The bioactive chemical compounds responsible for these benefits are known as phytochemicals (PHYs). Specifically, PHYs are defined as bioactive chemical compounds found in plants, such as fruits, vegetables, grains, and other plant-derived foods, that may supply health benefits beyond basic nutrition and could help to reduce the risk of major chronic diseases. PHYs are generally produced by plants to help themselves resist fungi, bacteria, and plant virus infections and also to hamper their consumption by insects and other animals
| Edible Plants | Essential Oils | Benefits | |
|---|---|---|---|
| Brightly Colored | Not Brightly Colored | ||
| Berries | Potatoes Almonds Pecans Pistachios Cauliflower Walnuts Cashews Hazelnuts Tea Dark chocolate Cacao beans Barley Beans Lentils Rice Coffee Mung beans Soybeans Cloves Cinnamon Cumin Nutmeg |
Pine needles Cedar Lavender |
Boost the immune system [13] Combat OS and FR [14] ⇓ Blood sugar levels [14][15] ⇓ Blood pressure [13] ⇓ Diabetes risk [14][16] ⇓ Serious health issues [14][16] Prevent chronic disease [13][14] Protect from pathogens [17][18][19] Protect brain and liver [13] ⇓ Cholesterol [13] ⇓ Inflammation [14][20][21] Support detoxification [14][22] Ward off osteoporosis [13] |
| Cranberries | |||
| Blackberries | |||
| Strawberries | |||
| Cherries | |||
| Currants | |||
| Grapes | |||
| Plums | |||
| Purple potatoes | |||
| Red Cabbage | |||
| Cabbage | |||
| Kohlrabi | |||
| Broccoli sprouts | |||
| Apples | |||
| Bananas | |||
| Peaches | |||
| Antiparasitic herbs | |||
| Egg yolks | |||
| Orange peppers | |||
| Oranges | |||
| Pumpkins | |||
| Yellow corn | |||
| Kale | |||
| Parsley | |||
| Romain lettuce | |||
| Spinach | |||
| Olive oil | |||
| Melons | |||
| PHYs | Sources | Health Benefits |
|---|---|---|
| Carotenoids [26][27] | Carrots, tomatoes, parsley Orange and green leafy vegetables Chenopods, fenugreek Spinach, cabbage, radish, turnips |
Act as antioxidants Protect against uterine, prostate, colorectal, lung digestive tract cancers |
| Phytosterols [27][28] | Vegetables, nuts, fruits, seeds | Suppress the growth of diverse tumor cell lines |
| Limonoids [27] | Citrus fruits | Inhibit phase I enzymes and induce phase II detoxification enzymes in liver Provide protection to lung tissue, detoxify enzymes |
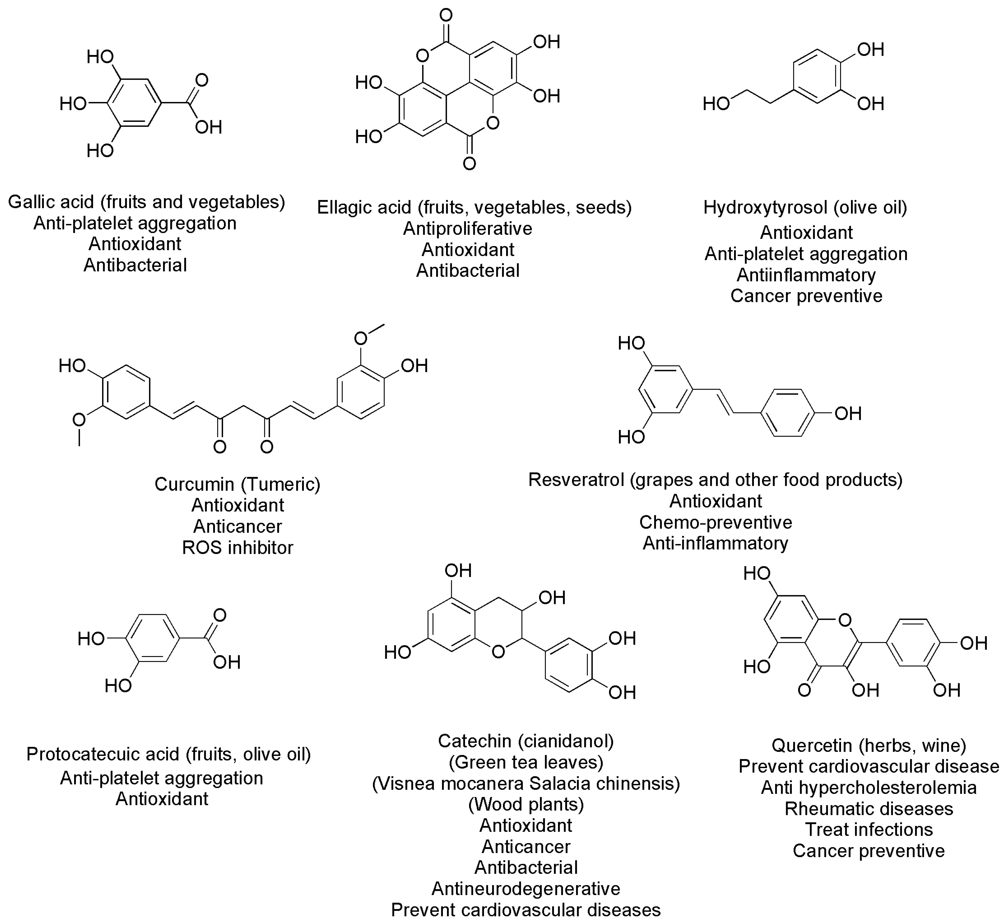
| Curcuminoids [27] | Turmeric, curry powder, mango, ginger | Analgesic, anti-inflammatory, anticancer, antioxidative Anti-depressive Protective against hay fever and depression, ⇓ cholesterol and itching risk |
