2. Synthetic Approaches to Polyphosphodiesters: An Overview
In a recent review,
[5] Iwasaki presented several important examples of the synthetic approaches to PCPAs. In this section, researchers have tried to enhance, refine and discuss alternative synthetic approaches to polyphosphodiesters. The synthesis of the most simple polyphosphodiesters, poly(ethylene phosphoric acid) (PEPA) and poly(1,3-propylene phosphoric acid) (1,3-PPPA), was reported by Penczek’ group back in 1976.
[21] To date, multiple approaches to polyphosphodiesters have been developed. The most evident synthetic pathway is based on the interaction of phosphoric acid with diols reviewed by Penczek et al. in 2015
[1] or on transesterification of dialkyl (or diaryl) phosphonates followed by oxidation of P–H bonds.
[22][23][24][25][26][27][28] Ring-opening polymerization (ROP) of strained cyclic phosphonates (containing P–H bonds) and phosphates, followed by post-modification (oxidation or hydrolysis/hydrolytic thermolysis, respectively) is another efficient pathway to polyphosphodiesters.
[29][30] Meanwhile, modern methods of the construction of hydrocarbon fragments of the PCPA backbone, i.e., metathesis polycondensation and polymerization,
[31][32][33][34][35] should not be dismissed (
Scheme 2). Note that the use of acyclic diene metathesis (ADMET) polycondensation in the synthesis of ‘precision polymers’ was the subject of review by Schulz and Wagener.
[36]
Scheme 2. General synthetic approaches to polyphosphodiesters.
3. Polycondensation and Related Methods
3.1. Reactions of H3PO4 with Diols and Polyols
Phosphoric acid H
3PO
4 is a relatively weak tribasic acid (pK
a1 = 2.15, pK
a2 = 7.09, pK
a3 = 12.32). With the transition to pyrophosphoric acid H
4P
2O
7, one can note a substantial increase of acidity (pK
a1 = 1.0, pK
a2 = 2.0) and, therefore, reactivity of H
4P
2O
7 in comparison with H
3PO
4. Poly(phosphoric acid) is a well-known ‘superacid’; however, its use in the synthesis of PCPAs is essentially restricted by the requirements of the hydrolytic stability of PCPAs that implies the absence of di-/oligophosphate fragments in the main polymer chain. In this way, successful synthesis of PPDEs was limited by the use of H
3PO
4 and H
4P
2O
7 in polycondensation with diols and polyols. This approach was developed mainly by Penczek and coll who studied direct condensation of H
3PO
4 with ethylene glycol.
[37][38][39] The following steps were detected during this reaction:
-
The reaction starts by the relatively slow dimerization of H3PO4 with a formation of H4P2O7 (and higher polyphosphoric acids) at 100 °C within 40 h, during this stage the water was removed either in the stream of neutral gas or azeotropically with heptane.
-
After the addition of EG at 100 °C, H4P2O7 transformed to H3PO4 immediately, and the first phosphorylation reaction within additional 80 h was the formation of HOCH2CH2OP(O)(OH)2 and (HOCH2CH2O)2P(O)OH, triesters were formed in minimal amounts.
-
Activation of the monophosphate esters (end groups) at any polymerization degree with H3PO4 proceeds via conversion of monoesters into pyrophosphoric acid esters –OCH2CH2OP(O)(OH)–OP(O)(OH)2 that represent reactive acidic sites.
-
The polycondensation product is mostly linear with a structure of PEPA –(OCH2CH2OP(O)(OH))n–.
-
Some branch points (triesters) are formed only at high temperature and prolonged polycondensation time.
The reaction resulted in the formation of relatively low molecular weight (MW) products, the maximum achieved degree of polymerization (
DPn) was 21 after 100 h at 150 °C even in the presence of Sc(CF
3SO
3)
3 as a catalyst. Polycondensation was also accompanied by the formation of ether bonds (di- and triethylene glycol fragments were detected), acetaldehyde and vinyl end-fragments.
[37][38] To avoid dehydration side processes during the reaction with H
3PO
4, Penczek et al. proposed the use of 2,2-dimethyl-1,3-propanediol; however, no polymers were obtained, and the main reaction product was 2-methylbutanal formed via methyl migration (
Scheme 3).
[37]
Scheme 3. Formation of 2-methylbutanal during the reaction of neopentyl glycol with H
3PO
4.
[37]
The reaction of H
3PO
4 with glycerol is a more complex process.
[39][40][41] This reaction was conducted at 100 °C with azeotropic water removal (heptane) or under reduced pressure. The rate of esterification and the product ratios depended on the reagent ratios. So, for example, for a H
3PO
4/glycerol ratio of 1:1 the conversion of H
3PO
4 reached 90% after 35 h, whereas at a H
3PO
4/glycerol ratio of 1:2 even after 140 h only 80% conversion was detected, and the ratio of 2:1 led to monoester as a main product. Five- and six-membered cyclic esters were detected in the reaction mixtures in minor amounts. At a 1:1 H
3PO
4/glycerol ratio, cross-linking was observed. The degree of polymerization of soluble products was limited by dealkylation, leading to the formation of di- and oligo-glycerol units, incorporated into the product structure. Polycondensation of diglycerol (HOCH
2CH(OH)CH
2)
2O) with H
3PO
4 resulted in the formation of highly branched gels.
[41] The prospects of the further use of these polymers still remains unclear due to the unpredictability of their microstructure and hydrolytic behavior.
In conclusion, it should be mentioned that the reaction of H
3PO
4 with ethylene carbonate, first described by Munoz et al.
