Metabolic disorder, which includes hypertension, diabetes mellitus, dyslipidemia, and obesity, represents a major global health concern due to increased morbidity and mortality. It occurs due to disturbance in normal metabolic process leading to redox and energy imbalance. Metabolic disorder, which includes hypertension, diabetes mellitus, dyslipidemia, and obesity, represents a major global health concern due to increased morbidity and mortality. It occurs due to disturbance in normal metabolic process leading to redox and energy imbalance.

| Plant Part | Type | Phytochemical | Potential Activity * | Reference | |||
|---|---|---|---|---|---|---|---|
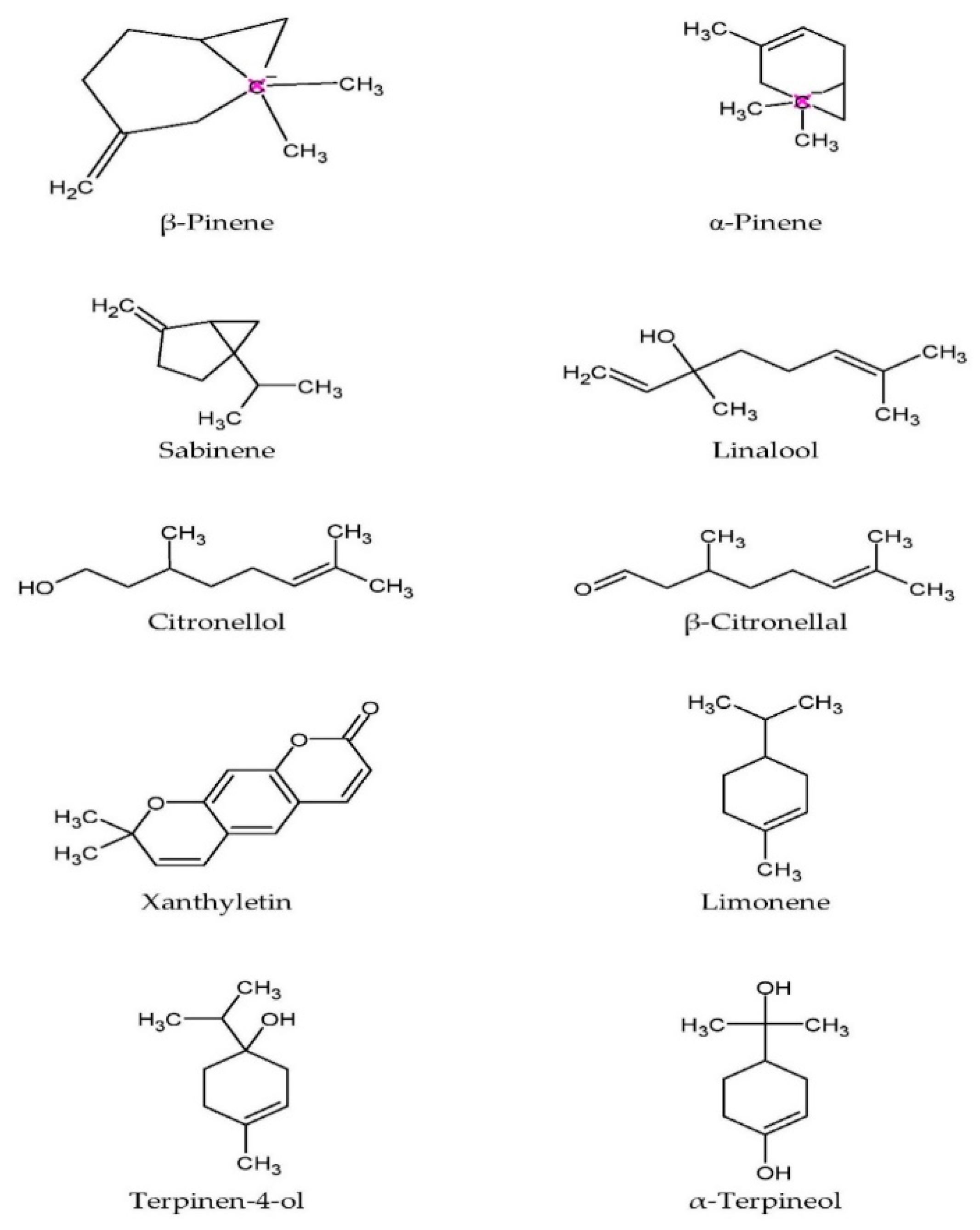
| Leaves | Monoterpenoids | Citronellal | Antimicrobial | [20] | |||
| Linalool oxide | [21] | ||||||
| Citronellol | |||||||
| Terpeneol | Hair loss | ||||||
| Geraniol | Fruit juice and rinds | An ingredient in jamu for promoting physical and general health | [10] | ||||
| α-Thujene | Fruits | Stomachache | |||||
| [11] | |||||||
| Leaves and fruits | Steam bath Aphrodisiac Diabetes mellitus Fever | ||||||
| Carvacrol | |||||||
| Citronellyl acetate | |||||||
| Neryl acetate | |||||||
| trans-p-Menth-6-ene-2,8-diol | |||||||
| Sesquiterpenes | |||||||
| α-Copaene | |||||||
| cis-Cadina-1,4-diene | |||||||
| Hedycaryol | |||||||
| Caryophyllene oxide | |||||||
| Cubenol | |||||||
| β-Eudesmol | |||||||
| (E)-β-Caryophyllene | |||||||
| trans-α-Bergamotene | |||||||
| α-Humulene | |||||||
| Germacrene D | |||||||
| Bicyclogermacrene | |||||||
| (E,E)-α-Farnesene | |||||||
| β-Bisabolene | |||||||
| δ-Cadinene | |||||||
| (E)-Nerolidol | |||||||
| Spathulenol | |||||||
| Globulol | |||||||
| Rind essential oil | Monoterpenes | α-Thujene | [38] | ||||
| α-Pinene | |||||||
| Camphene | |||||||
| Sabinene | |||||||
| β-Pinene | |||||||
| Myrcene | |||||||
| p-Cymene | |||||||
| β-Phellandrene | |||||||
| Limonene | |||||||
| trans-Linalool oxide | |||||||
| Linalool | |||||||
| Citronellal | |||||||
| Terpinen-4-ol | |||||||
| α-Terpineol | |||||||
| trans-Carveol | |||||||
| Citronellol | |||||||
| Geranyl acetate | |||||||
| Sesquiterpenes | α-Copaene | ||||||
| β-Elemene | |||||||
| δ-Cadinene | |||||||
| Ester | Hexyl hexanoate |

| Plant Extract | Model | Outcomes | Study | ||||
|---|---|---|---|---|---|---|---|
| Rinds and pulps (Powdered form) |
In vitro | ↑ glucose adsorption capacity ↓ glucose dialysis retardation index ↓ starch digestibility |
[43] | ||||
| Rinds (Ethyl acetate fraction and water residue) |
