Phenolic compounds are secondary metabolites present in grapes and wine that can be formed and transformed during the winemaking process. Phenolics can be classified as flavonoids (e.g., anthocyanins, flavan-3-ols, flavonols) and non-flavonoids (e.g., phenolic acids, stilbenes).
Wine is a product with high commercial value and relevant cultural aspects. Its desirability on the market, combined with high prices that consumers are willing to pay for top quality bottles, is a cause for food frauds [1][2], also with very recent examples [3]. Recently, over one million liters of counterfeit wine were discovered by the European Anti-Fraud Office [4]. Mislabeling of variety, geographical origin, or vintage year and adulteration with ethanol, sugar, and colorants are typical examples of frauds related to wine [5]. Therefore, the wine industry and consumers are highly concerned about the quality and authenticity of wine [6].
Wine quality is determined by several factors such as the type (or blend) of grape varieties, the terroir, the viticultural practices, the winemaking techniques, and the aging conditions [7][8][9]. The variety of grapes is a key factor in determining the wine flavor, especially during the production of premium wines. Thus, the adulteration of these types of wines with cheaper grape varieties is common [10][11][12]. Terroir is a French term that defines the very specific combination of geographical, climatic, and pedological factors, characterizing the growth and quality of the grapes. Terroir is mainly influenced by the climate and soil conditions, and it is strongly related to viticultural practices and vintage year [13][14][15].
One of the aspects related to wine authenticity is based on the (blend of) grape varieties used in winemaking, their geographical origin, and vintage. In Europe, the authenticity related to the terroir is guaranteed by strict guidelines adopted by the European Union also based on the national rules and the indications of The International Organization of Vine and Wine [16].
Wine quality evaluation is based on sensory and chemical analyses. In the sensory tasting, wine quality indicators, such as color, mouthfeel, and taste are largely, but not exclusively, influenced by the phenolic profile. Thus, phenolic compounds are widely used for the wine quality and authenticity assessment [17][18][19].
Phenolic compounds are secondary metabolites present in grapes and wine that can be formed and transformed during the winemaking process. In addition, wine phenolics can derive from wood products (containers or derived products) used for the winemaking.
Phenolics can be classified as non-flavonoids (e.g., phenolic acids, stilbenes, volatile phenols) [20][21] and flavonoids (e.g., anthocyanins, flavan-3-ols, flavonols). The phenolic compounds mostly applied for the quality and authenticity assessment of wine are phenolic acids, flavonoids, tannins, and stilbenes.
There are two main groups of phenolic acids that are used for the quality and authenticity assessment and are significant for white grapes and wines: hydroxybenzoic acids (containing seven carbon atoms) and hydroxycinnamic acids (nine carbon atoms, phenylpropanoid derivatives). Model structures are reported in Figure 1.

Figure 1. Model structure for common natural hydroxybenzoic acids (upper left), hydroxycinnamic acids (upper right), and an example of a cinnamic acid derivative present in grape and wine (lower). For the simple phenols, the hydroxylation substitutions on aromatic rings are generically shown by curled bonds.
Hydroxycinnamic acids (e.g., caffeic, coumaric, ferulic, and sinapic) can be found in two isomeric forms (cis and trans) because of the presence of an α,β-unsaturated carboxylic acid functional unit. Hydroxybenzoic and hydroxycinnamic acids do not only occur in their free forms but also as derivatives in conjugated or esterified forms as well, such as caftaric acid (trans-caffeoyl tartaric acid) (Figure 1) and its adduct with glutathione, which leads to 2-S-glutathionylcaftaric acid (grape reaction product)[22][23], or fertaric acid (an ester formed from ferulic acid bound to tartaric acid) and coutaric acid (an ester formed from coumaric acid and tartaric acid). Hydroxycinnamic acids in wine originate during fermentation from the hydrolysis of hydroxycinnamic tartaric esters [13][24]. They can be an oxidation substrate and precursors of browning of white wines and may give a bitter flavor [13][25].
Flavonoids comprise a wide range of 15-carbon compounds, having in their structures two aromatic rings bound through a three-carbon chain. Model general structures for the most common families of natural flavonoids are reported in Figure 2.

