Some of the theorems about the line element of the blackhole spacetimes are reviewed. The foliation of the spacetimes is recalled. The comparison of ENBI gravity and that of massive gravity is achieved. The strong-field regime of blackhole objects is investigated.
Different blackhole solutions are compared. For this aim, the Theorems about blackhole spacetimes which allow for a generalization of the Schwarzschild black hole as are recalled. The structure of the spacetimes which allow the presence of Killing tensors are reviewed- as a result, the theoretical foundations of the comparison is set.
The comparison if the line elements is therefore possible, in order for the different addends to be identified. From [1], The Hawking-Page transition does not take place for the adS blackhole objects with Ricci-flat horizons and for the adS blackhole objects with Ricci hyperbolic horizons; this consideration motivates some of the studies here presented. The study of the experimental evidences about blackhole masses is further reviewed.
From [2], the blackhole object of generalised Schwarzschild gtt component of the line element as

on a slice Σ such that it is a t = 0 slice, with V > 0 on the slice Σ. The fundamental hypothesis is requested, that there exists a compact set k ⊂ Σ such that k ∼ Σ diffeomeorphic to R3 ∼ ¯B1(0), where ¯B1(0) is a closed spherical neighborhood centered at the origin: on Σ, the space components of the metric tensors are split as gij = δij + hij. Ibidem, the functional dependence of V on the coordinates is proven as

where
As a result, the added terms v in Eq. (2) isproven to be requested to be
![]()
The result of [3] is recalled, according to which the ij components of the metric tensor are

where aij is requested to be
![]()
In the present analysis, the Y value is chosen as the radial coordinate R, and the absolute-value specification becomes redundant.
Such blackhole objects are ibidem proven to be unique, i.e. the existence of 'multiple blackholes in an asymptotically-Euclidean static vacuum spacetimes is discarded. The uniqueness of static charged blackhole spacetimes was studied in [4]; there the work of [2] was specified for the space components of the metric tensor from Eq. (1) to be as

with the components of Eq. (2) unchanged. The hypotheses of [4] were refined from [5].
In [6], non-trivial Killing tensors are reviewed, and their use in the definition of generalized photon surfaces is given.
In [7], a timelike hypersurface is newly defined in a way such that any worldline of a particle of mass m, electric charge q, electromagnetic potential Aµ and fixed total energy E which initially touches it is going to stay on the defied hypersurface forever.
Conditions for ’margianlly-stable’ orbits are ibidem found.
Ibidem, the kinetic energy Ekin and the potential energy Epot are introduced such that

The considered spacetimes are from [8] timelike outside the ergosphere as

The paradigm is apt for metrics obeying the Birkhoff Theorem. The total energy of a particle E considered is
![]()
The complete Killing maps of the normal component and of the tangent component was taken from [6][9].
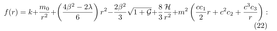
In [10], the Colobeau theory is exposed as far as the definition of the distributional spacetimes, whose results, as well as those of the related items of bibliography, will be made use of in SCRIVI.
From [11], the physical interpretation of the ’distributional Schwarzschild geometry’ is explained.
From [10], in Remark 1.1.4, G(M′) is defined as the algebra of the Colombeau generalized functions M′ ⊂ M. ˜ R is the set of the Colombeau generalized numbers [12][13][14].
Let (gǫ)ǫ the Colombeau generalized metric tensor on M.
Rµν M′ is the generalized Ricci tensor on M; furthermore, as from [15][16],
Rµν M′(p) is the generalized Ricci tensor on M of the metric (gǫ(p))ǫ | M′.
There is a degenerate singular metric tensor from the Ricci tensor as

From Definition 1.1 ibidem, (G(M′)) is the algebra of Colombeau generalized functions on M′ ⊂ M.
The Colombeau distributional scalar curvature RM(p) is defined as
![]()
under the hypothesis
![]()
The 'distributional spacetime' of metric tensor (gµν ǫ(p))ǫ exhibits a singularity on a smooth compact submanifold MC ⊂ M iff RMc (p) ∈ G(MC\c∞(MC).
Furthermore, the distributional spacetime (gǫ(p))ǫ has a singularity with compact support iff RMc (p) ∈ D(R3).
In [6], the definition of generalized photon surfaces of blackhole spacetimes is derived from the notion of non-trivial Killing tensors.
Massive-particle surfaces (MPS’s) are introduced in [7] as generalizations of the concepts developped in [17].
From [8], Conformal Killing Vectors (CKV’s) and Conformal Killing Tensors (CKT’s) are outlined for arbitrary null geodesics with affine parametrization.
Reducible CKT’s are recalled to be constructed from symmetrization procedures from [18][19].
The paradigm schematized in [7], the results of [17] are extended to the instance of massive charged particles.
In [17], generalization of the concept of photon sphere of a blackhole object is extended from that of the Schwarzschild spacetimes.
Photon surfaces are defined ibidem after energy conditions, i.e. they are defined as the surfaces (M,gµν) as ’immersed’, ’no-where-spacelike’ hypersurface S of
(M,gµν) such that, for all p point of S and for all kµ null vector in the tan gent space of S, TpS, there exists a null geodesics γ such that (−ξ,ξ) → M of (M,gµν) in the way defined as ˙ γ(0) = kµ, | γ |∈ S.
As recalled from [20] from [21], the action I is taken as

where R is the Ricci curvature, the negative cosmological-constant term λ is written as

f is a fixed symmetric tensor, the Faraday tensor Fµν ≡ ∂µAν − ∂νAµ is satu rated as F as

