Persea americana, commonly known as avocado, has recently gained substantial popularity and is often marketed as a “superfood” because of its unique nutritional composition, antioxidant content, and biochemical profile. However, the term “superfood” can be vague and misleading, as it is often associated with unrealistic health claims. This article provides a comprehensive summary and assessment of the studies performed in the literature to understand the nutritional and therapeutic properties of avocado and its bioactive compounds.








| Compound Name and Synonyms | Source | Extracts of Different Parts Used | Biological Significance | Reference |
|---|---|---|---|---|
| Fatty alcohols | ||||
| (2R,4R)-1,2,4-trihydroxyheptadec-16-yne [Avocadyne] 1,2,4-trihydroxyheptadec-16-ene 2,4-methylene-dioxyheptadec-16-ene-1-ol 1-acetoxy-2,4-dihydroxyheptadec-16-yne (2R,4R)1,2,4-Nonadecanetriol. (2R,4R,6E)-6-Nonadecene-1,2,4-triol (2R,4R,16E)-16-Nonadecene-1,2,4-triol [Avocadenol D] |
P. americana | Pulp and seeds | Inhibition of the dengue virus replication. Cytotoxic, insecticidal, antimycobacterial, and trypanocidal activity. | [10,11,12,13,21] |
| (Z,Z)-1-Acetoxy-2-hydroxy-4-oxo-heneicosa-12,15-triene (Z,Z,E)-1-Acetoxy-2-hydroxy-4-oxo-heneicosa-5,12,15-triene 1,2,4-trihydroxyheptadec-16-ene |
P. americana | Idioblast cells of pulp | Antifungal activity | [14] |
| (2R,4R)16-Heptadecene-1,2,4-triol and the following derivatives: 1,2, or 4 acetate (1,2), (1,4) or (2,4) di acetate 1-hexadecanolyl derivative (Avocadoin) |
P. americana | Peel, idioblast cell, and leaves | Antifungal, cytotoxic, and insecticidal activity. | [11,14,15] |
| 2-(isopropyl)-(2E,4E)-16-Heptadecene-1,2,4-triol 2-(isopropyl), 1,4-di-acetyl-(2E,4E)-16-Heptadecene-1,2,4-triol |
P. gratissima | Leaves | - | [7] |
| (2E,5E,12Z,15Z) 1-Hydroxy-2,5,12,15-heneicosatetraen-4-one 1-Hydroxy-2,12,15-heneicosatrien-4-one |
P. americana | - | - | [7] |
| Acetyl-2-nonanol | P. gratissima | Leaves | - | [7] |
| Persin Tetrahydropersin Isopersin Tetrahydropersin |
P. americana | Idioblast oil cells | Surfactant and emulsifier, nutrient, membrane stabilizer, energy source, and energy storage. | [8,16,17] |
| 1-Acetoxy-2-hydroxy-16-heptadecen-4-one | P. americana | Pulp | [18] | |
| Persenone A and B | P. americana | Pulp | Nitric oxide and superoxide generation inhibitors. | [19] |
| Secosubamolide | P. americana | Bark | Cytotoxic activity | [20] |
| Phenolics | ||||
| Gallic acid 3,4-Dihydroxyphenylacetic acid 4-Hydroxybenzoic acid Vanillic acid p-Coumaric acid Ferulic acid Quercetin |
P. americana | Pulp oil and varied by ripening and peeling | Antioxidant activity | [28] |
| (+)-Catechin (−)-Epicatechin Neochlorogenic acid procyanidins |
P. americana | By-products | Antioxidant and neuroprotective activity. | [22] |
| Proanthocyanidins B1, B2 and A-type trimer | P. americana | Seeds | Cytotoxic to HaCat cells. | [23] |
| Tocopherols (Vitamin E) α-tocopherol γ-tocopherol |
P. americana | Pulp and pulp oil varied by ripening and peeling | Antioxidant activity | [24,28] |
| (E)-Chlorogenic acid (Caffeylquinic acid, Caffetannic acid, Helianthic acid, Igasuric acid) | P. americana | - | Antioxidant, antimicrobial (antibacterial and antiviral) hepatoprotective, cardioprotective, anti-hypertension, anti-obesity, anti-inflammatory, antipyretic, neuroprotective, central nervous system stimulator. | [7,25] |
| Scopoletin | P. americana | - | Anti-oncogenic and antioxidant activity. | [7,26] |
| 4-Hydroxycinnamoylputrescine (4-Coumaroylputresine) | P. gratissima | - | Nutrient, promotes cell multiplication of tobacco explants. | [7,27] |
| Carotenoids | ||||
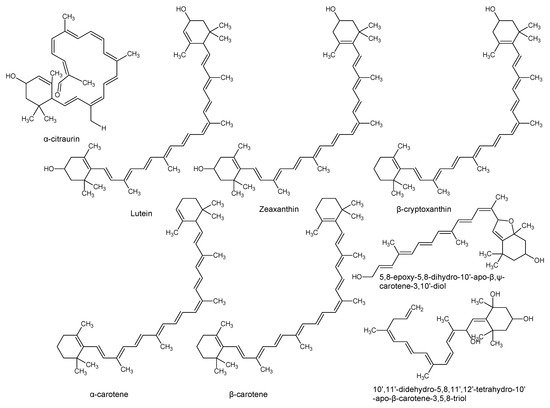
| Lutein zeaxanthin β-cryptoxanthin α-carotene β-carotene (pro-vitamin A, retinol) |
P. americana | Pulp and pulp oil varied by ripening and peeling | Cytotoxic to prostate cancer cell lines, antioxidant, reduces the photosensitivity reactions in erythropoietic protoporphyria patients. | [24,28] |
| 10’,11’-Didehydro-5,8,11’,12’-tetrahydro-10’-apo-β-carotene-3,5,8-triol 5,8-Epoxy-5,8-dihydro-10’-apo-β,ψ-carotene-3,10’-diol |
P. americana | Pulp | Surfactant and emulsifier, nutrient, membrane stabilizer, energy source and energy storage. | [8,29] |
| α-Citraurin (3-Hydroxy-8’-apo-ε-caroten-8’-al) | P. americana | Pulp | [30] | |
| Carbohydrates | ||||
| Perseulose | P. gratissima | Leaves, fruit, and seeds | Nutrient, membrane stabilizer, energy source and energy storage. | [44] |
| d-erythro-l-galacto-Nonulose | P. americana | Pulp | [45] | |
| d-erythro-l-gluco-Nonulose | P. americana | Pulp | [46] | |
| d-erythro-d-galacto-Octitol | P. gratissima | Pulp | [47] | |
| d-manno-2-Heptulose | P. gratissima P. americana |
Pulp | [7,47] | |
| d-glycero-d-manno-2-Octulose | P. gratissima | Pulp | [47] | |
| Furan derivatives | ||||
| Avocadofuran B (2-Heptadecylfuran) P. americana |
