences the extraction yield, on the other hand, the sample ionic strength does not seem to affect the extraction process. IUPAC defines the salting-out effect as “the addition of particular electrolytes to an aqueous phase in order to increase the distribution ratio of a particular solute” [37]. It is usually exploited to improve the extraction efficiency (as it generally occurs for solid-phase microextraction SPME), but in the case of LD extraction from plant matrices it seemed to play no role.
Table 1.
Overview of the methods used for LD extraction occurring in plant samples.

References

  1. Balestrino, R.; Schapira, A.H.V. Parkinson disease. Eur. J. Neurol. 2020, 27, 27–42.
  2. Khan, S.T.; Ahmed, S.; Gul, S.; Khan, A.; Al-Harrasi, A. Search for safer and potent natural inhibitors of Parkinson’s disease. Neurochem. Int. 2021, 149, 105135.
  3. Hall, M.F.E.; Church, F.C. Integrative Medicine and Health Therapy for Parkinson Disease. Top. Geriatr. Rehabil. 2020, 36, 176–186.
  4. Rezak, M. Current Pharmacotherapeutic Treatment Options in Parkinson’s Disease. Disease-A-Month 2007, 53, 214–222.
  5. Nutt, J.G. Pharmacokinetics and pharmacodynamics of levodopa. Mov. Disord. 2008, 23, 580–584.
  6. Tizabi, Y.; Getachew, B.; Aschner, M. Novel Pharmacotherapies in Parkinson’s Disease. Neurotox. Res. 2021, 39, 1381–1390.
  7. Poewe, W.; Antonini, A. Novel formulations and modes of delivery of levodopa. Mov. Disord. 2015, 30, 114–120.
  8. Müller, T. Catechol-O-methyltransferase inhibitors in Parkinson’s disease. Drugs 2015, 75, 157–174.
  9. Valdés, R.H.; Puzer, L.; Gomes, M.; Marques, C.E.S.J.; Aranda, D.A.G.; Bastos, M.L.; Gemal, A.L.; Antunes, O.A.C. Production of L-DOPA under heterogeneous asymmetric catalysis. Catal. Commun. 2004, 5, 631–634.
  10. Patil, S.A.; Apine, O.A.; Surwase, S.N.; Jadhav, J.P. Biological sources of L-DOPA: An alternative approach. Adv. Park. Dis. 2013, 2, 81–87.
  11. Lampariello, L.; Cortelazzo, A.; Guerranti, R.; Sticozzi, C.; Valacchi, G. The magic velvet bean of mucuna pruriens. J. Tradit. Complement. Med. 2012, 2, 331–339.
  12. Denne, T. Analysis of Levodopa Content in Commercial Formulations of Mucuna pruriens Seeds Used in Integrative Treatment of Parkinson’s Disease. Mov. Disord. 2019, 34, S37–S38.
  13. Long, W.J.; Brooks, A.E.; Biazzo, W. Analysis of Polar Compounds Using 100% Aqueous Mobile Phases with Agilent ZORBAX Eclipse Plus Phenyl-Hexyl and Other ZORBAX Phenyl Columns. Appl. Note Pharm. Food 2009, 1–8.
  14. Zhou, Y.Z.; Alany, R.G.; Chuang, V.; Wen, J. Studies of the rate constant of L-DOPA oxidation and decarboxylation by HPLC. Chromatographia 2012, 75, 597–606.
  15. Polanowska, K.; Łukasik, R.M.; Kuligowski, M. Development of a Sustainable, Simple, and Robust Method for Efficient l-DOPA Extraction. Molecules 2019, 24, 2325.
  16. Płonka, J.; Górny, A.; Kokoszka, K.; Barchanska, H. Metabolic profiles in the course of the shikimic acid pathway of Raphanus sativus var. longipinnatus exposed to mesotrione and its degradation products. Chemosphere 2020, 245, 125616.
  17. Kroymann, J. Natural diversity and adaptation in plant secondary metabolism. Curr. Opin. Plant. Biol. 2011, 14, 246–251.