[42] and reproduced by Imoto and coll,
[43] resulted in low-MW PEPA with an unknown structure. Additionally, note that the reaction of H
3PO
4 with oxirans results in a formation of triester species
[44][45] and therefore cannot be considered as a method of the synthesis of PPDEs.
3.2. The Reaction of Dichlorophosphates with Diols
Glycolysis of PET with a formation of bis(2-hydroxyethyl)phthalate is the most efficient method of chemical recycling of this polymer.
[46][47] The reaction of bis(2-hydroxyethyl)phthalate with Cl
2P(O)OR (R = Me, Et) resulted in the formation of copolymers, further treatment by terephthaloyl chloride and NaI/acetone allowed for a copolymer containing >P(O)–OH fragments to be obtained (
Scheme 4).
[48] However, the current trends in developing actual synthetic approaches to biodegradable materials imply the abandonment of chlorine-containing reagents, and therefore dichlorophosphates are not currently used in the synthesis of polyphosphodiesters.
Scheme 4. Synthesis of the phosphate-containing analog of PET.
[48]
3.3. Reaction of Dialkyl (or Diaryl) Phosphonates with Diols and Post-Modification
Since polymers with –O–P(O)H–O– fragments can be easily and almost quantitatively oxidized to corresponding poly(phosphodiesters) containing –O–P(O)(OH)–O– fragments,
[21][22][49] polycondensation of dialkyl phosphonates (RO)
2P(O)H with diols can be considered as a prospective method of the synthesis of polyphosphodiesters. However, when using propane-1,3-diol, a six-membered cyclic phosphonate is formed at elevated temperatures, and further low-temperature ROP is needed for the synthesis of PPDE.
[50] In addition, Penczek and coll have proposed that for the successful synthesis of high-MW polymer the alcohol ROH has to be removed as fast as possible.
[51]
Relatively high-MW poly(alkylene phosphonates) (
Mn = 9.3–28 kDa) were obtained by the reaction of (MeO)
2P(O)H with HO–(CH
2)
n–OH (
n = 5–10, 12).
[22] Polytransesterification of dimethyl phosphonate (MeO)
2P(O)H and poly(ethylene glycol)s with
Mn 200 Da (PEG200) and 600 Da (PEG600) resulted in copolymers with
Mn = 3.5 and 7.1 kDa, respectively;
[23][24] similar results were obtained using PEG400, transesterification was conducted within 5 h at 135 °C under atmospheric pressure, and then 4 h at 160 °C plus an additional 15 min at 185 °C in vacuo (1 Torr), degree of polymerization (
DPn) was 28.
[25] The reaction of H(OCH
2CH
2)
13O H with (MeO)
2P(O)H also resulted in the formation of the polymer (
Mn = 13.5 kDa).
[26] Poly(1,2-propylene glycol) (PPG)-based oligo(alkylene phosphonate)s with
DPn 12, 6 and 5 were synthesized with the use of PPG400, PPG1200 and PPG2000, respectively.
[27] Triblock copolymers mPEG750-
b-[(P(O)(H)O(CH
2)
6]
17-
b-mPEG750 and mPEG2000-
b-[(P(O)(H)O(CH
2)
6]
17-
b-mPEG2000 were obtained by polycondensation of (MeO)
2P(O)H with HO–(CH
2)
6–OH (4 h at 80 °C and then 9 h at 140 °C/1 Torr, 0.05 mol% Na to form the catalyst), followed by the reaction with mPEG (140 °C/1 Torr).
[52] To achieve high molecular weights of the polycondensation products, Penczek and coll proposed the use of diphenyl phosphonate in reaction with diols.
[53] The reaction was conducted at 140 °C with the elimination of the phenol, and PPDEs with
Mn up to 40 kDa were obtained (
Scheme 5).
Scheme 5. Polycondensation of diphenyl phosphonate with diols.
[53]
To obtain PPDEs, PEG200- and PEG1000-based poly(alkylene phosphonate)s were oxidized by N
2O
4 in CH
2Cl
2.
[23] The same reagent was also used for the oxidation of block copolymers mPEG750-
b-[(P(O)(H)O(CH
2)
6]
17-
b-mPEG750 and mPEG2000-
b-[(P(O)(H)O(CH
2)
6]
17-
b-mPEG2000 in CH
2Cl
2 at −10 °C
[52] and poly(1,2-propylene glycol)-based poly(alkylene phosphonate)s.
[27]
Chlorination of poly(alkylene phosphonate)s at 0 °C resulted in the formation of poly(alkylene chlorophosphate)s that can be easily hydrolyzed with a formation of PPDEs
[53] (
Scheme 6a) or transformed into alkoxy-
[22] and amino-derivatives
[54] (
Scheme 6b). The degree of chlorination of poly(alkylene phosphonate)s can be varied when using trichloroisocyanuric acid as the chlorination reagent; the quantitative yield of the corresponding PPDE was confirmed by NMR monitoring of the hydrolysis of MeO[P(O)(Cl)O(CH
2CH
2O)
9]
28H in MeCN (full conversion after 15 min at 20 °C).
[25]
Scheme 6. Chlorination of poly(alkylene phosphonate)s followed by the: (
a) hydrolysis;
[53] or (
b) reaction with alcohols
[22] and amino acid esters.
[54]
Penczek and coll.