Pulp | Insecticidal activity | [31,32] | |
| Avocadofuran A (2-Pentadecylfuran) | P. americana | Idioblast oil cells | ||
| Avocadienofuran | P. americana P. indica |
Seed oil pulp | - | [33,34] |
| Perseafuran [(E)-2-(1-Pentadecenyl) furan] | ||||
| Isoavocadienofuran | Seeds | |||
| Avocadenofuran | P. americana | Pulp | [18] | |
| Avocadynofuran | P. americana and P. indica | Pulp | [18,33] | |
| Furanone derivatives | ||||
| Obtusilactone A (Borbonol) | P. americana, P. borbonia and other Persea spp. | Idioblast oil cells | Antifungal and anticancer activity. | [35,36] |
| Isoobtusilactone A (Borbonol 2) | Persea spp | Idioblast cell oil of pulp | Antifungal and anticancer activity. | [35,37] |
| Majorynolide | P. major | - | Cytotoxic, weak antimycobacterial activity. | [33] |
| 16,17-Dihydro-Majorynolide | P. major and P. indica | - | ||
| Diterpenoids | ||||
| Perseanol Vignaticol Indicol |
P. indica | Branches | Insecticidal and antifeedant activity. | [39,40] |
| Ryanodol 2,3-DidehydrocinnzeylanoneAnhydrocinnzeylanoneGarajonone |
Insecticidal and toxic to mice. | [41,42,43] | ||
| Norlignans/Neolignans/Lignans | ||||
| Perseal A ((7’R,8’S)4’,7’-Dihydroxy-3,3’-dimethoxy-8,9-dinor-4,8’-oxylignan-7-al) Perseal B ((7’S,8’S) 4’,7’-Dihydroxy-3,3’-dimethoxy-8,9-dinor-4,8’-oxylignan-7-al) Obovatinal Perseal C Perseal D Perseal E ((7’S,8’S) 4,7’-Epoxy-3’,4’-dihydroxy-5,5’-dimethoxy-8,9-dinor-3,8’-lignan-7-al) ObovatenObovatifol |
P. obovatifolia | Branches | Cytotoxic activity | [48,49,50,51,52] |
| Lingueresinol | P. lingue | Bark | - | [53] |
| Miscellaneous | ||||
| (6S,7E,9Z) Abscisic acid-13-Hydroxy, 13-O-β-D-glucopyranoside | P. americana | Seeds | Derivative of abscisic acid (plant hormone involved in seed and bud dormancy). | [7] |
| Dimethyl sciadinonate | P. americana | - | Growth inhibitor of silkworm larvae. | [7,54] |
| (3β,5α,24R) Stigmast-7-en-3-ol; (Schottenol, 22-Dihydrochondrillasterol, 22,23-Dihydro-α-spinasterol, Poriferast-7-en-3-ol) |
P. americana | Pulp oil | Protective role by cholesterol metabolism modulation (liver x receptor agonist). | [55] |
| Perseapicroside A | P. mexicana | - | - | [56] |
| Glutathione | P. americana | - | Anticancer and antioxidant activity. | [57,58,59] |
| 12-Tridecenal | P. bombycina | Essential oil | - | [60] |
| Nutritional Composition | Unit | Value Per 100 g | 1 Fruit 136 g | 1 Serving 30 g |
|---|---|---|---|---|
| 1. Proximate | ||||
| Water | g | 72.3 | 98.4 | 21.7 |
| Energy | kcal | 167 | 227 | 50 |
| Energy (insoluble fiber adjusted) | kcal | 148 | 201 | 44 |
| Protein | g | 1.96 | 2.67 | 0.59 |
| Total lipid (fat) | g | 15.41 | 21 | 4.62 |
| Ash | g | 1.66 | 2.26 | 0.5 |
| Carbohydrate | g | 8.64 | 11.8 | 2.59 |
| Fiber | g | 6.8 | 9.2 | 2 |
| Sugars | g | 0.3 | 0.41 | 0.09 |
| Starch | g | 0.11 | 0.15 | 0.03 |
| 2. Minerals | ||||
| Calcium | mg | 13 | 18 | 4 |
| Iron | mg | 0.61 | 0.83 | 0.18 |
| Magnesium | mg | 29 | 39 | 9 |
| Phosphorus | mg | 54 | 73 | 16 |
| Potassium | mg | 507 | 690 | 152 |
| Sodium | mg | 8 | 11 | 2 |
| Zinc | mg | 0.68 | 0.92 | 0.2 |
| Copper | mg | 0.17 | 0.23 | 0.05 |
| Manganese | mg | 0.15 | 0.2 | 0.05 |
| Selenium | ug | 0.4 | 0.5 | 0.1 |
| 3. Vitamins and Phytochemicals | ||||
| Vitamin C | mg | 8.8 | 12 | 2.6 |
| Thiamine | mg | 0.08 | 0.1 | 0.02 |
| Riboflavin | mg | 0.14 | 0.19 | 0.04 |
| Niacin | mg | 1.91 | 2.6 | 0.57 |
| Pantothenic acid | mg | 1.46 | 2 | 0.44 |
| Vitamin B-6 | mg | 0.29 | 0.39 | 0.09 |
| Folate, dietary folate equivalents | μg | 89 | 121 | 27 |
| Choline total | mg | 14.2 | 19.3 | 4.3 |
| Betaine | mg | 0.7 | 1 | 0.2 |
| Vitamin B-12 | μg | 0 | 0 | 0 |
| Vitamin A | μg | 7 | 10 | 2 |
| β-Carotene | μg | 63 | 86 | 19 |
| α-Carotene | μg | 24 | 33 | 7 |
| β-Cryptoxanthin | μg | 27 | 37 | 8 |
| Lutein + zeaxanthin | μg | 271 | 369 | 81 |
| Vitamin E (α-tocopherol) | mg | 1.97 | 2.68 | 0.59 |
| Tocopherol β | mg | 0.04 | 0.05 | 0.01 |
| Tocopherol γ | mg | 0.32 | 0.44 | 0.1 |
| Tocopherol δ | mg | 0.02 | 0.03 | 0.01 |
| Vitamin K1 (phylloquinone) | μg | 21 | 28.6 | 6.3 |
| 4. Lipids | ||||
| Fatty acids, total monounsaturated | g | 9.799 | 13.3 | 2.94 |
| 16:1 | g | 0.698 | ||
| 17:1 | g | 0.01 | ||
| 18:1 | g | 9.066 | ||
| 20:1 | g | 0.025 | ||
| Fatty acids, total saturated | g | 2.126 | 2.9 | 0.64 |
| 8:0 | g | 0.001 | ||
| 16:0 | g | 2.075 | ||
| 18:0 | g | 0.049 | ||
| Fatty acids, total polyunsaturated | g | 1.816 | 2.47 | 0.55 |
| 18:2 | g | 1.674 | ||
| 18:3 | g | 0.125 | ||
| 18:3 n-3 c,c,c (ALA) | g | 0.111 | ||
| 18:3 n-6 c,c,c | g | 0.015 | ||
| 20:3 | g | 0.016 | ||
| Cholesterol | mg | 0 | 0 | 0 |
| Stigmasterol | mg | 2 | 3 | 1 |
| Campesterol | mg | 5 | 7 | 2 |
| β-sitosterol | mg | 76 | 103 | 23 |
| Variety | Part Studied | Types of Extract | Detection Assays | Major Findings | Type of Antioxidants | References |
|---|---|---|---|---|---|---|