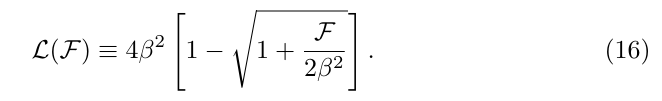
the polynomials Ui(g,f) are polynomials of the eigenvalues of of the tensor Kµν. The BI electrodynamics is defined after the Lagrangean density L(F) as

The fields equations are obtained as follows. Variation with respect to the metric tensor gµν lead to the EN-BIFE’s

with the tensor χµν as from [20]. The symmetric tensor fµν is here chosen as

being hij the pertaining line element of a chosen Euclidean space, and c and arbitrary constant. Variation with respect to the Faraday tensor Fµν leads to the equality

In [20], the spherically-symmetric non-rotating blackhole spacetime metric is chosen in an arbitrary number of dimensions as

where the symmetric tensor fµν from Eq. (18) has been specified to the 4 dimensional case, and for a Schwarzschild solid angle.
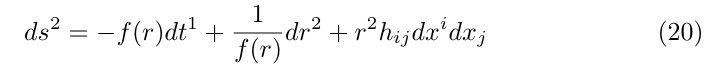
The metric Eq. (20) is here specified in 4 spacetime dimensions for a spherically symmetric non-rotating blackhole spacetime endowed with a Schwarzschild solid angle element. The line element Eq. (20) therefore rewrites

The gtt function Eq. (20) is developped to

the constant m0 is an integration constant which is related to the blackhole mass (i.e. according to the chosen limit to the Nariai spacetimes), and the constant G is defined as related to the electric charge q as

In the present Section, a vanishing electric charge is assumed at the moment. The gtt component of the line element Eq. (20) is therefore reconducted to the following expression

In [22], Weyl theories of gravity [23][24][25][26][27][28] are compared as far as the components of the metric tensor are concerned with massive theories of gravities.
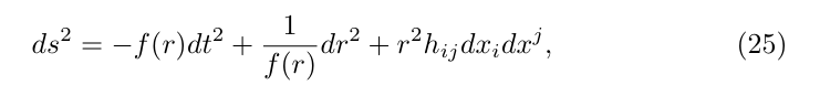
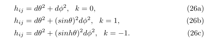
The chosen line element is one of static spherically-symmetric spacetimes with line element

with the component of the metric tensor hij as

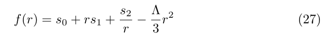
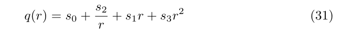
In [29] and in [30], solutions of the EFE’s for the conformal transformation gµν → Ω2(x)gµν with Ω a non-singular function of the coordinates is reconducted to the expression

with the constants si and Λ. From [30], the Schwarzschild limit is recovered in the instance

From [31] and from [20], the comparisons are found

The Schwarzschild radius is found to define the parameter space of the model as

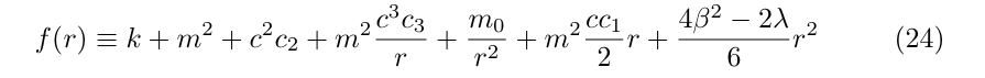
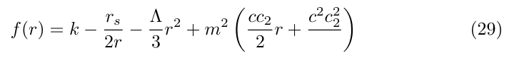
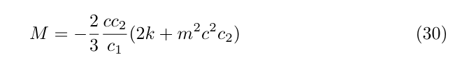
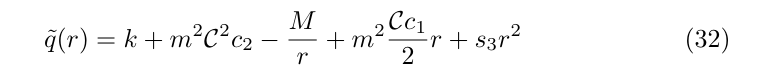
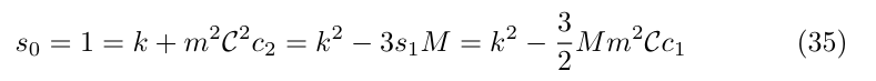
It is possible to confront EN-BI blackhole solutions, conformal-gravity blackhole solutions, and generalized Schwarzschild spacetimes blackhole solutions. The method of [22] is here newly developped. From Eq. 6 of [22]

Comparison of blackhole solution of conformal gravity and of massive gravity is based on the equality

Compasion of the 4-dimensional Weyl gravity solutions and the chosen of the EN-BI gravitational blackhole spaceitmes are newly found after imposing

The request is here posed

i.e.