  18. Soares, A.R.; Marchiosi, R.; de Cássia Siqueira-Soares, R.; de Lima, R.B.; dos Santos, W.D.; Ferrarese-Filho, O. The role of L-DOPA in plants. Plant. Signal. Behav. 2014, 9, e28275.
  19. Kulma, A.; Szopa, J. Catecholamines are active compounds in plants. Plant. Sci. 2007, 172, 433–440.
  20. Szopa, J.; Wilczyński, G.; Fiehn, O.; Wenczel, A.; Willmitzer, L. Identification and quantification of catecholamines in potato plants (Solanum tuberosum) by GC-MS. Phytochemistry 2001, 58, 315–320.
  21. Schenck, C.A.; Maeda, H.A. Tyrosine biosynthesis, metabolism, and catabolism in plants. Phytochemistry 2018, 149, 82–102.
  22. Hatlestad, G.J.; Sunnadeniya, R.M.; Akhavan, N.A.; Gonzalez, A.; Goldman, I.L.; McGrath, J.M.; Lloyd, A.M. The beet R locus encodes a new cytochrome P450 required for red betalain production. Nat. Genet. 2012, 44, 816–820.
  23. Tanaka, Y.; Sasaki, N.; Ohmiya, A. Biosynthesis of plant pigments: Anthocyanins, betalains and carotenoids. Plant. J. 2008, 54, 733–749.
  24. Hachinohe, M.; Matsumoto, H. Mechanism of selective phytotoxicity of L-3,4-dihydroxyphenylalanine (L-dopa) in barnyardglass and lettuce. J. Chem. Ecol. 2007, 33, 1919–1926.
  25. Goyoaga, C.; Burbano, C.; Cuadrado, C.; Varela, A.; Guillamón, E.; Pedrosa, M.M.; Muzquiz, M. Content and distribution of vicine, convicine and l-DOPA during germination and seedling growth of two Vicia faba L. varieties. Eur. Food Res. Technol. 2008, 227, 1537–1542.
  26. Kuklin, A.I.; Conger, B.V. Catecholamines in Plants. J. Plant. Growth Regul. 1995, 14, 91–97.
  27. Ribeiro, R.P.; Gasparetto, J.C.; De Oliveira Vilhena, R.; De Francisco, T.M.G.; Martins, C.A.F.; Cardoso, M.A.; Pontarolo, R. Simultaneous determination of levodopa, carbidopa, entacapone, tolcapone, 3-O-methyldopa and dopamine in human plasma by an HPLC-MS/MS method. Bioanalysis 2015, 7, 207–220.
  28. Azaryan, A.; Ligor, T.; Buszewski, B.; Temerdashev, A.; Dmitrieva, E.; Gashimova, E. LC–MS/MS Determination of Catecholamines in Urine Using FMOC-Cl Derivatization on Solid-Phase Extraction Cartridge. Chromatographia 2018, 81, 1487–1494.
  29. Bergmann, M.L.; Schmedes, A. Highly sensitive LC-MS/MS analysis of catecholamines in plasma. Clin. Biochem. 2020, 82, 51–57.
  30. Bugamelli, F.; Marcheselli, C.; Barba, E.; Raggi, M.A. Determination of l-dopa, carbidopa, 3-O-methyldopa and entacapone in human plasma by HPLC-ED. J. Pharm. Biomed. Anal. 2011, 54, 562–567.
  31. Van Faassen, M.; Bischoff, R.; Eijkelenkamp, K.; De Jong, W.H.A.; Van Der Ley, C.P.; Kema, I.P. In Matrix Derivatization Combined with LC-MS/MS Results in Ultrasensitive Quantification of Plasma Free Metanephrines and Catecholamines. Anal. Chem. 2020, 92, 9072–9078.
  32. Kakarla, S.; Kodali, G.; Seru, G. Selective and rapid LC-MS/MS method for the simultaneous quantitation of levodopa and carbidopa in human plasma using alumina SPE cartridges. Indo Am. J. Pharm. Sci. 2016, 3, 905–915.
  33. Li, W.; Rossi, D.T.; Fountain, S.T. Development and validation of a semi-automated method for L-dopa and dopamine in rat plasma using electrospray LC/MS/MS. J. Pharm. Biomed. Anal. 2000, 24, 325–333.