| Hass | Pulp and peel + pulp | Expeller pressed oils | ABTS and HPLC-PDA | Higher antioxidant capacity, α-tocopherol and β-carotene content were observed in oils from the unpeeled microwave-dried pulp of ripe and unripe avocado. | Oils from the pulp of ripe unpeeled microwave-dried avocado had significantly greater phenolic acid and quercetin contents. | [28] |
| Hass | Peel | 50% (v/v) ethanol using accelerated solvent extraction | HPLC coupled to ultra-high-definition accurate-mass-QTOF | Sixty-one compounds belonging to 11 families were identified. | Procyanidins, flavonols, hydroxybenzoic, and hydroxycinnamic acids. | [90] |
| Hass | Seeds and seed coat | Accelerated solvent extraction | DPPH, TEAC, ORAC, HPLC-DAD-ESI-QTOF-MS | Significant antioxidant activity was observed in both seed and seed coat extracts. A total of 84 compounds were identified, among which 45 were phenolic compounds. | Condensed tannins, phenolic acids, and flavonoids. | [91] |
| Hass | Pulp | Oil extracted with or without ultrasound | HPLC | Similar quantities of α, β, γ, and δ-tocopherols and phenolic compounds were detected both with and without ultrasound extractions. | Tocopherols and phenols. | [109] |
| Hass | Seeds | Methanol and 50% (v/v) ethanol | HPLC, ABTS, FRAP, ORAC and methoxy radical scavenging activity by EPR | 50% (v/v) ethanol extract displayed greater antioxidant capacity in the ORAC, FRAP, and ABTS assays. | Chlorogenic acid, (−)-epicatechin, catechins and procyanidins. | [2] |
| Hass | Peel and seeds | Aqueous extract | ORAC | Peel extract showed higher antioxidant capacity than seed extract. | Epicatechin and chlorogenic acid were found in both extracts. | [101] |
| Hass | Pulp, peel, and seeds | Hexane to eliminate lipids and 80% methanol for phenolic extraction | HPLC-DAD-ESI-QTOF-MS | Higher concentrations of phenolic compounds were detected in the pulp and seed extract of overripe than in pulp and seed of optimally ripe fruit. The concentration of procyanidins increased after ripening. | Nine compounds in pulp, three in peel and three in seed. Procyanidins to degree of polymerization 2 to 6, and 13 were identified and quantified. | [96] |
| Hass | Peel, pulp, and seeds | Ultrasonic extraction with 80% (v/v) ethanol | DPPH, and ABTS | Seed and peel extracts exhibited greater antioxidant values and phenolic content than the pulp extract. | - | [102] |
| Hass | Peel, pulp, and seeds | Different solvents for different assays | DPPH and spectroscopic | All extracts exhibited significant antioxidant capacity. The seed extract had the greatest antioxidant activity, total phenolic content, and flavonoids compared to that of peel and pulp. | Carotenoids, phenolic compounds, flavonoids, vitamin c and tocopheryl acetate were detected in all extracts. | [106] |
| Hass | Pulp | Aqueous and ethanolic | FRAP and DPPH | Harvesting seasons affected the antioxidant capacity. | Positive correlations between FRAP and total phenolics, DPPH and total phenolics | [85] |
| Hass | Pulp | Hydrophilic and lipophilic extracts | DPPH, TEAC and ORAC | Higher antioxidant capacity values were obtained from lipophilic extracts compared to hydrophilic extracts. | A positive correlation was observed between DPPH/TEAC assays with palmitoleic, oleic, linoleic, α-linolenic acids. | [108] |
| Hass | Pulp | Acetone with 2,6-ditert-butyl-4-methylphenol, sodium carbonate, and sodium sulfate | HPLC-PDA | Seasonal variations in carotenoid were observed and α-tocopherol was detected. | Carotenoid such as: All-trans-neoxanthin; all-trans-violaxanthin; all-transneochrome; 9-cis-neoxanthin; all-trans-lutein-5,6-epoxide; chrysanthemaxanthin; lutein; zeaxanthin; β-cryptoxanthin; α-carotene; β-carotene were identified along with α-tocopherol. |
[110] |
| Hass | Pulp | Tetrahydrofuran | DPPH | Low antioxidant activity. | A slight positive correlation against stearic acid content. | [111] |
| Hass | Leaves, pulp, peel, and seeds | Freeze-dried samples | FRAP, 4-dinitrophenylhydrazine and HPLC | The leaf, peel, and seed extracts had greater antioxidant capacity than that the pulp extracts. C7 sugars such as mannoheptulose and perseitol contributed to the antioxidant capacity of the pulp. | Vitamin C, anthocyanin, and C7 sugars. | [100] |
| Hass and Fuerte | Peel and seeds | 80% (v/v) ethanol with ultrasonic extraction | ABTS, DPPH, FRAP, and HPLC-ABTS | Peel extracts of both varieties displayed higher antioxidant capacity in the ABTS and FRAP assays compared to their seed extracts, whereas in the DPPH assay, seed extracts showed greater antioxidant activity. | Peel: procyanidin B2 and epicatechin Seed: trans-5-O-caffeoyl-D-quinic acid, procyanidin B1, catechin, and epicatechin. |
[97] |
| Hass and Fuerte | Pulp, peel, and seeds | Ethyl acetate, 70% (v/v) acetone, and 70% (v/v) methanol | CUPRAC, DPPH, and ABTS | Acetone (70% v/v) was found to be the most effective solvent for extracting antioxidants. Peel and seed extracts exhibited greater antioxidant values in all three assays compared to pulp. | Peels and seeds: catechins, procyanidins, and hydroxycinnamic acids Pulp: hydroxybenzoic and hydroxycinnamic acids and procyanidin. |