In vitro | ↓ α-amylase activity ↓ α-glucosidase activity ↓ Starch digestibility |
[44] | ||||
| Fresh fruit juice | In vitro | ||||||
| Rheumatism | |||||||
| [ | |||||||
| 13 | , | 14][13][14] | |||||
| Flu Hypertension Diarrhea Heart disease Dizziness Indigestion |
|||||||
| α-Cubene | |||||||
| β-Cubene | Leaves | ||||||
| Diterpene | Phytol | Antileukemic | [22] | Stomachache | |||
| [ | 10,18][10 | Triterpene][18] | |||||
| Lupeol | Antileukemic | [ | 21 | ,22,23][21][22][23] | To maintain healthy teeth and gums Scurvy |
||
| Agrostophillinol | Anti-inflammatory | [18] | Roots and leaves | Hypertension | [ | ||
| 15 | ] |
| Squalene | ||||
| [ | ||||
| 21 | ||||
| ] | ||||
| Tetranortriterpenoids | (limonins) |
Limonexin | [24] | |
| Limonexic acid | ||||
| Limonin | Antibacterial | |||
| Sesquiterpenes | Spathulenol | [21] | ||
| Nerolidol | ||||
| Germacrene | ||||
| Caryophyllene oxide |
||||
| Longipinenepoxide | ||||
| α-Cedrane |
| Plant Extract |
Model | Mode of Administration |
Outcomes | Study |
|---|---|---|---|---|
| Rinds (Ethanol) |
A high-fat diet- induced hyperlipidemia in rats |
Oral (35, 70, and 140 mg/kg bw) for 3 weeks | No significant change was noted in serum LDL level | [9] |
| Rinds (Ethanol) |
A high-fat diet- induced hyperlipidemia in rats |
Oral (35, 70, and 140 mg/kg bw) for 3 weeks | Extract at 70 and 140 mg/kg: ↓ serum TC |
[77] |
| Rinds (Methanol) | ↓ α-amylase activity | ↓ α-glucosidase activity Almost comparable to acarbose |
[45] | |
| Rinds (Ethanol) |
In vitro | ↓ α-amylase activity | [46] | |
| Leaves (Ethanol) |
In vivo STZ-induced diabetes in rats |
Extract at 150 and 300 mg/kg bw in drinking water for 8 weeks: ↓ fasting blood glucose ↓ cataract incidence ↓ oxidative stress and inflammation ↓ vascular leakage |
[7] | |
| Fruit juice in combination with other extracts (functional drink) | In vivo STZ-induced diabetes in rats |
Functional drink (18.2 mL/kg bw) for 14 days: ↓ fasting blood glucose ↑ pancreatic β-cell viability ↑ Langerhans islet viability |
[47 | |
| Globulol | ||||
| ] | ||||
| Phytosterols | Stigmasterol | |||
| Sitosterol | ||||
| Lanost-7-en-3-one | ||||
| Glyceroglycolipids | l,2-di-O-a-linolenoyl-3-O-galactopyranosyl-sn-glycerol l-O-a-Linolenoyl-2-O-palmitoyl-3-O-galactopyranosyl-sn-glycerol |
Viral tumor- promoting inhibitors |
[25] | |
| Phenol | α-Tocopherol | Antioxidant | [21,26][21][26] | |
| Flavonoids | Cyanidin | Antioxidant | [27,28][27][28] | |
| Myricetin | ||||
| Peonidin | ||||