  34. Tampu, R.; Tampu, C.; Elfakir, C. Optimization of SPE method for the extraction of 12 neurotransmitters from sheep brain. Ovidius Univ. Ann. Chem. 2020, 31, 110–121.
  35. Siddhuraju, P.; Becker, K. Rapid reversed-phase high performance liquid chromatographic method for the quantification of L-Dopa (L-3,4-dihydroxyphenylalanine), non-methylated and methylated tetrahydroisoquinoline compounds from Mucuna beans. Food Chem. 2001, 72, 389–394.
  36. Bulduk, İ.; Topal, N. Development and Validation of a Quantification Method for L-DOPA in Plants and Pharmaceutical Materials. Hacet. J. Biol. Chem. 2020, 49, 1–10.
  37. IUPAC. IUPAC Compendium of Chemical Terminology; IUPAC: Research Triangle Park, NC, USA, 2009.
  38. Baranowska, I.; Płonka, J. Simultaneous Determination of Biogenic Amines and Methylxanthines in Foodstuff—Sample Preparation with HPLC-DAD-FL Analysis. Food Anal. Methods 2015, 8, 963–972.
  39. Renna, M.; De Cillis, F.; Leoni, B.; Acciardi, E.; Santamaria, P. From by-product to unconventional vegetable: Preliminary evaluation of fresh fava hulls highlights richness in L-DOPA and low content of anti-nutritional factor. Foods 2020, 9, 159.
  40. Pavón-Pérez, J.; Oviedo, C.A.; Elso-Freudenberg, M.; Henríquez-Aedo, K.; Aranda, M. LC-MS/MS Method For L-Dopa Quantification in Different Tissues of Vicia Faba. J. Chil. Chem. Soc. 2019, 64, 4–6.
  41. Mwatseteza, J.; Torto, N. Amperometric detection of 3-(3,4-dihydroxyphenyl)-L-alanine (L-dopa) in raw and cooked Mucuna bean seeds employing micro-HPLC. Chromatographia 2007, 66, 811–813.
  42. Varga, E.; Varga, M. Development and validation of an LC-MS/MS method for the analysis of L-DOPA in oat. Acta Biol. Szeged. 2014, 58, 133–137.
  43. Etemadi, F.; Hashemi, M.; Randhir, R.; ZandVakili, O.; Ebadi, A. Accumulation of L-DOPA in various organs of faba bean and influence of drought, nitrogen stress, and processing methods on L-DOPA yield. Crop. J. 2018, 6, 426–434.
  44. Randhir, R.; Shetty, P.; Shetty, K. L-DOPA and total phenolic stimulation in dark germinated fava bean in response to peptide and phytochemical elicitors. Process. Biochem. 2002, 37, 1247–1256.
  45. Yang, X.; Zhang, X.; Zhou, R. Determination of L-Dopa content and other significant nitrogenous compounds in the seeds of seven Mucuna and Stizolobium species in China. Pharm. Biol. 2001, 39, 312–316.
  46. Kalachar, H.C.B.; Basavanna, S.; Viswanatha, R.; Arthoba Naik, Y.; Ananda Raj, D.; Sudha, P.N. Electrochemical determination of l-dopa in mucuna pruriens seeds, leaves and commercial siddha product using gold modified pencil graphite electrode. Electroanalysis 2011, 23, 1107–1115.
  47. Benfica, J.; Morais, E.S.; Miranda, J.S.; Freire, M.G.; de Cássia Superbi de Sousa, R.; Coutinho, J.A.P. Aqueous solutions of organic acids as effective solvents for levodopa extraction from Mucuna pruriens seeds. Sep. Purif. Technol. 2021, 274, 119084.
  48. Dhanani, T.; Singh, R.; Shah, S.; Kumari, P.; Kumar, S. Comparison of green extraction methods with conventional extraction method for extract yield, L-DOPA concentration and antioxidant activity of Mucuna pruriens seed. Green Chem. Lett. Rev. 2015, 8, 43–48.