[104] |
| Hass and Shepard | Seeds and peel | 80% (v/v) methanol | HPLC-PAD, HPLC-ESI-MS, DPPH, ABTS and ORAC | The peel extracts displayed a higher total phenolic compound content and antioxidant activity in comparison to the seed extracts. Hass variety had a higher antioxidant capacity, which might be attributed to its procyanidin dimers and catechins than the Shepard variety. | Seed and peel extracts contained flavanol monomers, proanthocyanidins, and hydroxycinnamic acids. In addition, flavonol glycosides were detected in seed extracts. |
[94] |
| Hass, Lamb-Hass, and Rugoro | Pulp | Methanol, ethanol, acetone, and ethyl acetate |
HPLC-DAD-ESI-TOF | Seventeen compounds were identified using standards. Twenty-five compounds were tentatively identified. | Quinic acid, succinic acid, pantothenic acid, p-coumaroyl-D-glucose, abscisic acid, pentadecylfuran, avocado furan, and oleic acid were the most common compounds among the three avocado varieties. |
[92] |
| Hass, Quintal, Margarida, and Fortuna | Peel, pulp, and seeds | Ethanol | ABTS, DPPH, FRAP | Peel extract of the Quintal variety showed the highest antioxidant capacity in all three assays. A similar trend was observed in terms of total phenolic and flavonoid contents. | Phenolics and flavonoids might contribute to the antioxidant capacity. | [99] |
| Hass, Bacon, Fuerte, Pinkerton, Rincon, and Orotawa | Pulp | Methanol | UHPLC-HE-MS | Pulp extracts had 19 individual phenolic compounds. A decrease in concentration of epicatechin concentration was observed with fruit ripening. | Gallic acid, sinapinic acid, vanillin, p-coumaric acid, gentisic acid, protocatechuic acid, 4-hydroxybenzoic acid, chlorogenic acid, and benzoic acid. | [89] |
| Hass, Hass Motril, ColinV 33, Gem, Harvest, Jiménez 1, Jiménez 2, Lamb Hass, Marvel, Nobel, Pinkerton, Sir Prize and Tacambaro |
Pulp | Methanol | GC coupled to APCI-TOF MS and FID | Twenty-seven compounds were quantified by GC-APCI-MS. Seven compounds are quantified by GC-FID. The concentration of organic acids, flavonoids, and vitamins decreased, whereas phenolic acids, ferulic acids, or p-coumaric acids increased with the ripening process. |
Quinic, ferulic, chlorogenic and p-coumaric acids, epicatechin, and quercetin. | [93] |
| Booth 7 | Pulp | Sodium acetate | ABTS | Total antioxidant capacity gradually increased with the ripening process. Treatment with aqueous 1-methylcyclopropene (1-MCP) significantly delayed the accumulation of total soluble phenolics, flavonoids, and total antioxidant capacity. | - | [112] |
| Collinson | Pulp | 80% methanol and acetone | ABTS, DPPH, and FRAP | Lipophilic extracts displayed greater antioxidant capacity in the ABTS and DPPH assays compared to hydrophilic extracts. The opposite trend was observed in the FRAP assay. | - | [113] |
| Fortuna | Fresh and dried seeds | Water, 70% (v/v) ethanol, 70% (v/v) methanol, and partition with n-hexane chloroform, ethyl acetate, and n-butanol |
Spectroscopic and HPLC | Ethanol extract of dried seed showed 50, 38, and 24 mg/g of dry matter of total phenol, condensed tannins, and flavonoid contents, respectively. HPLC study revealed epicatechin (4.7 μg/mL), rutin (2.8 μg/mL), and chlorogenic acid (1.4 μg/mL) and quercetin in the extract. |
Epicatechin, rutin, chlorogenic acid, quercetin. | [114] |
| Fortuna | Pulp | Oil extracted with SCO2 and compressed LPG | DPPH | The SCO2-extracted oil displayed higher antioxidant activity in the range of 17.4–82.5% compared to LPG-compressed oil. | - | [115] |
| Fortuna | Pulp | Lyophilized and cold pressed oil | GC-FID and GC-MS | A greater concentration of α-tocopherol and squalene were achieved with cold pressing. | α-tocopherol and squalene. | [116] |
| Fuerte | Pulp | Different solvents | FRAP, SOD and HPLC | Increase in the total antioxidant activity, SOD activity, and α-tocopherol content was observed in the presence of 1-MCP and low O2. | - | [117] |
| Lula | Pulp | Oil extracted with water at high temperatures | HPLC and spectroscopic assays | Greater quantity of α-tocopherol was detected compared to β, γ, and δ-tocopherols. In addition, sterols and carotenoids were also reported. | Tocopherols, sterols, and carotenoids were potent antioxidants. | [118] |
| Mexican landrace | Peel | Methanol | DPPH | Antioxidant values in the range of 53.31–307.33 mmol trolox equivalents/fresh weight were reported. | Activity can be attributed to anthocyanins. | [119] |