The solution is looked for for M. To this aim, one remarks that the limit m → ∞ is well-posed in the case of asymptotical flatness and in the case k = 1. In the case of asymptotical flatness, the comparison is possible with the Kottler Schwarzschild-Kiselev spacetimes, as equality Eq. (35) is assured to be well posed because the Kottler-Schwarzschild Kiselev spacetimes obey the Birkhoff Theorem, as from [32].
In [33], the preparation of particle fields close to the surface of a blackhole object is discussed.
The n-dimensional spacetimes with metric gαβ are considered, with a time-like killing vector k1alpha i considered, and electro-magnetic of covector Aα with the same symmetries as

For a worldline γ, the particle 4-position γα and the particle 4-velocity (rvelocity) ˙ γα are looked for. For these purposes, the total energy E is calculated, as well as the kinetic energy Ekin and the potential energy Epot: this way, the configuration of a particle is

Massive-particle surfaces (MPS’) are described in [7] and in [34], while hidden symmetries are investigated in [35] and in [36].
MPS' are described from [7] as (n − 1)-dimensional timelike hypersurfaces’exhibiting a space outer normal nα: any particle with fixed energy E, i.e. such
that the MP starts in S with initial velocity and remains in S always. It is translated as

Let κ be the ’projection of the time-like Killing vector onto S:

here, the Killing vector is hypothesized to be tangent to S as

i.e. the MP is defined to be ‘static'.
The connections between the surfaces and the hidden symmetries allows one to reconduct the shadow of the blackhole [37], where also interactions with plasma are considered.
A general static axisymmetric 4-dimensional spacetime is considered with line element

where the components of the metric tensor Eq. (41) are functions of the 4 dimensional variables r and θ.The time-like Killing vector kα∂α = ∂t implies
![]()
as
A MPS ansatz is taken from [33] that the particle surface is as
![]()
which is achieved with

The resulting energy E is found as a function of the mass of the particle µ as

At q =0, the conditions imply

The photon sphere is located at q=µ=0. The condition K=0 implies the total-umbilicity
![]()
The Schwarzs child black hole space time is defined as

Eq.’s(47a) imply for the energy E the definition

with inner most stable orbit as

The equation of the photon surface is obtained from Eq. (50) as
![]()
Uniqueness theorems are presented in [38] and in [35].
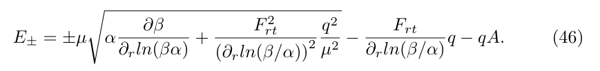
Reissner-Nordstroem spacetimes are qualified after the components of the metric tensor

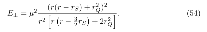
The energy E± is calculated as

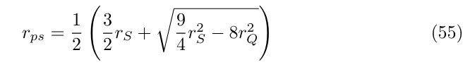
The radius of the photon surface rps is calculated as

The cosmological implementation of the models is here presented from [39] also as far as the thermal history of the universe is concerned.
In [39], analysis of a'narrow atmospheric layer' in a suitably-chosen spherical neighborhood of the Astrophysical blackhole is considered. Applications can be considered to new explanation of the speed of growth of supermassive blackholes and related objects in the Early Universe [40][41][42][43]. Furthermore, an explanation of the low mass gap [44][45][46][47] in newly obtained.
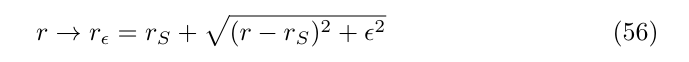
A regularized Schwarzschild radial variable is taken from [10][48] as rǫ as

at which the Ricci scalar is explained as one with a singular behaviour as

The non-smooth Colombeau regularization can also be chosen, i.e. as from [11] and from[49].
A thin spherical neighbourhood is chosen as

Isotropic coordinates are discussed in [50].
In isotropic coordinates, the line element is rewritten as

at ρ > rS with the definition of the new radial variable of the components of the metric tensor as

The Schwarzschild coordinates and the isotropic coordinates are transformed as

or
From [10][48], one has that the expression of the laspe function is retrieved as

The Schwarzschild fictitious singularity is located at

The photon sphere is situated at ρps as

Theradial part of the line element Eq. (59) is regular at the fictitious singularity; there appears physical singularities in the presence of matter fields as

The ingredients are ready for the analysis of the 't Hooft brick-wall model [51]: the exploration of the pscaetime at this layer, i.e.

in the strong field regime can be performed.
More in detail, from [51], blackhole objects are commented to be treated as 'composite sysyems' of elementary particles.’ This analysis is to be reconducted to the notion of 'general coordinate transformation invariance: the task was stressed not to be achieved yet.
Results from foliated manifolds can be also used for the present purposes. From [35], the procedure is shown, for which it is possible to construct a non-trivial killing tensor of rank 2 on a foliated manifold of codimension 1. The non-trivial Killing tensors can also be 'lifted' from the slices to the entire manifold. As a result, from [52], the question can be examined, about whether there exist generalized photon surfaces in a spacetime with two killing vector fields.