[55][56] have shown that the direction and selectivity of the hydrolysis of poly(alkylene amidophosphate)s depend on the pH value and the structure of the substituents in a nitrogen atom. When studying model amidophosphates, preferential cleavage of the P–O bond was detected at alkaline conditions, whereas at acidic conditions (MeO)
2P(O)OH was the main reaction product (
Scheme 7a). Poly(1,3-propylene amidophosphate)s demonstrated similar chemical behavior (
Scheme 7b) except for an O-ethyl-GlyGly derivative that formed 1,3-PPPA in both acidic and alkaline conditions. At pH~8 and 37 °C the P–NH bond was hydrolyzed 3–4 times faster than the P–O bond in the main chain.
[55]
Scheme 7. (
a) Hydrolysis of model amidophosphates; (
b) Acidic hydrolysis of poly(1,3-propylene amidophosphate)s.
[56]
Another method of the transformation of poly(alkylene phosphonate)s to poly(alkylene phosphate)s uses the Atherton–Todd reaction.
[24] In particular, this reaction was used in the synthesis of PPDEs containing (OCH
2CH
2)
13 spacers between phosphate groups.
[26] In conclusion of this section, one should refer to the successful synthesis of the polymers containing –OP(O)(H)O–(CH
2)
x– units (x = 10, 17, 21, 46) with
Mn 11–25 kDa by the reaction of the corresponding diols with dimethyl phosphonates.
[57] These polymers were not transformed to PPDEs, there was only one step to polyethylene mimicking polymers containing phosphate fragments in the main chain (note that similar polymers were nevertheless obtained by Wurm and coll. with the use of the ADMET approach, see Section 2.4.).
3.4. Polycondensation of (ω-Hydroxyalkyl)phosphonic Acids
In 2020,
[58] Penczek and coll. have shown that hydroxymethyl phosphonic acid can act as a catalyst and initiator of the ROP of ε-caprolactone (εCL) with the formation of εCL oligomers containing reactive groups on both ends of the macromolecule. Very recently they demonstrated that these oligomers can be subjected to polycondensation at 100–110 °C with a formation of PPDEs (
Mn up to 25 kDa) (
Scheme 8) with mostly linear microstructure (
31P NMR data).
[59]
Scheme 8. Synthesis and polycondensation of (HO)P(O)CH
2O(εCL)
nH.
[59]
4. ROP of Cyclic Phosphorus-Containing Monomers and Post-Modification
4.1. Synthesis of Cyclic Phosphorus-Containing Monomers
The key stage of the preparation of both cyclic phosphonates and cyclic phosphates is a reaction of diols with PCl
3 resulting in cyclic chlorophosphites
[60] that can be hydrolyzed with the formation of cyclic phosphonates (
Scheme 9a) or oxidized to chlorophosphates with subsequent substitution of Cl atom by alkoxy fragment that results in cyclic phosphates (
Scheme 9b). In some cases, the synthesis of cyclic phosphates is based on reverse reaction sequence, i.e., substitution of Cl in chlorophosphite followed by oxidation (
Scheme 9c).
[61] Cyclic phosphonates can also be synthesized by the reaction of diols with dialkyl phosphonates (
Scheme 9d).
[62][63]
Scheme 9. Common synthetic approaches to cyclic phosphorus-containing monomers for ROP.
Hydrolysis of chlorophosphite was carried out in CH
2Cl
2 solution with a mixture of water and 1,2-dioxane (
Scheme 10). It was essential to use slightly less than the stoichiometric amount of water (0.8 equiv.), otherwise undesirable polymerization occurred.
[64]
Scheme 10. Synthesis of 4-methyl-2-oxo-2-hydro-1,3,2-dioxaphosphol.
[64]
The first systematic studies of the synthesis of five-membered cyclic phosphates (2-alkoxy-2-oxo-1,3,2-dioxaphospholanes,
Scheme 11), based on the reaction of cyclic chlorophosphates with ROH, were conducted by Penczek et al. back in the late 1970s.
[65][66] The synthesis of 2-chloro-2-oxo-1,3,2-dioxaphospholane was optimized recently by Becker and Wurm.
[67] 2-Chloro-1,3,2-dioxaphospholane was obtained with 67% isolated yield, and subsequent CoCl
2-catalyzed oxidation by dried air resulted in the obtaining of cyclic chlorophosphate that was separated by vacuum distillation, the yield was 70%. Additionally, note that the efficient continuous flow method of the end-to-end preparation of cyclic phosphate monomers with a semi-continuous modular flow platform was developed very recently by Monbaliu and coll.
[68]
Scheme 11. Synthesis of five-membered cyclophosphates, the yields on the last sage are given.
[66]
2-Methoxy-2-oxo-1,3,2-dioxaphospholane (methyl ethylene phosphate, MeOEP) contained, after distillation, an impurity of (MeO)
2P(O)OCH
2CH
2Cl, and the final purification involved treatment with an Na mirror. The reaction of cyclic chlorophosphates with alcohols has limitations on the substrate. Primary and secondary alcohols usually give satisfactory yields of cyclic phosphates,
[61][66] while
tert-butanol does not react in the right way due to the low reactivity of
tert-butanol at ambient conditions and low thermal stability of
tBuOEP.
The choice of the base is essential in the synthesis of cyclic phosphates by the reaction of chlorophosphates with alcohols. The presence of the traces of the ammonium salts complicates the separation of cyclic phosphates because of their acid-catalyzed polymerization. The use of lutidine was proposed in the first work devoted to the synthesis of ethylene phosphates,
[66] and it was this base that was used in the synthesis of unstable 2-benzyloxy-2-oxo-1,3,2-dioxaphospholane (benzyl ethylene phosphate, BnOEP).