| Slimcado, Booth 7, Booth 8, Choquette, Loretta, Simmonds, and Tonnage | Pulp, peel, and seeds | Acetone, water, acetic acid | HPLC-MS, ORAC and DPPH | Seed extracts exerted the highest antioxidant activity, phenolic content, and procyanidins followed by peel and pulp. Significant correlations were observed among antioxidant capacities, phenolic contents, and procyanidins. Antioxidant activity can be attributed to the procyanidin content. | Catechin, epicatechin, A- and B-type dimers, A- and B-type trimers, tetramers, pentamers and hexamers were identified in peels and seeds. | [84] |
| - | Pulp | Supercritical CO2/ ethanol extracts | HPLC | Supercritical CO2 + ethanol at 200 bar and at 40 °C and 60 °C yielded significantly higher α-tocopherol content. | α-tocopherol | [120] |
| - | Seeds and pulp | Lipid | ABTS and DPPH | Seed extracts exhibited significantly greater antioxidant activity in both assays. Dose-dependent antioxidant activity was observed for both extracts. | - | [98] |
| - | Pulp | Oil extracted with mechanical pressing | DPPH | Greater antioxidant values were observed when the avocado pulp was dried at 60 °C under ventilation, and mechanical pressing was used for the oil extraction compared to vacuum oven and Soxhlet extraction. | α-tocopherol, phenolic compounds, carotenoids. | [121] |
| - | Seeds | Ultrasonic extraction with water | ORAC | Total antioxidant capacity increased with an increase in ultrasonic power. Positive correlation was observed between total polyphenolic content and antioxidant capacity. | - | [86] |
| - | Pulp | Acetone and its fractions | ORAC, HPLC-PDA/MS-TOF | Fractions with lipophilic acetogenins exhibited the highest antioxidant capacity. | 1-acetoxy-2,4-dihydroxy-n-heptadeca-16-ene; Persediene; Persenone-C; Persenone-A; Persenone-B; Persin, and 1-acetoxy-2,4-dihydroxy-heneicosa-12,15-diene. | [122] |
| - | Leaves | 50% ethanol extract | Spectroscopic, LC–ESI-MS, LCMS-IT-TOF | Glycosylated flavonoids were detected. | Quercetin-3-glucoside and quercetin-3-rhamnoside. | [95] |
| - | Seeds | Different concentrations of ethanol | ORAC | The antioxidant values increased with temperature. However, it was negatively impacted by ethanol concentration. | - | [123] |
| - | Leaves, pulp, peel, and seeds | 1M HCL and methanol | DPPH and FRAP | Greater DPPH radical scavenging activity, total phenol and flavonoid content were observed in leaf extracts. The peel extract showed the greatest FRAP value. | - | [103] |
| - | Pulp and seeds | 50% (v/v) ethanol | DPPH and FRAP | Seeds extracts showed significantly greater antioxidant values compared to that of pulp in both assays. Similar trend was observed for total phenolic content. | - | [105] |
| - | Peel | Different concentrations of ethanol | DPPH | Maximum antioxidant activity when extraction was performed with 48% (v/v) ethanol under agitation for 20 min at 70 °C and solvent-to-solid ratio (v/w) 20. | Positive correlation was observed between total phenolic content and antioxidants. | [88] |
| - | Seeds | Different concentrations of ethanol | DPPH | Extraction for 60 min with 30% (v/v) ethanol at 70 °C with a solvent to-solid material ratio of 8 yielded the maximum antioxidant capacity. | Positive correlation was observed between total phenolic content and antioxidants. | [87] |
| - | Leaves | Methanol, ethanol, cold and hot water | DPPH, FRAP, and hydroxyl radical scavenging ability | Significant antioxidant activity was observed in all three assays. | Antioxidant activity might be contributed by the phenolics and flavonoids. | [124] |
| - | Pulp | Oils extracted using Soxhlet, subcritical CO2 (SCO2) and ultrasound | ABTS, FRAP, and β-carotene bleaching | SCO2-extracted oil displayed significantly greater (p < 0.05) antioxidant capacity in all three assays compared to Soxhlet or ultrasound-extracted oils. | Strong positive correlations (p < 0.01) were found between α and γ tocopherols and antioxidant activity. | [125] |
| - | Leaves | Powdered leaves | Spectroscopic | Vitamin C, tannins, alkaloids and phenolic content were reported. | - | [126] |
| - | Pulp | Lipid-soluble bioactive | DPPH, reducing power, metal chelating, nitric oxide scavenging, hydrogen peroxide scavenging, hemoglobin-induced linoleic acid system | Exhibited lower antioxidant properties compared to vitamin C. | - | [127] |
| - | Pulp | Methanol + water | ABTS and TBARS | Lower antioxidant activity was reported compared to other fruits tested in the study. | - | [128] |
| - | Leaves and seeds | Water | DPPH, NO radical scavenging activity, inhibition of degradation of deoxyribose, Fe (II) chelating ability | Higher phenolic content and radical scavenging activity were observed in leaf extract. However, it showed lower iron chelation activity compared to the seed extract. | - | [129] |
| - | Seeds | Different solvents and fractions | DPPH | One fraction exhibited a radical scavenging activity of 81.6%. | - | [130] |

| Preclinical Studies | ||||||
|---|---|---|---|---|---|---|
| Variety | Parts | Type of Extracts | Bioactive Compounds | Type of Cell Lines | Major Findings and Molecular Mechanisms of Action | References |
