Araticum (Annona crassiflora Mart.) is a native and endemic species to Brazilian Cerrado whose fruits have high sensorial, nutritional, bioactive, and economic potential. Its use in local folk medicine, associated with recent scientific findings, has attracted growing interest from different industrial sectors. Therefore, understanding the scientific advances achieved so far and identifying gaps to be filled is essential to direct future studies and transform accumulated knowledge into innovative technologies and products. HThis ere, we ntry summarizes the phytochemical composition of araticum fruit that has been reported in the scientific literature over the past 10 years. The compiled data showed that araticum fruit parts contain many bioactive compounds, particularly phenolic compounds, alkaloids, annonaceous acetogenins, carotenoids, phytosterols, and tocols. These phytochemicals contribute to different biological activities verified in araticum fruit extracts/fractions, including antioxidant, anti-inflammatory, anti-Alzheimer, anticancer, antidiabetic, anti-obesity, antidyslipidemic, antinociceptive, hepatoprotective, healing of the cutaneous wound, antibacterial, and insecticide effects. Therefore, bioactive compounds found in the araticum fruit can be a new potential tool in treating and preventing different diseases, promoting health and well-being to consumers.

| Bioactive Compounds | Fruit Part | Sample Form | Technique Used | Major Findings | Ref. |
|---|---|---|---|---|---|
| Phenolic compounds | Pulp | Hydroethanolic extract (40% ethanol) | HPLC-ESI-MS/MS |
|
[12] |
| Pulp | Hydroethanolic extract (70% ethanol) and its ethyl acetate fraction | HPLC-ESI-MS/MS |
|
[13] | |
| Pulp | Hydromethanolic extract (70% methanol) | HPLC-DAD |
|
[14] | |
| Peel | Hydroethanolic extract (50% ethanol) | HPLC-ESI-MS/MS |
|
[15] | |
| Peel | Ethyl acetate and n-butanol fractions from the ethanolic extract | HPLC-ESI-MS/MS |
|
[16] | |