[69]
Because of the low thermal stability of
tBuOEP and other
tert-butyl alkylene phosphates, alternative approaches to these valued monomers were developed. Nakamura et al. have used oxidation of cyclic phosphites by N
2O
4 (
Scheme 12a),
[70] and recently Nifant’ev et al. proposed a two-stage approach based on reaction of 2-chloro-1,3,2-dioxaphospholane with
tert-butanol followed by oxidation of 2-
tert-butyl-1,3,2-dioxaphospholane by 3-chloroperbenzoic acid (
mCPBA) (
Scheme 12b).
[61]
Scheme 12. Synthesis of
tert-butyl alkylene phosphates. (
a) oxidation by N
2O
4;
[70] (
b) oxidation by
mPCBA.
[61]
The synthesis of deoxyribose-based five-membered cyclic phosphonate stands somewhat apart from most other 1,3,2-dioxaphospholane derivatives, this compound was obtained by the reaction of methyl-2-deoxyribofuranose with P(NEt
2)
3.
[71]
4.2. ROP of Cyclic Phosphorus-Containing Monomers
ROP of cyclic phosphonates and phosphates (
Scheme 13a) represents the common strategy of the controlled synthesis of functional biodegradable polymers.
[29][30] This process is subject to the general thermodynamic rules for the ROP of cyclic monomers
[72] that predict high reactivity of more strained five-membered cycles
[66][73][74][75] and temperature-dependent reactivity of six-membered cycles.
[74][75] Different catalysts have been used successfully in controlled ROP of cyclic phosphonates and phosphates with the formation of polyphosphoesters (PPEs) (
Scheme 13b). The data on the synthesis of polymers suitable for post-modification to polyphosphodiesters are summarized in
Table 1.
Scheme 13. (a) ROP of cyclic phosphonates and phosphates; (b) Catalysts used in synthesis of polymers suitable for post-modification to polyphosphodiesters.
Table 1. Synthesis of polyphosphonates and polyphosphates suitable for post-modification with a formation of PCPAs. The structures of the catalysts are presented in Scheme 13b.
MeOEP represents the simplest five-membered cyclic phosphate. Minimal sterical hindrance in phosphorus atoms complicate the ROP of MeOEP by the formation of branched polymers. Coordination catalyst Mg1 demonstrated high activity in polymerization of MeOEP at −20 °C with a formation of a mainly linear polymer;
[61][90] however, when using an organocatalyst TBD, highly branched polymers formed.
[61][78] Nifant’ev and coll. found that TBD-catalyzed polymerization of MeOEP in the presence of trimethyl phosphate leads to linear poly(MeOEP) with given
DPn and narrow molecular weight distribution (MWD) even at a >99% monomer conversion degree.
[78] Note that the DBU/TU catalyst was moderately active in the polymerization of MeOEP.
[61][77] Polymerization of other sterically non-hindered monomer 4-(acetoxymethyl)-2-methoxy-2-oxo-1,3,2-dioxaphospholane (
Table 1, Entry 2), initiated by
iBu
3Al, was found to be a reversible process.
[49]
Besides MeOEP polymerization, TBD/BnOH-catalyzed ROP of –NHCH
2CH
2OMe-substituted ethylene phosphate with the formation of almost linear homopolymers, DBU was inactive in this reaction.
[89] Poly(
tBuOEP) was first obtained by Nakamura et al. back in 1981 with the use of Et
2Mg initiator.
[70] The reaction was conducted at an elevated temperature (40 °C) and took an extended period of time (10 h). The polymer of methyl-substituted analog of
tBuOEP was obtained under the same conditions. In the ROP of six-membered
tert-butyl cyclic phosphate, partially hydrolyzed El
3Al was used as a catalyst.
[70] Nifant’ev and coll. preferred to polymerize
tBuOEP with the use of coordination catalyst Mg1, including the synthesis of block copolymers containing poly(
tBuOEP) fragments.
[61][85][86][91]
In the end of this section, it should be noted that poly(phosphoester)s can be obtained by ring-opening metathesis polymerization of unsaturated cyclic phosphates;
[92] however, this synthetic approach has not been applied to PPDEs. In addition, hypothetic structures of the main-chain PCPAs are not limited by ‘diesters’, and cyclic phosphonates (e.g., 2-methoxy-1,2-oxaphospholane 2-oxide
[93]) might be considered as starting monomers for the synthesis of a new structural type of main-chain PCPAs using ROP and post-modification.
4.3. Post-Modification of the Poly(alkylene phosphonate)s
Oxidation of the polymers containing –P(O)H– fragments in the main chain represents a promising synthetic approach to PCPAs. In earlier studies, N
2O
4 in CH
2Cl
2 was found to be an efficient oxidizing reagent (
Scheme 14), the resulting polyacids precipitated.
[21][49][64][75] Wang et al. reported the use of DMF as a solvent for oxidation.
[94] It is worth pointing out here that the formation of HNO
3 during oxidation may assist the cross-linking between PCPAs’ polymer chains thereby decreasing the control on polymer MWD and architecture, thus, for example poly(1,2-propylene phosphoric acid) (1,2-PPPA) synthesized in DMF had
Mw = 12.9 kDa and
Ð = 2.6.
[94]
Scheme 14. Oxidation of poly(alkylene phosphonate)s.
[21][49][64][75]
In an early work of Penczek’s group, the reaction with O
3 was proposed as an efficient method of the transformation of poly(alkylene phosphonate)s to corresponding polyphosphates (
Scheme 15).
[71] Note that starting poly(alkylene phosphonate) was obtained via ROP of cyclic phosphoramidite followed by acid hydrolysis of the polymer obtained.