| Hass | Seeds | Methanol | - | MCF-7 breast, H1299 lung, HT29 colon, and LNCaP prostate cancer cells |
Dose-dependent inhibition of all cells with IC50 values 19–132 µg/mL after 48 h of treatment. In LNCaP prostate cancer cells, the induction of caspase 3-mediated apoptosis, PARP cleavage, downregulation of cyclin D1 and E2, cell cycle arrest at G0/G1 phase and reduction of nuclear translocation of nuclear factor kappa B (NF-κB) were observed. | [140] |
| Hass | Seeds | High-speed countercurrent chromatographic fraction of methanol-water partition (M7) |
Proanthocyanidins B1, B2 and A-type trimer. Traces of abscisic acid glucosides. | HaCaT immortalized nontumorigenic human epidermal cells | Significant inhibition of cell proliferation, increased LDH activity. Molecular mechanisms of action were not investigated. | [23] |
| Hass | Pulp | Chloroform-soluble | Two aliphatic acetogenins- (2S,4S)-2,4-dihydroxyheptadec 16-enyl acetate] and 2 [(2S,4S)-2,4-dihydroxyheptadec-16-ynyl acetate. |
83–01-82CA human oral cancer cell line, MEK overexpressing cell line 83–01-82CA/MEKCA | The two aliphatic acetogenins targeted the EGFR/RAS/RAF/MEK/ERK1/2 cancer pathway by synergistically inhibiting c-RAF (Ser338) and ERK1/2 (Thr202/Tyr204) phosphorylation. | [165] |
| Hass | Pulp | Chloroform | - | 83-01-82CA human oral cancer and TE1177 normal epithelial cell lines |
In the oral cancer cells, the extract induced apoptosis by increasing the levels of reactive oxygen species by twofold to threefold. Apoptosis was not induced in the normal cell line. | [141,142] |
| Hass | Pulp | Acetone | Lutein, zeaxanthin, β-cryptoxanthin, α-carotene, and β-carotene, α-tocopherol and γ-tocopherol. |
LNCaP androgen-dependent and PC-3 androgen-independent prostate cancer cell lines | Inhibited the growth of both the prostate cancer cell lines. Arrested PC-3 cells at the G2/M phase and increased the expression of p27 protein. | [24] |
| Lulu | Unripe fruit pulp | 95% (v/v) ethanol extracts and its fractions | 1,2,4-Trihydroxynonadecane, 1,2,4-Trihydroxyheptadec-16-ene and 1,2,4-Trihydroxyheptadec-16-yne. | A-549 human lung, MCF-7 human breast, HT-29 human colon, A-498 human Kidney, MIA PaCa-2 human pancreatic carcinoma, PC-3 human prostate cancer cells |
All three compounds were active against six human tumor cell lines and exhibited selectivity against PC-3 cells. Molecular mechanisms were not studied. | [21] |
| - | Seeds | Ethanol extract and its hexane and dichloromethane fractions | - | Lung A549 and gastric BGC823 cancer cells | Growth inhibition at 200 μg/mL. The IC50 values and molecular mechanisms of action were not investigated. | [166] |
| - | Pulp and seed extracts | Lipids | Fatty acids, hydrocarbon, and sterols. | HCT116 colon and HePG2 liver cancer cell lines |
Seed extract showed greater activity against HCT116 (IC50 < 4 µg/mL) and HePG2 (IC50 < 20 µg/mL) cell lines compared to the pulp extract. Molecular mechanisms of action were not investigated. | [98] |
| - | Seeds | Chloroform extracts and its soluble methanol fraction (FML) and non-soluble methanol fraction (FTML). | - | MCF-7 breast cancer cell line | Chloroform extract, FML, and FTML inhibited cell growth in a dose-dependent manner and displayed IC50 values of 94.87, 34.52, and 66.03 µg/mL, respectively. FML induced apoptosis and arrested cells at the subG1/G0 phase. | [167] |
| - | Leaves | Silver nanoparticles | MCF-7 breast and HeLa cervical cancer cells | Dose-dependent cytotoxicity was observed at concentrations above 50 μM in MCF-7 but not in HeLa cells. Downregulation of p53 expression was observed in both cell lines. | [168] | |
| - | Leaves | Aqueous-ethanol (5% v/v) | - | Larynx cancer tissue | Significant increase in adenosine deaminase activity in cancerous tissues derived from 13 patients who underwent surgery for larynx cancer (median age of 57 years) compared to noncancerous (r = 0.60, p = 0.029) tissues. | [169] |
| - | Seeds | Fraction of ethanol extract | Triterpenoid | MCF-7 breast and HepG2 liver cancer cells | Inhibited MCF-7 (IC50 = 62 µg/mL) and HepG2 (IC50 = 12 µg/mL) cells with no activity against normal cells. Molecular mechanisms of action were not investigated. | [170] |
| - | Pulp | Ethanol, chloroform, ethyl acetate, and petroleum. |
- | Esophageal squamous cell carcinoma and colon adenocarcinoma cell line | Moderate activity. The IC50 values and molecular mechanisms of action were not investigated. | [171] |
| - | Pulp | Aqueous | - | A549 lung, HepG-2 liver, HT-29 colon, and MCF-7 breast cancer cells. | Exhibited LC50 values in the range of 13.3–54.5 µg/mL against the tested cell lines. Molecular mechanisms of action were not investigated. | [172] |
| - | Root bark | Methanol extract and its fractions. | 4-hydroxy-5-methylene-3-undecyclidenedihydrofuran-2 (3H)- one |
MCF-7 breast cancer cell line | Antiproliferative activity with an IC50 value of 20.48 μg/mL with induction of apoptosis. | [36] |