Figure 2. Model structures for common natural flavonoids. Hydroxylation substitutions and stereogenic configuration patterns are not explicitly shown for brevity.
Wine flavonoids occur both in free and conjugated forms, as for example glucosides. The most important classes of flavonoids that have been applied as chemical markers are anthocyanins, flavonols, and flavan-3-ols. The most common mono-glycosylated anthocyanin forms are summarized in Figure 3. Anthocyanins can be classified into mono-, di- and trisubstituted congeners according to the total number of hydroxyl and methoxy groups present in the lateral ring (they can be 2 or 3 considering R1, R2, and R3 in Figure 3). Anthocyanins are not only found in simple mono-glycosylated or di-glycosylated forms, but they can also be esterified on the glycosidic moiety, such as acetyl-glucosides, p-coumaroyl-glucosides, and caffeoyl-glucosides (acylated anthocyanins).

Figure 3. Structures of mono-glycosylated anthocyanins.
Each grape variety presents a typical anthocyanin pattern [26][27]; thus, anthocyanins are the most applied flavonoids for the assessment of authenticity and quality of red wines. These protocols are based on the differentiation between (a) different anthocyanidin congeners, (b) anthocyanins mono- and di-glucosides (3-O-glucoside derivatives are shown in Figure 3), and (c) acylated or non-acylated anthocyanins.
Aged red wines (and aged fruit juices in general) may contain pyranoanthocyanins, a class of anthocyanin-derived pigments. Pyranoanthocyanins usually originate from the condensation of anthocyanins with phenolic (cinnamic) acids or organic acids occurring during aging [28]. The main congeners identified so far are A-type and B-type vitisins, methylpyranoanthocyanins, pinotins, flavanol-pyranoanthocyanins, oxovitisins and A-type portisins and are responsible for the color stabilisation of red wines [29].
Flavonols show an unsaturation between C2 and C3. They are hydroxylated in the position C3 and have a carbonyl group in C4. Flavonols are present in wine as aglycones and glycosylated forms [30]. The most abundant flavonols in wines are quercetin and myricetin [31]. Differently from flavonols, flavan-3-ols have a saturated carbon bond between C2 and C3 and no carbonyl group. Catechin, epicatechin, and their derivatives (e.g., gallocatechin, epicatechin gallate) are the most abundant flavan-3-ols in wine. Some derivatives show also the presence of an ester with gallic acid in C3 [32]. A particular type of flavonoids, condensed tannins (or proanthocyanidins), are oligomeric or polymeric forms of flavan-3-ols.
The general definition of tannins include two very different chemical classes of phenolic compounds: hydrolyzable tannins and condensed tannins; tannins give the astringency perception to wines [33]. Hydrolizable tannins are named as gallotannins (derivatives of gallic acid) or ellagitannins (derivatives of ellagic acid) depending in which acid they are converted upon hydrolysis [34]. Unlike hydrolysable tannins, condensed tannins are oligomers or polymers of flavan-3-ols, depending on their degree of polymerization. Condensed tannins are also called proanthocyanidins and their degree of polymerization (DP) may range from 2 to about 20 in wine; their solubility tends to decrease with the increasing number of monomeric units [35][36]. They show a great variability of isomers, depending on the geometry of their bindings and the type of monomers involved (Figure 4). They influence the taste (bitterness and astringency) of wine [37] and the color stabilization by combining with anthocyanins in red wines [38].

Figure 4. Example of isomerism for dimeric procyanidins: procyanidin B1 (A), procyanidin B2 (B), procyanidin B3 (C), procyanidin B4 (D). They are precursors of condensed tannins.
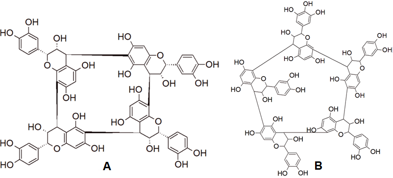
Recently, tetra-, penta- and hexameric proanthocyanidins with a cyclic macromolecular structure have been identified in small amounts both in white and red wines. An example is given in Figure 5 [39][40]. They can be subclassified into cyclic procyanidins and cyclic prodelphinidins; the latter ones may contain a different number of (epi)gallocatechin monomers [41]. Remarkably, the proportion of cyclic species vs the total amount (per number of monomeric units) was shown to be affected by the grape varieties of the wine [42]. Notably, the actual extent of the natural distribution of these compounds is yet not completely known; some of these compounds have been also found in cranberries (Vaccinium macrocarpon) [43].