| Indole compounds [27] (indole-3-carbinol) |
Cabbage, cauliflower, broccoli, kale Brussels sprouts |
Strong antioxidant, DNA protector, chemo-preventive, anticancer ⇑ Heart health |
| Alkaloids [29] | Plants (also animals and bacteria) | Antimalarial, antiasthma, anticancer, cholinomimetics Vasodilatory, antiarrhythmic Analgesic, antibacterial, antihyperglycemic, psychotropic, stimulant |
| Phytoprostanes [30] Phytofurans [30] |
Almonds, vegetal oils, olives, algae Passion fruit, nut kernels, rice |
Immunomodulators, anti-inflammatory, antitumor |
| Polyphenols [27] | Fruits, vegetables, cereals, beverages, legumes Chocolates, oilseeds |
Action against free radicals, anti-inflammatory, anti-allergenic Inhibition of platelet aggregation, protective against hepatotoxins |
| Flavonoids * [27] | Fruits, vegetables, cereals, beverages, legumes Chocolates, oilseeds |
Action against free radicals, anti-inflammatory, anti-allergenic Inhibition of platelet aggregation, protective against hepatotoxins |
| Iso-flavonoids ** [27] | Fruits, vegetables, cereals, beverages, legumes Chocolates, oilseeds |
Action against free radicals, anti-inflammatory, anti-allergenic Inhibition of platelet aggregation, protective against hepatotoxins |
| Anthocyanidins ** [27][31][32][33] Anthocyanins ** [27][31][32][33] |
Fruits, vegetables, cereals, beverages, legumes Chocolates, oilseeds |
Act against free radicals, anti-inflammatory, anti-allergenic Inhibit platelet aggregation, protect against hepatotoxins Help control weight, prevent heart disease Increase insulin sensitivity Reduce inflammation, decrease diabetic complications, protect DNA Protect the brain Boost other PHYs and phytonutrients |
| Glucosinolates [27] | Cruciferous vegetables | Protection against cancer of colon, rectum, stomach |
| Phytoestrogens [27] | Legumes, berries, whole grains, cereals Red wine, peanuts, red grapes |
Protection against bone loss, heart disease, cardiovascular diseases Protection against breast and uterine cancers |
| Terpenoids [27] Isoprenoids [27] |
Mosses, liverworts, algae, lichens, mushrooms | Antimicrobial, antiparasitic, antiviral, antiallergic, anti-inflammatory Chemotherapeutic, antihyperglycemic, antispasmodic |
| Fibers [34] | Fruits and vegetables (green leafy), oats | ⇓ Blood cholesterol, ⇓ cardiovascular disease |
| Polysaccharides [27] | Fruits and vegetables | Antimicrobial, antiparasitic, antiviral, antiallergic, anti-inflammatory ⇓ Serum, ⇑ defense mechanisms |
| Saponins [27] | Oats, leaves, flowers, green fruits of tomato | Protection against pathogens, antimicrobial, anti-inflammatory Antiulcer agent |