Scheme 15. Cyclic phosphoramidite-based approach to PPDEs.
[71]
4.4. Post-Modification of Poly(alkylene phosphate)s
The most evident synthetic pathway to PEPA is based on hydrolysis of the ester side groups with a maintaining of poly(alkylene phosphate) backbone (
Scheme 16). The first attempt of such hydrolysis was made by Gehrmann and Vogt back in 1981 with the use of 1-oxo-2,6,7-trioxa-1-phosphabicyclo [2.2.l] heptane homopolymer of unidentified structure.
[95]
Scheme 16. Hydrolytic pathway to PEPA.
For poly(MeOEP), the dependence of the ratio of hydrolysis of the methyl ester (side group) and the backbone was established by Baran and Penczek by an example of the model linear phosphate (MeOCH
2CH
2O)
2P(O)(OMe),
[96] the ratio of the rate constants k
side/k
backbone in water at 25 °C was ~5.0 at pH 2 and becomes equal to unity at pH ~12. Evidently, such selectivity is insufficient for the synthesis of PEPA from poly(MeOEP) with the retention of the polymer backbone.
In addition, Wurm and coll. recently conducted a separate study of the hydrolysis of poly(MeOEP) and poly(EtOEP)
[77] under both acidic (at pH 0, 1M HCl) and basic (pH 11, Na
2CO
3/NaOH buffer) conditions. They found that under basic conditions these polymers undergo a backbiting hydrolysis resulting in the release of alkyl (2-hydroxyethyl) hydrogen phosphate as the main degradation product (
Figure 1a). High hydrolytic stability of polymer with urethane-blocked CH
2CH
2OH end-group (
Figure 1b,c) confirms this mechanism. In this way, the hydrolytic approach to PEPA should not be overestimated. That is probably why the search for other nucleophilic agents and leaving groups were carried out to develop efficient synthetic approaches to PEPA and other poly(phosphodiesters) based on poly(alkylene phosphate)s.
Figure 1. (
a) Backbiting mechanism of hydrolytic degradation of poly(alkyl ethylene phosphate)s; (
b) Structures of polymers with CH
2CH
2OH and urethane-blocked CH
2CH
2OH end-groups; (
c) Degradation profile of PEEP and
blPEEP derived from
31P NMR spectra (two runs for each polymer are shown). Reprinted with permission from
[77]. Copyright (2018) Elsevier B. V.
Already in the first communication on coordination ROP of MeOEP, Penczek demonstrated high efficiency of the use of aq. Me
3N in the synthesis of PEPA (~90% dealkylation efficiency).
[21] The reaction of poly(MeOEP) (
Mn = 22 kDa) with 30% aq. Me
3N at 50 °C for 10 h, followed by a pass through a cation exchange resin to exchange the NMe
4+ ions by protons resulted in high-MW PEPA with 85% yield.
[97] A similar approach was used by Iwasaki group in the preparation of PEPA, cholesterol-(PEPA)
n (
n = 24, 46, 106) and different PEPA-containing copolymers.
[79][80][81][98][99][100] A sufficiently high selectivity was achieved when Et
3N was used as a dealkylation agent for the linear high-MW poly(MeOEP): the rate of dealkylation of the side groups and the backbone was ~500:1.
[21] Dealkylation of the polymer obtained by ROP of 4-CH
2OAc substituted MeOEP (
Table 1, Entry 2) was performed by using aq. R
3N or NaI in acetone solution. The best results were obtained by the latter method. However, the extent of dealkylation did not exceed 80%.
[49]
To obtain PEPA, Wooley and coll. Conducted hydrolysis of poly(ethylene phosphoramidate) obtained by ROP of the corresponding cyclic substrate (
Scheme 16, R = –NHCH
2CH
2Ome) in three different acidic buffer solutions having pH values of 1.0, 3.0 and 5.0.
[89] At pH 5.0, only 7% of the phosphoramidate bonds were converted into phosphate in 130 h. At pH 3.0, greater than 23% of the phosphoramidate bonds were cleaved over 130 h. At pH 1.0, complete hydrolysis was reached within 10 h. Significantly faster and selective formation of PEPA was observed when polymer of allyl ethylene phosphate (
Scheme 16, R = –CH
2CH=CH
2) was treated by PhSNa in DMF/H
2O.
[83][84] Additionally, note that partial (~20%) hydrolysis of the homopolymer of but-3-yn-1-substituted ethylene phosphate (for structural formula see
Table 1, Entry 7) occurred during thiol−yne click reaction with (
L)-cysteine.
[101]
Another efficient way to PCPA is based on thermolysis of polyphosphates containing
tert-butoxy fragments. Even at 1981 Nakamura and coll. have shown formation of the corresponding PCPAs with elimination of isobutylene during thermolysis of poly(
tBuOEP) at 140 °C, as well as poly(4-methyl-2-hydroxy-1,3,2-dioxaphospholane 2-oxide) and poly(4-methyl-2-hydroxy-1,3,2-dioxaphosphorinane 2-oxide) at 130 °C (
Scheme 17).
[70] The authors have noted that copolymers were partially cross-linked due to formation of P–O–P bonds under heat.
Scheme 17. Formation of PEPA, 1,2-PPPA and poly((1,3-bulylene)phosphoric acid).
[70]
To avoid similar cross-linking, Nifant’ev and coll. proposed the use of proton solvents (water, MeOH) for thermolysis of poly(
tBuOEP).