| - | Endocarp, whole seed, seed and leaves | Ethanol | - | Jurkat lymphoblastic leukemia cells |
Induced significant oxidative stress-dependent apoptosis via mitochondrial membrane depolarization. Activated transcription factor p53, protease caspase-3, and apoptosis-inducing factor (APAF). | [138] |
| - | Pulp | 50% (v/v) Methanol | - | Human lymphocyte cells | Chemoprotective against cyclophosphamide-induced chromosomal aberrations at 200 mg/kg body weight. | [158] |
| - | Seeds and peel | Methanol | - | MDA-MB-231 breast cancer cells | Apoptosis due to activation of caspase-3 and its target protein, PARP. | [144] |
| - | Leaves | - | Persin | In vitro: MDA-MB-231, MCF-7, and T-47D breast cancer cells In vivo: Quackenbush lactating mice |
In vitro: Persin selectively arrested cells at the G2/M phase and induced caspase-dependent apoptosis. Apoptosis was dependent on the expression of Bim protein, which also indicated the microtubule-stabilizing properties of persin. Overall, MCF-7 and T-47D cells were more sensitive to persin compared to MDA-MB-231. In vivo: Persin exerted cytotoxicity in the lactating mammary epithelium. |
[139] |
| MCF-7, T-47D, and SK-Br3 breast cancer and MCF-10A human mammary epithelial cells. | Synergistic interaction between tamoxifen and persin against the tested breast cancer cells was observed. Significant reduction of IC50 values of tamoxifen when combined with 13.8 μmol/L of persin. The synergistic cytotoxicity was Bim-dependent and mediated by the modulation of ceramide metabolism. | [149] | ||||
| - | Fruit | - | Persenone A | In vitro: RAW 264.7 mouse macrophage cells In vivo: Female ICR mice (7 weeks old) |
Downregulated the expression of iNOS/COX-2 (nitric oxide synthase/cyclooxygenase-2) in macrophage cells. When applied topically, reduced the generation of H2O2 in mouse skin. | [173] |
| - | Fruit | - | (2R)-(12Z,15Z)-2-hydroxy-4-oxoheneicosa-12,15-dien-1-yl acetate (1), persenone A (2) and B (3) |
HL-60 acute promyelocytic leukemia and RAW 264.7 mouse macrophage cells. | Suppressed the growth of HL-60 cells (compound 1, IC50 = 33.7; compound 2, IC50 = 1.4; compound 33, IC50 = 1.8 μM). Inhibited nitric oxide generation induced by lipopolysaccharide in combination with interferon-γ in RAW 264.7 cells. | [19] |
| - | - | - | Scopoletin | In vivo: Skin papilloma in mice induced by 7,12-dimethylbenz(a)anthracene and croton oil | Reduced carcinogen-induced toxicity and led to decrease in the size of skin papilloma. Downregulated AhR, CYP1A1, PCNA, stat-3, survivin, MMP-2, cyclin D1, and c-myc, and upregulated p53, caspase-3, and TIMP-2. | [26] |
| Chemical synthesis | Type of cell lines | Major findings and molecular mechanisms of action | References | |||
| Antimicrobial peptide-PaDef defensin | K562 chronic myeloid leukemia cells | Cytotoxic with an IC50 value of 97.3 μg/mL. Activated caspase-8 and induced the expression of TNF-α. | [153] | |||
| MCF-7 breast cancer cell line | Inhibited the growth in a concentration-dependent manner (IC50 = 141.62 µg/mL). Induced cytochrome c, APAF-1, and the caspase 7 and 9 expressions, loss of mitochondrial Δψm and enhanced the phosphorylation of MAPK p38. | [143] | ||||
| Persin and tetrahydropersin | Breast cancer: MCF-7, T-47D, MDA-MB-468, MDA-MB-157, SkBr3, Hs578T, MDA-MB-231 cells, normal mammary epithelial MCF-10A cells, Ovarian cancer: OVCAR3 and IGROV-1 cells Prostate cancer: PC-3 and LNCaP cells |
Persin was more potent compared to tetrahydropersin against most of the tested cancer cell lines with IC50 values in the range 15.1 ± 1.3 to more than 39 μM. Molecular mechanisms of action was not studied. | [154] | |||
| β-Hydroxy-α,β-unsaturated ketones | A2780 human ovarian, SW1573 lung, HBL-100 human breast, T-47D human breast and WiDr colorectal cancer cells. |
GI50 values in the range of 0.5–3.9 μM. Induced apoptosis and dose-dependent cell cycle arrest in the S and G2/M phase. | [145] | |||
| Case-control studies | ||||||
| Type of cancer | Major findings | References | ||||
| Prostate cancer | A study involving 243 men with prostate cancer and 273 controls in Jamaica reported that monounsaturated fat from avocado was associated with reduced risk of prostate cancer. | [160] | ||||
| Bioactive Compounds | Type of Cancer | Type of Study | Major Findings | References |
|---|---|---|---|---|
| Carotenoids- α-carotene, β-cryptoxanthin, lycopene, and lutein/zeaxanthin | Breast cancer | A nested case-control study in women consisting of 604 breast cancer cases and 626 controls. | In women with high mammographic density, plasma levels of carotenoids reduced breast cancer risk significantly (40–50% reduction, p < 0.05). | [162] |
| An ancillary study involving 207 women ages 18 to 70 years who had been successfully treated for early-stage breast cancer. | An inverse association between total plasma carotenoid concentrations and the oxidative stress biomarkers (urinary 8-hydroxy-2′-deoxyguanosine and 8-isoprostaglandin-F2α) was observed. | [163] | ||