| Tannins [27] | Cranberries, currants, blackberries, apples, grapes, peaches Strawberries, almonds Hazelnuts, pecans, pistachios, walnuts, barley beans, lentils, rice Tea, cacao beans Dark chocolate, antiparasitic herbs |
Act as antioxidants, fight pathogens, ⇓ blood pressure, ⇓ inflammation ⇓ Serious health risks Regulate the immune system |
| Lutein [27] Zeaxanthin [27] |
Egg yolks, orange peppers, oranges, pumpkins, yellow corn, kale Parsley, romaine lettuce, spinach, pistachios, olive oil | Protect retina from damage, ⇑ eye function ⇑ Memory and brain function Promote the body’s use of insulin, ⇑ skin health, ⇓ blood pressure ⇓ Inflammation Support heart health |
| Eugenol [35] | Cloves, cinnamon, cumin, nutmeg, coffee Mung beans, soybeans, bananas, melons Strawberries, tomatoes |
Acts as anti-inflammatory and antioxidant, eliminates parasites, fights fungi Inhibits serious health concerns, protects the brain and the liver, ⇓ Bacterial biofilm Supports heart and stomach health |


| Color Group | Foods | PHYs | Properties | Refs. |
|---|---|---|---|---|
| Green | Asparagus, avocados, celery, cucumbers Green beans, green peppers, kale, kiwi Spinach, zucchini |
EGCG, glucosinolates Indoles, isoflavones Isothiocyanates, lutein, and zeaxanthin Sulforaphane |
Promote wound healing and healthy gums Support arteries, blood cells, eyes, liver, and lungs |
[2][54] |
| Purple | Black beans, blackberries Eggplants, elderberries, plums Purple cabbage, purple grapes, raisins |
Anthocyanins, flavonoids, phenols Tannins, RES |
Protect against serious health issues Support arteries, bones, brain, cognition, healthy aging, and heart |
[2][54] |
| Red | Cherries, cranberries, kidney beans Red beans, strawberries, tomatoes Watermelon |
Anthocyanins, ellagic acid, eugenol Hesperidin Lycopene, tannins, quercetin |
Protect against heart disease and other serious health issues Support prostate, urinary tract, and DNA health |
[2][54] |
| Yellow | Apricots, cantaloupe, carrots, grapefruit Yellow pears, yellow peppers Yellow winter squash |
α-Carotene, β-carotene, β-cryptoxanthin, Lutein, zeaxanthin, hesperidin | Boost the immune system, support heart and vision health | [2][54] |
| White | Apples, cauliflower Great northern beans Mushrooms, onions |
Allicin, ECGC, glucosinolates, indoles Tannins, quercetin | Protect against heart disease and other serious health issues Support arteries, bones, and circulation |
[2] |
This entry is adapted from the peer-reviewed paper 10.3390/ijms24129824