[85] Due to the presence of proton solvents, the reactions were completed after 15 min (in H
2O) or after 1 h (in MeOH) at 80 °C. By this method, copolymers containing poly(
tBuOEP) blocks were successfully converted into PEPA-containing macromolecules (
Figure 2). The presence of bases (NaOAc, Na
2CO
3) completely blocked P–O–P cross-linking.
[85]
Figure 2. 1H NMR spectrum (400MHz, D
2O, 20 °C) of PEPA-containing triblock copolymer obtained after thermolysis of mPEG
2000-
b-(εCL)
16-
b-(
tBuOEP)
61H in D
2O at 80 °C in the presence of NaOAc. Reprinted with permission from
[85]. Copyright (2018) Elsevier B. V.
Another common approach to PCPAs is based on the lability of benzyl phosphates towards catalytic hydrogenolysis. To avoid the use of H
2, Iwasaki et al. carried out elimination of the BnO groups in copolymers poly(EtOEP)-
ran-poly(BnOEP) via 4 h of stirring in HCOOH in the presence of Pd/C (8 wt%) (
Scheme 18),
[69][87][88] note that in
[88] cholesterol was used as a ROP initiator.
Scheme 18. The synthesis of PEPA copolymers based on poly(BnOEP).
[69][87][88]
In the end of this Section, it would be worth highlighting that the use of ROP in controlled synthesis of PCPAs is still limited by the next significant drawbacks:
-
Loss of control over polymer architecture and MWD: sterically non-hindered cyclic phosphates can form highly branched poly(alkylene phosphate)s. Switching between the ‘living’ (linear polymer, ĐM~1) and ‘immortal’ (transesterification of the polymer chain, branched polymer, ĐM > 1) ROP modes can occur at elevated temperatures and/or in case of wrong catalyst’ choice. Moreover, even in the presence of ‘good’ catalysts, complete conversion of the monomer greatly increases the risk of subsequent transesterification.
-
This is why better chain control can be achieved when using sterically hindered cyclic phosphates, e.g., tBuOEP, despite its minor synthetic accessibility and very low reactivity that limits the use of this monomer in the synthesis of stat- and block-copolymers.
-
The use of cyclic phosphonates eliminates the problem of branching and DPn control, but severe oxidation of the P–H bond at the final stage puts the end to a convenient option to introduce biomolecules or usable functional groups at the stages of ROP initiation or termination.
-
The nature of the catalytic ROP imposes severe restrictions on the nature of the side substituent R in the molecule of cyclic phosphate (
Scheme 16). So, for example, the –CH
2CH
2CN group, widely used in
automated (!) synthesis of DNA analogs
[102] and in synthesis of PCPAs with the use of ring-opening metathesis polymerization (ROMP),
[103] has not found application in the ROP/deprotection approach to PCPAs, despite the fact that the synthesis of six-membered cyclic phosphate with this substituent was synthesized by Lapienis and Penczek back in 1977.
[65]
-
Additionally, in general, between fundamental studies of the ROP/deprotection approach to PCPAs in the late 1970s–1980s (conducted for the most part by the Penczek’ group) and relatively recent works (scientific groups of Wooley, Wurm, Iwasaki, Nifant’ev), a two-decades gap in investigations is clearly visible, which affected the progress in this scientific direction.
5. Metathesis Polycondensation
In 2014 Wurm and coll. proposed an efficient synthetic approach to polyphosphodiesters based on ADMET polycondensation of bis(alkenyl) chlorophosphates, catalyzed by the first generation Grubbs catalyst.
[31] In bulk polymerization,
DPn of 39 was achieved, and when using 1-chloronaphthalene as a solvent,
DPn was 47 and 126 for ‘chloro monomers’ containing –(CH
2)
2– and –(CH
2)
9– spacers between vinyl and phosphate fragments, respectively (
Scheme 19). Functionalized PCPAs were then obtained by the reactions of poly(alkylidene chlorophosphate)s with PhOK or (2-hydroxyethyl)methacrylate (HEMA) in the presence of water.
Scheme 19. The synthesis of chlorophosphate polymers with the use of ADMET polycondensation.
[31]
During further studies, copolymers containing P–OH and P–OEt substituents (
Scheme 20a) in 2:8 and 1:9 ratios (
Mn = 19.3 and 10.3 kDa, respectively) and low-MW homopolymer of (CH
2=CHCH
2CH
2O)
2P(O)OH (
Mn = 1.7 kDa) were obtained.
[32] The reaction was also conducted in the presence of the first-generation Grubbs catalyst, the
Mn of the 1:4 copolymer was 19.3 kDa. To prepare potentially biodegradable analogs of polyolefins, Wurm and coll.
[33] also used ADMET polycondensation of HO–P(O)(O(CH
2)
8)CH=CH
2)
2 and copolycondensation of this monomer with PhO–P(O)(O(CH
2)
8)CH=CH
2)
2 in different ratios in the presence of Hoveyda−Grubbs catalyst (
Scheme 20b). After catalytic hydrogenation, homopolymers demonstrated promising physico-mechanical characteristics.
Scheme 20. The synthesis of PCPAs with the use of ADMET (co)polycondensation of bis(alkenyl) phosphates with short (
a)
[32] and long (
b)
[33] hydrocarbon fragments.
The use of monomers containing highly reactive P–Cl and P–OH bonds can complicate ADMET polycondensation. Wurm and coll. demonstrated feasibility of the 2-acetylthioethyl ester fragment as a protective group for the P–OH functionality in low molecular weight phosphates as well as polyphosphates.
[34] In order to obtain ‘polyethylenes’ containing –P(O)OH– fragments and –(CH
2)
20– spacers between them, Wurm and coll.