Figure 5. Resolved molecular structure of cyclic tetrameric procyanidin (A) [44] and structure of cyclic pentameric prodelphinidin with one (epi)gallocatechin unit (B) [45].
In enology, also the use of exotic tannins is allowed, such as those extracted from quebracho (Schinopsis balansae), mimosa or myrabolan [46]. The tannins obtained from quebracho and mimosa can be classified as condensed tannins with profisetidin as monomeric unit. However, studies reporting the concentration of exotic tannins in wine are missing or incomplete.
The main stilbenes present in grapes and wine are resveratrol and piceid (resveratrol glucoside) in cis and trans isomeric forms (Figure 6). According to the scientific literature, stilbenes have proved to be good discriminants of the grape variety [10][21][47][48][49], grape species [5] and terroir [7][8][13][50] in white, rosé, and red wines. Usually, cis-resveratrol and cis-piceid are found at lower concentrations and are less biologically active than their trans forms [51]. The oxidation products of resveratrol are viniferins, such as, ε-, α-, β-, and γ-viniferin, respectively, as a di-, tri-, tetramer, and a more highly polymerized oligomer [52]. An example of dehydrodimer of resveratrol is presented in Figure 6.

Figure 6. Structures of stilbenes: cis-piceid (A) and trans-piceid (B), when R1 = O-glucose; and cis-resveratrol (A) and trans-resveratrol (B), when R1 = OH; trans-ε-viniferin (C).
Volatile phenols are odorants produced by yeasts which can be occasionally found in wine and are often related to undesired fermentations such as the Brett character (from Brettanomyces spp.). Although volatile phenols may enrich the complexity of the wine flavor in low concentrations, their excess is related to undesired odors described as horsey, phenolic, pharmaceutical, stable, leather, typical of some red wines aged in oak barrels contaminated with Brettanomyces. The main congeners are ethylphenols (4-ethylphenol and 4-ethylguaiacol, usually occurring as a 10:1 mixture in Bordeaux wines [53]) and vinylphenols (4-vinylphenol, 4-vinylguaiacol [54]). In Figure 7, a possible pathway of formation of volatile phenols in wine is displayed.
In addition, vanillin, which is often present in wine, could be technically included in the family of volatile phenols. However, due to the different origin and sensory characteristics, it will be discussed in the section describing wine phenols coming from the storage or contact with wood.
Figure 7. Formation of volatile phenols (vinylphenols and ethylphenols) in wine.
Wine contains phenols that are not only coming from the grape variety, grape varietal combination or the yeasts used for the winemaking, but also from the wood containers that are often used at different stages of the winemaking process (usually during the fermentation or maturation steps). In many cases, wood derived products, such as staves, chips or powders may have been in contact with wine. Usually, the preferred wood type is oak, due to its compact texture of fibers (it is a slow growing wood) that reduces the permeability to air (but also chestnut or acacia might be used in specific wine styles); the main species used in cooperage are Quercus robur, Q. petraea and Q. alba. The main phenols that are diffusing from the oak into the wine are hydrolyzable tannins which are in the form of polygalloyl esters of glucose. Oak tannins are a plethora of different congeners; one of the most common methods used to study them is an acidic hydrolysis in which two families of compounds are released: gallotannins and ellagitannins [55]. Figure 8 shows the molecular structure of pentagalloylglucose, as a precursor of gallotannins. The oxidative coupling of gallotannins give the origin to ellagitannins, the main tannins extracted from the oak heartwood. Two monomers (castalagin and vescalagin) account for about 40-65% of the total extractable ellagitannins, however also pentosylated monomers (roburin E and grandinin), dimers (roburin A and D) and pentosylated dimers (roburin B and C) have been identified so far.
Figure 8. β-1,2,3,4,6-pentagalloyl-O-D-glucose.
In addition, vanillin, eugenol and other volatile phenols [56] are formed as lignin degradation products in oak barrels, mainly during coopering and then diffused into wines during aging (Figure 9). Since vanillin is the main aroma-active constituent of natural vanilla, its presence strongly influences the perceived wine flavor of barrel-aged wines or wines which were in contact with wood derived products. The same applies to eugenol, which is described by sensory note of cloves.
Figure 9. Structures of eugenol and vanillin.
This entry is adapted from the peer-reviewed paper 10.3390/foods9121785