| Larynx, pharynx and oral cancers | The study population involving 52 patients curatively treated for early-stage larynx, pharynx or oral cavity during 1997–2001. | An inverse association was observed between individual/grouped xanthophylls and urinary F2-isoprostanes (F2-IsoPs), a biomarker of oxidative stress. However, individual/grouped carotenes did not show such association with F2-IsoPs. | [161] | |
| Glutathione | Advanced colorectal carcinoma | A randomized, double blind, placebo-controlled trial in 52 patients. | Prevented of oxaliplatin-induced neuropathy without reducing the clinical efficacy of oxaliplatin. | [57] |
| Ovarian cancer | A multicenter, randomized, double-blind, parallel group design with 51 women. | Reduced the cisplatin-associated toxicity and improved the quality of life. | [58] | |
| Oral cancer | A population-based case-control study involving 1,830 Caucasian participants (855 cases and 975 controls) in during 1984–1985 in the United States. | Reduced oral cancer risk was associated with glutathione when fruit and vegetable were commonly consumed raw. | [59] |
| Variety/ies | Bacteria | Highlights | Reference |
|---|---|---|---|
| Hass Shepard Fuerte | Listeria monocytogenes Staphylococcus epidermidis Staphylococcus aureus Enterococcus faecalis Escherichia coli Salmonella Enteritidis Citrobacter freundii Pseudomonas aeruginosa Salmonella Typhimurium Enterobacter aerogenes |
The antimicrobial activity of peel and seed extracts was evaluated. Ethanol extracts showed antimicrobial activity against both Gram-positive and Gram-negative bacteria (except E. coli). Aqueous extracts had antimicrobial activity against L. monocytogenes and S. epidermidis. |
[176] |
| Hass Fuerte |
Bacillus cereus S. aureus L. monocytogenes E. coli Pseudomonas spp. Yarrowia lipolytica |
All avocado parts had antimicrobial activities. Pulp showed the highest antimicrobial activity. Gram-positive bacteria were found to be more sensitive than Gram-negative bacteria. |
[104] |
| Hass | L. monocytogenes | The antilisterial properties of an enriched acetogenin extract from avocado seed were determined. Seeds had higher acetogenin content than pulp. The antimicrobial effect was probably caused by increased membrane permeability. |
[177] |
| Lorena Hass | S. aureus E. coli |
Extracts did not have antimicrobial activity against S. aureus ATCC 29213 and E. coli ATCC 25922 | [179] |
| Hass | Listeria innocua E. coli Lactobacillus sakei Weissella viridescens Leuconostoc mesenteroides |
Peel and seed extracts did not present antimicrobial activity against any bacteria analyzed. | [101] |
| Extracts and Compounds | Key Findings and Molecular Mechanism of Action | Reference |
|---|---|---|
| Leaf aqueous extract | Reduced carrageenan-induced rat paw oedema. | [185] |
| Persenone A | Reduced inducible nitric oxide synthase (iNOS) and cyclooxygenase-2 (COX-2) in activated murine macrophages. | [173] |
| Avacado oil | Promoted increased collagen synthesis and decreased inflammation in wound healing on incisional and excisional cutaneous wound models in Wistar rats. | [186] |
| (2R)-(12Z,15Z)-2-hydroxy-4-oxoheneicosa-12,15-dien-1-yl acetate, persenone A and B | Decreased nitric oxide generation in activated mouse macrophages. | [19] |
| Avocado–Soybean Unsaponifiables (ASU) | Inhibited collagenase, stromelysin, IL-6, IL-8, and prostaglandin E2 (PGE2) release in activated human articular chondrocytes. | [192] |
| Stimulated glycosaminoglycan and hydroxyproline synthesis, and inhibited the production of hydroxyproline in the granulomatous tissue of mice model. | [193] | |
| Suppressed critical regulators of the inflammatory response such as PGE-2 and COX-2 in activated human chondrocytes. | [195] | |
| Decreased catabolic enzymes, matrix metalloproteinases-3 and -13 expressions via inactivating the expression of MAPKs (ERK 1/2) and nuclear factor kappa-B (NF-κB) in activated mouse or human chondrocytes. | [190] | |
| Reduced pro-inflammatory cytokines such as TNF-α, IL-1β, and iNOS expression in activated chondrocytes and THP-1 monocyte and macrophages. | [196] | |
| Exhibited a promising result on the bone repair by modulating the molecular targets of Rankl and Il1β, RANKL, TRAP in rat model. | [197] | |
| Decreased pain symptoms in patients with osteoarthritis of the temporomandibular joint. | [203] | |
| Modulated the expression of TGF-β1, TGF-β2, and BMP-2 in activated human periodontal ligament and human alveolar bone cells. | [206] | |
| ASU + Epigallocatechin gallate | Inhibited COX-2 expression and PGE2 production in activated equine chondrocytes. | [204] |
| Inhibited the gene expression of IL-1β, TNF-α, IL-6, COX-2, and IL-8 in activated equine chondrocytes. | [189] |
This entry is adapted from the peer-reviewed paper 10.3390/antiox8100426