[35] synthesized a new monomer containing –OCH
2CH
2Br substituent at phosphorus atom. ADMET polycondensation and subsequent hydrogenation resulted in poly(phosphotriester), its deprotection to PCPA was carried out in two stages using 2-acetylthioethyl ester protective group (
Scheme 21).
Scheme 21. The synthesis of ‘polyethylenes’ containing –P(O)OH– fragments.
[35]
6. Other Synthetic Approaches to Polyphosphodiesters
6.1. The Use of Unsaturated 2-Cyanoethyl Phosphates
The synthesis of phosphodiester hydrogels (this Section) and sequence-defined oligophosphodiesters (see Section 7) relies on the use of sensitivity of 2-cyanoethyl phosphates to bases (
Scheme 22a). So, for example, bis(methacryloyl)(2-cyanoethyl)phosphate was synthesized, polymerized, and deprotected with a formation of PPDEs (
Scheme 22b).
[103]
Scheme 22. (
a) Base-induced transformation of (2-cycnoethyl)phosphates to phosphodiesters; (
b) Synthesis of bis(methacryloyl)(2-cycnoethyl) phosphates and PPDEs.
[103]
6.2. Bis(methacrylate) Phosphonates and Their Post-Modification
Diliën and coll. proposed efficient synthetic approach to monomers for the synthesis of PPDE-containing hydrogels, based on the reaction of (PhO)
2O(O)H or H
3PO
3 with 2-hydroxyethylmethacrylate (HEMA), followed by the Atherton–Todd reaction with N-
tert-butyl-4-hydroxybutanamide and CCl
3Br/NEt
3 (
Scheme 23). Free-radical polymerization of this monomer followed by thermal deprotection
via elimination of stable five-membered iminoester resulted in formation of the polymers containing main-chain –P(O)OH– fragments.
[104]
Scheme 23. Synthesis of PCPAs based on bis(methacryloyl)phosphonates.
[104]
6.3. Hydrolytic Polymerization of Spiro(acylpentaoxy)phosphoranes
Saegusa and coll. have demonstrated that spiro-phosporanes can react with water to form polymers containing phosphodiester and phosphotriester monomer units.
[105] The ratio of monomer units was determined by the reaction time and the solvent (
Scheme 24), the maximum MW was 2.3 kDa.
Scheme 24. Preparation of PCPAs via thiol-ene polyaddition and subsequent oxidation by hydrogen peroxide.
[105]
6.4. Thiol-ene Polyaddition
Recently Wurm and coll. proposed a new approach to PCPAs based on metal-free-radical thiol-ene polyaddition of dithiol comonomer and bis(alkenyl) phosphate to produce alternating copolymer with hydrophilic ethylene glycol segments in the polymer backbone (
Scheme 25). To increase the hydrophilicity of the polymer, it was oxidized to the sulfone.
[106]
Scheme 25. Preparation of PCPAs via thiol-ene polyaddition and subsequent oxidation by hydrogen peroxide.[106]
6.5. Chain-End Vinyl Functionalization
Iwasaki described the use of methacrylamide-containing initiator in ROP of MeOEP, followed by the reaction with Me
3N, to obtain functionalized Na-PEP (
Scheme 26) suitable for free-radical graft polymerization
[100]. Strictly speaking, the products of the latter reaction cannot easily be classified as ‘main’- or ‘side’-chain PCPAs, such attribution depends on the length of the grafted polymer.
Scheme 26. Synthetic scheme of the polyphosphoester macromonomers.[100]
6.6. The Use of Bridged Cyclic Phosphates
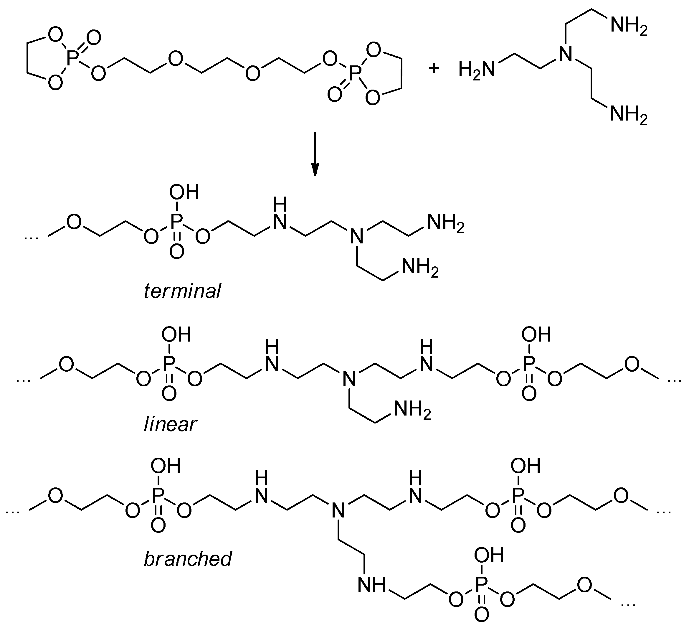
Highly branched phosphate nanogels were obtained by polymerization of bridged cyclic phosphoester, 3,6-dioxaoctan-1,8-diyl bis(ethylene phosphate) and tris(2-aminoethyl)amine, in the presence of Triton X-100 in cyclohexane.
[107] The product of this reaction contained three types of structural fragments (
Scheme 27).