  49. Abdel-Sattar, E.; Mahrous, E.A.; Thabet, M.M.; Elnaggar, D.M.Y.; Youssef, A.M.; Elhawary, R.; Zaitone, S.A.; Rodríguez-Pérez, C.; Segura-Carretero, A.; Mekky, R.H. Methanolic extracts of a selected Egyptian Vicia faba cultivar mitigate the oxidative/inflammatory burden and afford neuroprotection in a mouse model of Parkinson’s disease. Inflammopharmacology 2021, 29, 221–235.
  50. Chen, X.; Zhang, J.; Zhai, H.; Chen, X.; Hu, Z. Determination of levodopa by capillary zone electrophoresis using an acidic phosphate buffer and its application in the analysis of beans. Food Chem. 2005, 92, 381–386.
  51. Duan, S.; Kwon, S.J.; Lim, Y.J.; Gil, C.S.; Jin, C.; Eom, S.H. L-3,4-dihydroxyphenylalanine accumulation in faba bean (Vicia faba L.) tissues during different growth stages. Agronomy 2021, 11, 502.
  52. Vadivel, V.; Biesalski, H.K. Effect of certain indigenous processing methods on the bioactive compounds of ten different wild type legume grains. J. Food Sci. Technol. 2012, 49, 673–684.
  53. Patil, R.R.; Gholave, A.R.; Jadhav, J.P.; Yadav, S.R.; Bapat, V.A. Mucuna sanjappae Aitawade et Yadav: A new species of Mucuna with promising yield of anti-Parkinson’s drug L-DOPA. Genet. Resour. Crop. Evol. 2015, 62, 155–162.
  54. Aware, C.; Patil, R.; Gaikwad, S.; Yadav, S.; Bapat, V.; Jadhav, J. Evaluation of L-dopa, proximate composition with in vitro anti-inflammatory and antioxidant activity of Mucuna macrocarpa beans: A future drug for Parkinson treatment. Asian Pac. J. Trop. Biomed. 2017, 7, 1097–1106.
  55. Rathod, B.G.; Patel, N.M. Development of validated RP-HPLC method for the estimation of L-Dopa from Mucuna pruriens, its extracts and in Aphrodisiac formulation. Int. J. Pharma Sci. Res. 2014, 5, 508–513.
  56. Fernandez-Pastor, I.; Luque-Muñoz, A.; Rivas, F.; O’Donnell, M.; Martinez, A.; Gonzalez-Maldonado, R.; Haidour, A.; Parra, A. Quantitative NMR analysis of L-Dopa in seeds from two varieties of Mucuna pruriens. Phytochem. Anal. 2019, 30, 89–94.
  57. Kasture, V.; Sonar, V.P.; Patil, P.P.; Musmade, D. Quantitative Estimation of L-Dopa from Polyhebal Formulation by using RP-HPLC. Am. J. PharmTech Res. 2014, 4, 408–414.
  58. Rahmani-Nezhad, S.; Dianat, S.; Saeedi, M.; Barazandeh, M.; Ghadiri, A. Evaluating the accumulation trend of L-dopa in dark-germinated seeds and suspension cultures of Phaseolus vulgaris L. by an efficient uv-spectrophotometric method. Quim. Nova 2018, 41, 386–393.
  59. Singh, R.; Saini, P.; Mathur, S.; Singh, G.; Kumar, S. Application of high performance liquid chromatography to the determination and validation of levodopa in methanolic extract of Mucuna utilis. Int. J. Green Pharm. 2010, 4, 156–158.
  60. Arvand, M.; Abbasnejad, S.; Ghodsi, N. Graphene quantum dots decorated with Fe3O4 nanoparticles/functionalized multiwalled carbon nanotubes as a new sensing platform for electrochemical determination of l-DOPA in agricultural products. Anal. Methods 2016, 8, 5861–5868.
  61. Renganathan, V.; Sasikumar, R.; Chen, S.M.; Chen, T.W.; Rwei, S.P.; Lee, S.Y.; Chang, W.H.; Lou, B.S. Detection of neurotransmitter (Levodopa) in vegetables using nitrogen-doped graphene oxide incorporated Nickel oxide modified electrode. Int. J. Electrochem. Sci. 2018, 13, 7206–7217.
More
Academic Video Service