| Peel | Proanthocyanidins-rich fraction obtained from sequential purification of ethanolic extract | HPLC-ESI-MS/MS |
|
[17] | |
| Peel | Ethanolic extract and its ethyl acetate fraction | HPLC-ESI-MS/MS |
|
[18] | |
| Seeds | Hydromethanolic extract (70% methanol) | HPLC-DAD |
|
[19] | |
| Seeds | Methanolic extract | HPLC-DAD |
|
[20] | |
| Pulp and seeds | Ethanolic extract | PS-MS |
|
[21] | |
| Peel and seeds | Methanol-acetone-water (7:7:6, v/v/v) extract | HPLC-ESI-MS/MS |
|
[22] | |
| Pulp, peel, and seeds | Aqueous extract | PS-MS |
|
[23] | |
| Pulp, peel, and seeds | Methanol-acetone-water (7:7:6, v/v/v) extract | HPLC-ESI-MS/MS |
|
[24] | |
| Alkaloids | Pulp | Hydroethanolic extract (70% ethanol) and its ethyl acetate fraction | HPLC-ESI-MS/MS |
|
[13] |
| Peel | Ethanolic extract | HR-ESI-MS and NMR |
|
[25] | |
| Peel | Ethanolic extract | HR-ESI-MS and NMR |
|
[26][27][28] | |
| Peel | Dichloromethane fraction from the ethanolic extract | HPLC-ESI-MS/MS |
|
[29] | |
| Pulp and peel | Ethanolic extract | PS-MS |
|
[21] | |
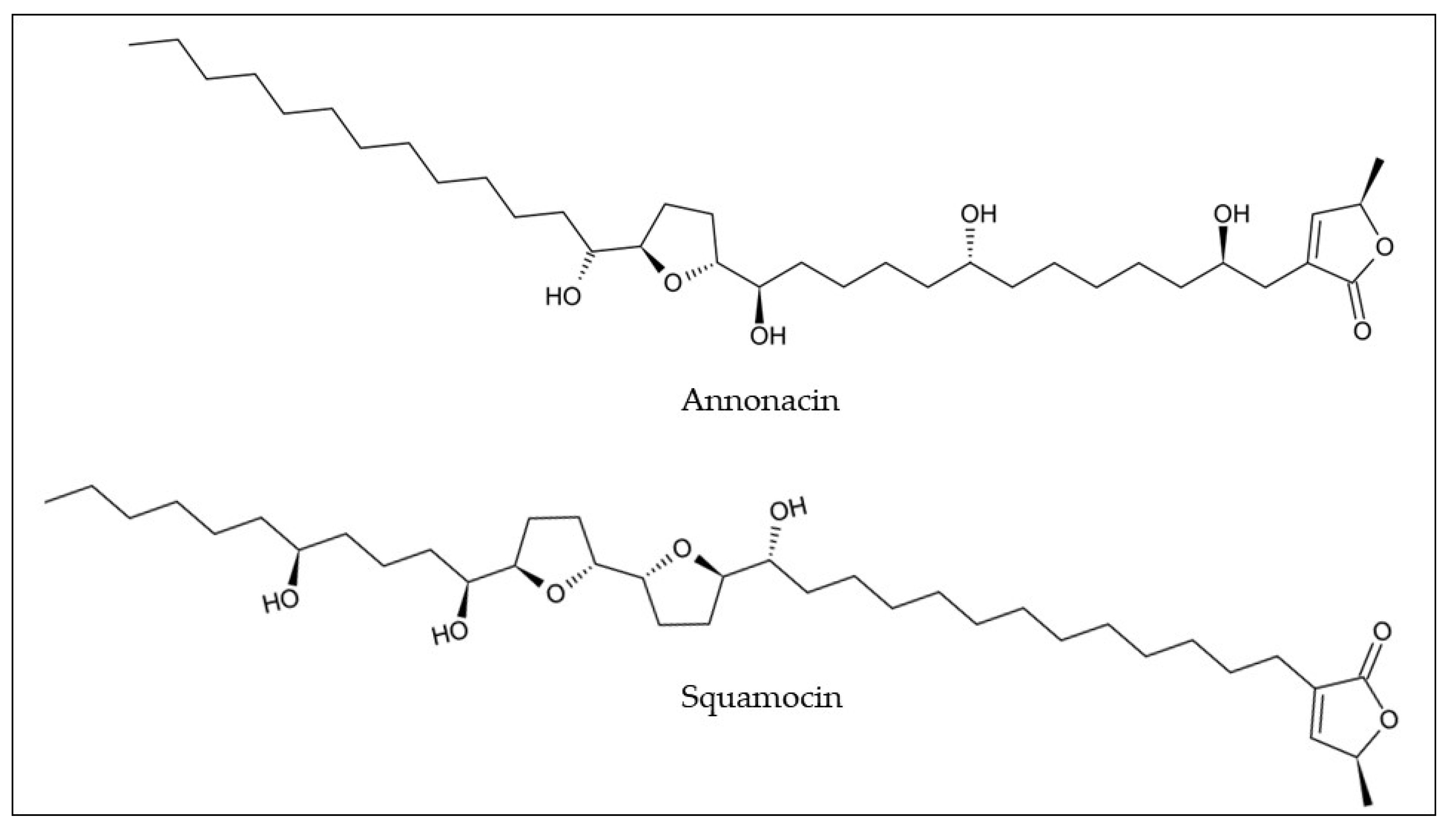
| Annonaceous acetogenins | Pulp | Hydroethanolic extract (70% ethanol) and its ethyl acetate fraction | HPLC-ESI-MS/MS |
|
[13] |
| Peel | Hydroethanolic extract (50% ethanol) | HPLC-ESI-MS/MS |
|
[15] | |
| Peel | Dichloromethane fraction from the ethanolic extract | HPLC-ESI-MS/MS |
|
[29] | |
| Pulp and seeds | Methanolic extract | LC-HRMS |
|
[30] | |
| Pulp, peel, and seeds | Ethanolic extract | PS-MS |
|
[21] | |
| Carotenoids | Pulp | Acetone extract | HPLC-DAD |
|
[31] |
| Pulp | Acetone extract | HPLC-DAD |
|
[32] | |
| Phytosterols | Seeds | Chloroform-methanol-water (2:1:0.8, v/v/v) extract | GC-FID |
|
[33] |
| Tocols | Pulp | Fruit pulp was extracted with heated ultrapure water-isopropanol-hexane containing 0.05% of BHT-solvent mixture (hexane-ethyl acetate, 85:15, v/v) (4:10:1:25, v/v/v/v) | HPLC-FLD |
|
[31] |
| Seeds | Chloroform-methanol-water (2:1:0.8, v/v/v) extract | HPLC-FLD |
|
[33] |