Scheme 27. Various structures of the reaction products of 3,6-dioxaoctan-1,8-diyl bis(ethylene phosphate) with tris(2-aminoethyl)amine.[107]
6.7. Post-Modification of Polyphosphodiesters
Polyphosphodiesters contain reactive acidic P–OH fragments and can of course be chemically modified. The reaction of PCPAs with oxirans (oxyethylation) stops when all of the acidic groups are consumed,
[22] the synthesis of PEGylated polyphosphoesters requires the addition of an ‘external’ acid. Iwasaki synthesized polyphosphoester containing P–OCH
2OAc and P–OH groups by the reaction of poly(EtOEP)-
ran-PEPA with acetoxymethyl bromide.
[69]
7. Sequence-Defined Oligophosphodiesters
Nucleic acids are PCPAs that serve as the primary information-carrying molecules in cells. These natural PCPAs can be considered as sequence-defined poly(phosphodiesters) containing limited numbers of the ‘building blocks’. The maximum of the researchers’ interests in this area was highest during the 1980s, organochemical approaches to artificial DNA and close DNA analogs had been reviewed by Caruthers in 1991.
[102] The synthesis of ‘artificial’ nucleic acids is based on ‘phosphoramidite’ chemistry (
Scheme 28),
[108][109] initially developed for solid-phase DNA synthesis.
[102]
Scheme 28. Synthesis of sequence-defined PCPAs based on ‘phosphoramidite’ chemistry.
[108][109]
Sequence-defined PCPAs were recently reviewed by Häner et al,
[109] Charles and Lutz,
[110] and by Grass et al.
[111] High efficiency of the phosphoramidite approach was demonstrated mainly by Lutz and coll. in the preparation of sequence-defined PCPAs of different structures.
[108][110][112][113][114] In particular, a series of sequence-defined poly(phosphodiester)s were synthesized based on a cross-linked polystyrene bead with the use of three monomers
0–
2 (
Scheme 29a) prepared from the corresponding 1,3-diols.
[112] Monomers
0 and
1 were also used in the synthesis of ‘coded’ copolymers containing deprotected comonomer units τ and υ (
Scheme 29b) with a primer sequence containing three thymine nucleotides (
TTT).
[108] During the latter study, copolymer with
DPn >100 was prepared.
Scheme 29. (
a)
Synthesis of the phosphoramidite monomers.
[112] (
b) The sequence-defined copolymer with
DPn > 100 and the structures of the comonomer units.
[108]
In further research of ‘informational’ PCPAs, different types of spacers between phosphate fragments were investigated, including variably alkyl-substituted,
[115] N-(alkyl)-N,N-bis(alkylene)amine,
[113] N-(amidoalkyl)-N,N-bis(alkylene)amine,
[116], alkoxyamine,
[117] photo-editable substituted aryl.
[118]
A carefully developed strategy of the synthesis of ‘artificial’ NAs was further used in the preparation of aptamer-
b-poly(phosphodiester) conjugates containing conventional nucleic acid fragments.
[114] Interesting examples of the use of phopshoramidite chemistry was reported by Serpell et al. who have synthesized two sequence-isomeric polymers from dodecane diol (C12) and hexa(ethylene glycol) (HEG)-containing substrates, namely, C12
10-
b-HEG
10 block and (C12–HEG)
10 alternating copolymers (
Scheme 30).
[119]
Scheme 30. Synthesis of sequence-isomeric poly(phosphodiester)s.
[119]
‘Reading’ of the information is no less important and a no less time-consuming task in comparison with ‘recording’ using the phosphoramidite approach.
[120][121] Real prospects of the use of ‘digital’ synthetic PCPAs for data storage are unclear at the moment; however, DNA and its synthetic analogs are clear leaders among other data storage materials by the criteria of the lifetime and storage capacity. Although, this leadership is in place by the criterion of the price too (
Figure 3).
[111]
Figure 3. Lifetime, current storage capacity, and costs of various storage systems. Reprinted with permission from
[111]. Copyright (2021) Springer Nature.
Lutz and coll. have vividly illustrated the efficiency of the ‘molecular’ encryption with the use of ‘digital’ PCPAs by an example of the portrait of Antoine Laurent de Lavoisier (
Figure 4).
[122]
Figure 4. (
a) Design of the digital polymer. General molecular structure of poly(phosphodiester), structure of the eight synthons that permit to code binary information in the chains, and structure of the ten mass tags, which facilitate the decryption of the digital sequence by mass spectrometry; (
b) Polymer encryption. (i) Pixelation of the portrait of Lavoisier (20 × 22), (ii) transformation into a 440-bits string with 0 (white) and 1 (black), (iii) compression, (iv) translation into a chemical monomer sequence employing the building blocks shown in (
a). Reprinted with permission from
[122]. Copyright (2021) Institut de France Academie des Sciences.
8. Conclusion
In this research researchers tried to show all the diversity of the synthetic approaches to PPDEs. In our humble opinion, the consideration of PPDEs as a particular case of biodegradable polyesters or tailor-made functional polyolefins artificially limits the assessment of these type of materials. The fundamental difference of the PPDEs from biodegradable polyesters are lower hydrolytic stability, higher biocompatibility, ability to deliver drugs with basic fragments, and bone mineral affinity. The capability of the polyphosphodiesters to demonstrate osteoinductive effect, as well as to form complexes with bases, provide obvious prospects for the further fruitful development of composite materials for bone surgery and dentistry, as well as drug delivery vehicles for different therapeutic purposes. The very idea of the synthesis of amphiphilic block copolymers, bringing together lipophilic block (providing micelle formation, or compatibilization with polyester in polymer/inorganic composite) and hydrophilic polyphosphodiester block (osteoinductive, osteoconductive, able to drug delivery) began to be realized only in the recent years.