| Quercetin | ||||
| Luteolin | ||||
| Hesperetin |

| Plant Extract | Model | Mode of Administration |
Outcomes | Study | |||
|---|---|---|---|---|---|---|---|
| Leaves (Aqueous) |
In vitro | - | Good ACE-inhibiting activity (~90%) | [59] | |||
| Leaves (Ethanol) |
OVX rats fed a high-fat diet for 6 months | Addition of extract into the frying oil (1%) | Both in 5HPO and 10HPO groups: ↓ PV in oil, ↓ BP, ↓ serum oxidative product, ↑ serum antioxidant enzymes |
[64] | |||
| Leaves (Ethanol) |
Heated oil diet-induced in rats for 16 weeks | Addition of extract into the frying oil (1%) | Both in 5HPO and 10HPO groups: | A high-fat diet- induced hyperlipidemia in rats ↓ PV and ↑ TPC in oil ↓ BP, ↑ plasma NO, ↓ vasoconstriction response to PE ↑ vasorelaxation response to ACh and SNP, ↓ TI/TM. ↓ VCAM |
Oral (500 mg/kg) for 14 days | ↓ serum TC ↓ serum TG ↑ serum HDL ↓ serum LDL[63] |
|
| [ | 79 | ] | Leaves (Ethanol) |
Heated oil diet-induced in rats for 16 weeks | Dietary (0.15%) | In 5HPO group but not in 10HPO group: ↓ BP, ↓ plasma TBARS, ↓ serum ACE, ↓ plasma TXB2, ↓ IMA, ↓ IMT, ↓ CWT In both 5HPO and 10HPO groups: ↑ serum HO-1, ↔ plasma PGI2 |
[8] |
| Leaves (Ethanol) |
Heated oil diet-induced in rats for 16 weeks | Dietary (0.15%) | In 5HPO group but not in 10HPO group: ↑ plasma NO, ↓ vasoconstriction response to PE ↔ vasorelaxation response to ACh and SNP |
[66] | |||
| Leaves (Ethanol) |
OVX rats fed a high-fat diet for 6 months | Addition of extract into the frying oil (1%) | In both 5HPO and 10HPO groups: ↓ serum CRP, ↓ serum TNF-α, ↓ cardiac troponin, ↓ cardiac LDH |
[67] | |||
| Leaves (Ethanol) |
Heated oil diet-induced in rats for 16 weeks | Dietary (0.15%) | Both 5HPO and 10HPO groups: ↓ renal TBARS, ↓ renal NOX, ↑ renal HO, ↓ serum creatinine in 5HPO group |
[68] | |||
| Apigenin | |||||||
| Isorhamnetin | |||||||
| Hesperidin | |||||||
| [ | 7 | ] | |||||
| Diosmin | |||||||
| Apiin | |||||||
| Saponarin | |||||||
| Apigetrin | |||||||
| Rutin | |||||||
| Eriodictyol rutinoside |
[28] | ||||||
| Eriodictyol neohesperidoside |
|||||||
| Phloretin | |||||||
| Diosmetin | |||||||
| Roots | Coumarins | Hystrixarin | [7,24,29][7][24][29] | ||||
| Hopeyhopin | |||||||
| Peroxytamarin | |||||||
| Tamarin | Antibacterial | ||||||
| Trans-decursidinol | |||||||
| Suberosin | |||||||
| Scoparone | |||||||
| Scopoletin | |||||||
| Umbelliferone | |||||||
| cis-Khellactone | |||||||
| Oxypeucedanin hydrate | |||||||
| cis-Casegravol | |||||||
| Citrusarin A-B | |||||||
| Seselin | |||||||
| 5-Hydroxy-seselin | |||||||
| Dipetalolactone | |||||||
| Xanthyletin | |||||||
| Osthenol | |||||||
| Isoimperatorin | |||||||
| Xanthotoxol | |||||||
| Benzenoid | Hystroxene-I | ||||||
| Quinolinone | Hystrolinone 1-Methyl-2-n-nonyl-4-quinolinone |
||||||
| Cinnamyl alcohol | Etrogol | ||||||
| Alkyl phenylketones |
Xanthoxylin (Brevifolin) | Antibacterial | |||||
| Flavonoids | Crenulatin | ||||||
| Yukovanol | Antibacterial | ||||||
| P-hydroxy-benzaldehyde | |||||||
| Acridone | Baiyumine-A | ||||||
| 5-Hydroxy-noracronycine | Anti-HIV-1 protease Antioxidant |
||||||
| Citracridone-I | |||||||
| Citpressine-I | |||||||
| Citramine | |||||||
| Benzoic acid | Valencic acid | ||||||
| p-Hydroxybenzoic acid | |||||||
| Lignan | Syringaresinol | Antioxidant Antibacterial |
|||||
| Suberin | 20,30-dihydroxydihydrosuberin | ||||||
| Phenolic | Vanillic acid | ||||||
| Tyrosol | |||||||
| Rinds | Coumarins | Citrusosides B–D | Anticholinesterase | [30] | |||
| Oxypeucedanin methanolate |
[31] | ||||||
| Oxypeucedanin hydrate |
|||||||
| Isoimperatorin | |||||||
| Oxypeucedanin | |||||||
| Pabulenol | |||||||
| Bergamottin | |||||||
| Hydroxy-7′-methoxy-bergamottin | |||||||
| 6′,7′-dihydroxy-bergamottin | |||||||
| 7-hydroxycoumarin | |||||||
| Umbelliferone | α-Amylase inhibitor | [32] | |||||
| Bergamottin | [33] | ||||||
| Oxypeucedanin | |||||||
| Citrusoside E-G | |||||||
| Citrusoside H | Anticholinesterase | ||||||
| Citrusoside I-O |

| Leaves | ||||
| (Ethanol) | OVX rats fed a high-fat diet for 6 months | Addition of extract into the frying oil (1%) | ↓ cardiac free fatty acid ↓ cardiac TG |
[67] |
| Leaves (Ethanol) | In vitro | - | Pancreatic lipase activity inhibition: Extract: 58%. Isolate β-sitosterol (100 μg/mL): 79% Isolate 3-[O-α-galactopyranosyl-(1”→ 6’)-O-β- galactopyranosyl]-1-O-linolenyl-2-O-palmitylglyceride (100 μg/mL): 88% |
[80] |
| Leaves in combination with galangal rhizomes and lemongrass extracts (Aqueous) |
Hyper- cholesterolemic diet (3% cholesterol) in rats |
Oral mixed extract at 400 mg/kg/day for 28 days | Compared to simvastatin-treated group: ↔ serum lipid profile ↔ centrilobular steatotis ↔ periportal steatosis ↔ hepatitis |
[81] |
| Bergaptol | ||||
| Antioxidant | ||||
| Anticholinesterase | ||||
| Antitumor | ||||
| α-Amylase inhibitor | ||||
| [ | ||||
| 32 | ||||
| ] | ||||
| Isoimperatorin | ||||
| Antioxidant | ||||
| Antitumor | ||||
| α-Amylase inhibitor | ||||
| Pectin | ||||
| Anhydrouronic acid (85%) | ||||
| [ | ||||
| 34 | ||||
| ] | ||||
| Monoterpenes | ||||
| β-pinene | ||||
| Limonene | ||||
| Sabinene | ||||
| Antimicrobial | ||||
| [ | ||||
| 20 | ||||
| ] | ||||
| Tetranor-triterpenoids | ||||
| Limonin | ||||
| Metal chelator | ||||
| α-Amylase inhibitor | ||||
| [ | ||||
| 32 | ||||
| ] | ||||
| Acridone | ||||
| Citracridone I | ||||
| Antioxidant | ||||
| Metal chelator | ||||
| Antitumor | ||||
| α-Amylase inhibitor | ||||
| Phytosterol | Daucosterol | Antioxidant | Antitumor α-Amylase inhibitor |
|
| Stigmasterol | Antioxidant Metal chelator Antitumor α-Amylase inhibitor |
|||
| Flavonoids | Trihydroxypyranoflavone | α-Amylase inhibitor Anticholinesterase Antitumor |
||
| Dimethyl-6-prenylpyranoflavone | Anticholinesterase Antitumor α-Amylase inhibitor |
|||
| Tangeretin | Antioxidant Antitumor α-Amylase inhibitor |
|||
| Nobiletin | Antioxidant Metal chelator Antitumor α-Amylase inhibitor |
|||
| Tetramethoxyflavone | Antioxidant Metal chelator Antitumor α-Amylase inhibitor |
|||
| Natsudaidain | Antioxidant Metal chelator |
|||
| Quercetin | [19] | |||
| Hesperidin | ||||
| Hesperitin | [33] | |||
| Fruits | Coumarins | Bergamottin | Nitric oxide synthesis inhibitor, antitumor |
[25,31][25][31] |
| Oxypeucedanin | Nitric oxide synthesis inhibitor |
|||
| 5-[(6′,7′-Dihydroxy-3′,7′-dimethyl-2-octenyl)oxy]psoralen | ||||
| Twig Essential oil | Monoterpenes | β-citronellal | [35] | |
| 4-Terpeneol | ||||
| L-linalool | ||||
| β-Citronellol | ||||
| Citronelyl acetate | ||||
| Sabinene | ||||
| β-Pinene | ||||
| β-Micrene | ||||
| Tran-β-ocimene | ||||
| (-)-Isopulegol | ||||
| Cis-Linalol oxide | ||||
| Sesquiterpenes | Trans-β-caryopilene | |||
| Nerolidol | ||||
| Leaf essential oil | Monoterpenes | α-Pinene | [36,37,38,39][36][37][38][39] | |
| Camphene | ||||
| β-Pinene | ||||
| β-Myrcene | ||||
| α-Phellandrene | ||||
| β-Phellandrene | ||||
| β-Car-3-ene | ||||
| p-Cymene | ||||
| Limonene | ||||
| 1,8-Cineole | ||||
| p-Mentha-2,4(8)-diene | ||||
| Linalool | ||||
| endo-Fenchol | ||||
| cis-p-Menth-2-en-ol | ||||
| Sabinene | ||||
| α-Terpinene | ||||
| (E)-β-Ocimene | ||||
| γ-Terpinene | ||||
| Terpinolene | ||||
| trans-p-Menth-2-en-ol | ||||
| p-Menth-8-en-3-ol | ||||
| Citronellal | ||||
| Geranial | ||||
| Isopulegol | ||||
| Isoneopulegol | ||||
| Borneol | ||||
| Terpinen-4-ol | ||||
| p-Cymen-8-ol | ||||
| Geranyl acetate | ||||
| α-Terpineol | ||||
| Myrtenol | ||||
| trans-Piperitol | ||||
| Citronellol | ||||
| Geraniol | ||||
| Bornyl acetate | ||||
